臧富雨1,刘 丹1,吕馥言2,张敏骏1,吴 淼1
(1.中国矿业大学(北京) 机电与信息工程学院,北京 100083;2.山东科技大学 机械电子工程学院,山东 青岛 266590)
摘 要:为研究悬臂式掘进机在复杂底板行走时防滑控制的可靠性,基于综掘工作面巷道底板特性分析,得到不同情况下掘进机履带打滑率与牵引力的计算函数。掘进机牵引力因打滑率的增加而迅速减小,从而严重影响掘进机正常掘进,求取不同路况下的掘进机履带期望打滑率计算方法,并通过分析掘进机掘进阻力,建立了倾斜巷道中掘进机掘进动力学模型,提出了基于BP神经网络的PID掘进机履带防滑控制方法。通过Simulink与AMESim建立系统仿真模型与液压模型,基于Matlab得到控制算法,并模拟3种典型底板防滑控制情况。仿真结果表明,BP神经网络PID防滑控制系统具有较高的控制精度、响应速度与环境适应能力,保证掘进机在不同路况下的正常掘进。
关键词:倾斜巷道;综掘工作面;掘进机;复杂底板;防滑控制
中图分类号:TD164
文献标志码:A
文章编号:0253-2336(2019)06-0030-07
ZANG Fuyu1,LIU Dan1,LYU Fuyan2,ZHANG Minjun1,WU Miao1
(1.College of Mechanical & Information Engineering,China University of Mining and Technology (Beijing),Beijing 100083,China;2.College of Mechanical and Electronic Engineering,Shandong University of Science and Technology,Qingdao 266590,China)
Abstract:In order to study the reliability of anti-skid control of cantilever roadheader when developing on complex floors, based on the analysis of the characteristics of roadway floor in fully mechanized face, the calculation functions of track slip and traction force of the roadheader under different conditions were obtained.The traction force of the roadheader decreases rapidly with the increase of the slippage, which seriously affects the normal excavation of the roadheader.The calculation method of the expected slippage rate of the roadheader under different road conditions was obtained.By analyzing the excavation resistance of the roadheader, the dynamic model of the roadheader in inclined roadway was established, and the anti-slip control method of the track of the PID roadheader based on BP neural network model was put forward.The system simulation model and hydraulic model were established by Simulink and AMESim.The control algorithm was obtained based on matlab, and three typical anti-skid control situations of floor were simulated.The simulation results show that the BP neural network PID anti-skid control system has excellent control accuracy, response speed and environmental adaptability, and this can ensure the normal tunneling of roadheaders under different road conditions.
Key words:Inclined roadway; fully-mechanized heading face; roadheader; complex floor; anti-skid control
臧富雨,刘 丹,吕馥言,等.不同倾角巷道下掘进机的防滑控制研究[J].煤炭科学技术,2019,47(6):30-36.doi:10.13199/j.cnki.cst.2019.06.001
ZANG Fuyu,LIU Dan,LYU Fuyan,et al.Study on anti-skid control of roadheaders on roadways floors with varied dip angles[J].Coal Science and Technology,2019,47(6):30-36.doi:10.13199/j.cnki.cst.2019.06.005
收稿日期:2019-01-22
责任编辑:赵 瑞
基金项目:国家重点基础研究计划(973计划)基金资助项目(2014CB046306);山东省博士基金资助项目(ZR2018BEE014)
作者简介:臧富雨(1994—),男,山东临沂人,硕士研究生。
通讯作者:张敏骏(1992—),男,山东泰安人,博士研究生。E-mail:zmj0424@qq.com
履带式行走机构因其特殊的结构与突出的环境适应能力,在矿业与军事等底板复杂多变的领域均有广泛应用[1]。掘进机作为矿业领域典型的履带式行走设备,在综掘工作面复杂路况行驶过程中履带的速度会随驱动轮转矩变化,转矩越大则履带速度越大,但底板所能提供的剪切力有最大值,若转矩过大,履带将出现完全打滑现象,这将直接影响到掘进机的行走性能,从而对巷道的掘进质量产生很大影响。为使掘进机获得良好的动力性能,需对履带的打滑现象进行控制。
BEKKER[2-3]提出了履带车辆剪切应力与剪切位移之间关系的确定方法,WONG[4]提出了不同底板环境下履带压力分布的理论分析以及履带打滑分析。张宏等[5]对连续采煤机履带行走机构的动力学特征进行了研究。上述研究主要针对履带驱动力与打滑之间关系,对于综掘工作面非水平场景且复杂路况的掘进机行驶力学分析则缺乏参考依据。针对矿业领域其他履带车辆,文献[6-8]得到了深海履带采矿车在深海软泥底板的牵引力与打滑之间的关系,并提出了深海履带采矿车行走打滑控制方法。但是,非水平场景作为综掘工作面的典型特征,此方面的防滑控制研究较少,尤其缺乏针对行驶速度慢、尺寸大、底板复杂且倾斜的掘进机防滑控制研究。
笔者对非水平场景下行驶的掘进机的打滑情况进行了分析,通过对掘进机行驶底板力学特性的分析,结合不同底板剪切应力的计算方法,得到不同路况掘进机牵引力与打滑率之间的关系,通过对掘进机在倾斜巷道内的动力学分析,设计防滑控制系统,实现防滑控制,并进行仿真分析。
掘进机行驶过程中,通过履带驱动轮的驱动相对底板做剪切运动,履带对底板产生向后的作用力,底板发生剪切变形从而为掘进机的行驶提供动力。底板的剪切应力与剪切位移的关系决定了掘进机履带驱动力的大小,典型的履带车剪切应力与剪切位移的关系有以下几种:
1)JANOSI与HANAMATO提出的针对干沙等大多数扰动土壤的经验公式为[9]
τ=τmax[1-e-j/K]j
(1)
式中:τ为水平剪切应力;τmax为最大剪切应力;j为掘进机履带前端接触点的剪切位移;K为剪切变形模量。
2)针对紧沙、淤沙及冻雪等坚实土壤的剪切特性公式为[10-11]
(2)
式中:Kr为残余剪切应力与最大剪切应力的比值;WONG[10]通过大量的试验数据确定了Kr与K的取值范围。
3)通过试验获得了含水量极高的模拟海泥剪切应力与位移的关系表达式为[6]
(3)
其中:τr为残余剪切应力;对于含水率130%湿泥底板,系数k1=55;系数k2=3。
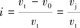
基于掘进机的行驶特点,履带对底板产生剪切位移,进而产生了剪切应力。由于掘进机履带不能拉伸,所以履带与地面接触的履带上每一点的打滑速度都相同,但接地段各点的剪切位移呈线性比例增长。定义打滑率履带实际速度与理论速度的比值i为
(4)
其中:vt为掘进机理论速度;v0为掘进机实际速度;vj为掘进机相对打滑速度。由此可得,掘进机打滑速度vj=ivt。
当掘进机发生打滑,vj与实际行驶速度方向相反,掘进机剪切位移可通过实际速度的积分获得。
(5)
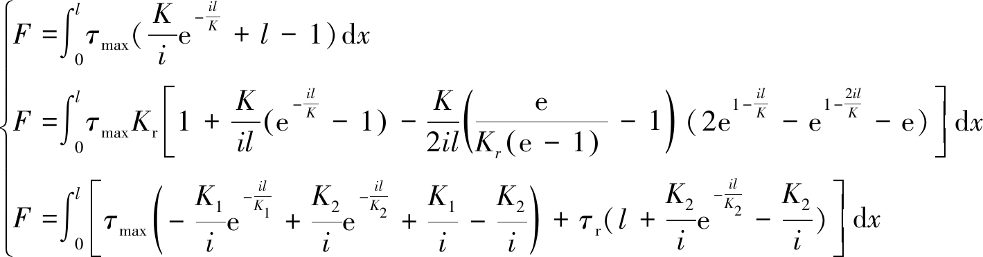
其中:t为时间;x为履带接触点距离履带端点距离。根据Bekker的车辆地面力学理论[2-3],底板驱动力为
F=
τddx
(6)
其中:l为履带接地长度;τd为底板剪切应力。分别将式(1)—式(3)代入式(6)可得,不同底板环境下掘进机牵引力与打滑率的函数关系。

(7)
为简化计算,掘进机牵引力与打滑率的计算需基于以下假设:掘进机履带接地段始终与地面接触;掘进机接地压力沿底板均匀分布;履带齿两侧垂直面产生的附加驱动力可忽略不计。将相关底板力学参数代入上式,求导可得该种底板状况下满足掘进机行驶性能的期望打滑率。
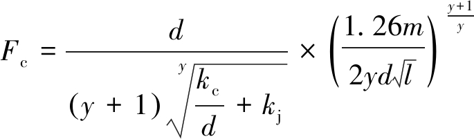
因综掘工作面底板复杂,底板常出现积水,因此坑陷或泥泞的情况十分常见。由于底板较软,掘进机在潮湿土壤上行驶时会产生沉陷,从而产生推土阻力与压实阻力。
对于均匀土壤,BEKKER建立了不同底板情况下车辆压力与沉陷的关系,掘进机行驶过程中所受压实阻力与推土阻力的计算可由下式得到[12-13]:

(8)
(9)
式中:kc、kj分别底板土壤内聚变形模量与摩擦变形模量;d为履带宽度;m为掘进机质量;z为掘进机沉陷量;n为沉陷指数;y为履带承重轮数量;c为底板土壤黏聚力;γ为沉积物密度;z为车辆沉陷量;Nc、Nγ为太沙基承载能力系数;φ为土壤内摩擦角。
对掘进机而言,截割工作开始之前需不断调整其位姿,因此掘进机需不断通过左右履带转速差实现行驶方向的调整。在转弯过程中会产生转弯阻力,履带车转向过程中的受力分析如图1所示。

Mμ为转向阻力矩;F1、F2为驱动力;Fμ1、Fμ2、Fμ3、Fμ4为横向阻力;FR1、FR2为前进阻力;v1、v2为速度
图1 掘进机行驶过程受力分析
Fig.1 Force analysis of roadheader during moving process
为简化计算,文献[14-15]假设履带车横向阻力沿履带均匀分布,这仅适用于一般非黏性土壤,但由于掘进机行驶底板状况复杂,在底板情况较好时可进行此种简化,在掘进机实际转弯过程中,履带末端较之履带其他位置对土壤的挤压作用更大,所产生的横向阻力也就更大,越靠近掘进机转向瞬心位置处挤压作用越小,因此,横向转向阻力沿履带呈三角形分布。且由于掘进机行驶速度很慢,向心力几乎为0,此处向心力按0计算。
掘进机履带上任意一点处单位长度所受的横向阻力为
(10)
其中:g为重力加速度;μ为转向阻力系数,可通过积分计算掘进机所受横向阻力与转向阻力矩,见式(11)—式(12)。
(11)
(12)
其中:C为掘进机的质心,由于其转向速度很慢,其转向瞬心与质心重合;xc为质心距离履带端点的距离。在考虑掘进机实际转弯过程中三角形分布的履带阻力且忽略向心力的情况下,掘进机在综掘工作面进行工作时,其行走速度约为0.1 m/s,属于超低速运行状态,HAYASHI对不同地面情况下的横向阻力系数进行了测量,通过对这些数据的分析和归类,不同地面的底板条件下的车辆最大转向阻力系数为

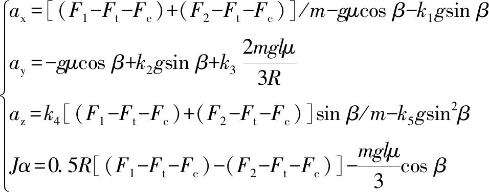
由于综掘工作面内巷道基本为非水平巷道,选择3种非水平巷道的倾斜方式:纯向上倾斜、向下倾斜与侧向倾斜。以纯向上倾斜的巷道为例,设巷道倾角为β,建立其动力学模型。掘进机重力可分解为垂直于巷道平面的力Fx=Gcos β,与平行于巷道平面的力Fy=Gsin β,因巷道的倾斜角导致掘进机在Fy的作用下,其法向反力的压力中心向车体后部纵向偏移,使其不再与掘进机平面的中心重合,且在非水平场景下纵向力Fy有可能指向不同方向,因而导致掘进机接地段前部或后部负荷减小,因此把两侧履带接地段上的法向负荷都集中在掘进机平面的纵向轴线上进行考虑。
综合第2.2节对掘进机转向阻力的分析与掘进机行驶过程中受力分析[8],其整体运动的动力学方程为

(13)
式中:m为掘进机单侧模型质量;ax、ay、az分别为掘进机在x、y、z方向上的加速度;α为角加速度;Ft为掘进机所受底板的压实阻力;Fc为掘进机所受底板的推土阻力;J为掘进机单侧转动惯量;R为驱动轮半径;F1、F2分别为掘进机内外侧履带驱动力。k为不同巷道倾斜种类力学系数,当[k1,k2,k3,k4,k5]T=[-1,0,0,1,-1]T时,表示纯向上倾斜巷道,[k1,k2,k3,k4,k5]T=[1,0,0,-1,-1]T时,表示纯向下倾斜巷道,[k1,k2,k3,k4,k5]T=[0,1,-1,1,-1]T时,表示侧向倾斜巷道。
掘进机左右履带行走采用完全相同的2套阀控液压马达系统实现,该液压系统由定量泵、电液比例阀、液压马达组成[17]。通过比例阀控制马达流量来控制液压马达的转速和方向,实现掘进机前进、后退与转向。基于系统中比例阀控制电压与阀芯位移方程、电液比例阀的负载流量方程、马达流量方程及马达负载平衡方程,经过拉普拉斯变化可得到输入信号为比例阀控制电压,输出信号为履带驱动力转矩与角速度的传递函数,通过控制比例阀的输入电压,实现履带驱动轮力矩的调整,最终实现掘进机防滑控制。为提高液压系统建模的精度,液压系统通过专业的液压建模工具AMESim进行,掘进机液压调控系统模型如图2所示。

图2 掘进机液压调控系统模型
Fig.2 Moudle of hydraulic control system of roadheader
对液压马达的特性作如下假设:所有液压管道短且粗,忽略管道内的摩擦损失,忽略流体质量效应和管道动态影响;液压马达的油温和体积弹性模量为常数;液压马达的内外泄漏为层流流动;液体有可压缩性;供油压力为常数[18]。
由于掘进机系统非线性与复杂的工况,传统PID控制的控制效果无法满足非水平巷道且路况复杂的掘进机防滑控制。神经网络具有逼近任意非线性函数的能力,可通过对系统性能的学习实现PID控制的最佳参数组合[19-20],实现掘进机防滑控制系统参数的实时自适应调整。
在掘进机液压系统中,控制掘进机行驶速度的主要执行元件是比例阀,液压马达的转数通过轴编码器实时传递给控制单元,进而可计算履带速度与打滑率,并将其与控制输入值比较,利用偏差信号控制比例阀输入电流信号,从而保证液压马达转矩与履带打滑率精确可控。为保证掘进机的正常行驶性能,设计基于神经网络的PID掘进机控制系统如图3所示。

kp为比例参数;ki为微分参数;kd为放大参数;i为打滑率
图3 掘进机控制系统示意
Fig.3 Control system of roadheader
掘进机控制系统中控制对象为打滑率i,控制变量为掘进机液压行走系统的输入电流I,打滑率的偏差可由轴编码器与计时器测量参数计算得到,PID控制的比例、积分与微分参数由神经网络系统计算得到。
为平衡控制精度与响应速度,选取BP神经网络隐含层神经元数量为5[21]。
输入层的输入与输出相等,均为R=[d(k),r(k),e(k)],其中,d(k)为期望打滑率,r(k)为履带实际打滑率,e(k)为k时刻系统输出与期望值的偏差。经过输入层后,隐含层的激活函数取正负对称的sigmoid函数:
(14)
误差反馈过程中取性能指标函数E(k)=0.5[d(k)-r(k)]2。按照梯度下降法修正网络权值,则权值调整规律为
(15)
其中:δ(k)为学习速率;wmn为节点m与n连接的权值。在BP神经网络PID算法中,学习速率作为影响神经网络训练速度和性能的重要参数,学习率的自适应调整可最大程度保证系统的综合性能,神经网络的学习速率根据以下误差性能指标规则进行自适应调整[22]。

(16)
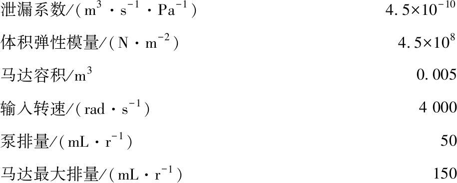
为验证上文中数学模型的准确性以及控制方法的实用性,以EBZ-55悬臂式掘进机为研究对象,在Matlab2017a中建立Simulink仿真模型,液压系统通过专业的液压建模工具AMESim进行建模,模型与Simulink进行联合仿真。基于煤矿巷道施工标准,掘进机工作的斜坡巷道角度一般为0°~16°[23],为验证非水平巷道掘进机的防滑控制,设掘进机在最大倾角16°的斜巷内行驶,掘进机液压参数如下:[17]

虽然掘进机环境适应性强,但实际上,综掘工作面底板特性突变的状况频繁,这些情况一旦发生,将对掘进机行驶过程的打滑产生严重影响,若不对其进行控制,则会严重影响掘进机的行驶动力性能,影响系统的正常工作。经过调研与归纳,主要有以下3种情况:
1)底板力学参数突变。由于综掘工作面常有积水,且积水的分布不均匀,常出现水坑或底板部分泥泞现象,此种情况实际为底板力学参数的突变,此时防滑系统以突变后的路况计算出新的期望打滑率,并以此为目标完成防滑控制。
由图4可得,在0.5 s时,底板特性发生突变,防滑控制系统以非常快的速度进行计算与调整,使打滑率稳定在0.2,从而保证掘进机的正常行驶。

图4 底板力学参数突变情况下防滑控制效果
Fig.4 Anti-slip control effect under the condition of sudden change for floor mechanical parameter
2)底板状况渐变。综掘工作面积水不仅可以导致部分底板泥泞现象,还有可能随着含水量不断增大,导致底板土壤含水量不断增加,因此可等效为土壤力学参数的线性变化,由Bekker的理论可得[2-3],土壤含水率与力学参数存在函数关系,仿真时力学参数的输入设定为与含水率线性相关的函数。底板力学特性渐变情况下防滑控制效果如图5所示。

图5 底板力学特性渐变情况下防滑控制效果
Fig.5 Anti-slip control effect under the condition of gradual change for floor mechanical characteristic
3)底板随机干扰。掘进机行驶过程中,对履带造成一些无法忽略的随机细微干扰,虽然影响程度较小,但是影响频繁且无规律可循。为模拟此种外界的随机干扰,干扰信号为0~1,均值0.5,方差为1/12的随机信号。
如图6所示,在此过程中打滑率不停出现振荡,但基本稳定在0.1左右,且响应速度很快。PID控制参数在此过程中的变化如图7所示,其快速不断地调整保证系统的稳定性与快速性。
由仿真结果可得,均匀路况下,基于神经网络整定的PID防滑控制系统具有良好的稳定性与快速性,且控制性能要优于传统PID控制算法;对于非均匀底板,影响掘进机行驶性能的3种典型非均匀路况变化的仿真环境下,由神经网络整定的PID防滑系统仍能达到预期的防滑控制效果,在保证其稳定性与快速性的基础上兼有良好的环境适应能力。

图6 底板随机干扰下防滑控制效果
Fig.6 Anti-slip control effect of random interference on floor

图7 掘进机行走防滑PID控制参数变化曲线
Fig.7 Control parameter of PID controller for travelling skid-proof of roadheader
1)基于综掘工作面路况与力学特性分析,得到不同路况下掘进机牵引力与打滑率之间的函数关系,同时得到不同底板掘进机的期望打滑率。通过分析掘进机在非水平场景下的行驶阻力建立了掘进机在非水平巷道行驶的动力学模型。
2)建立了掘进机液压行走系统数学模型,建立了基于BP神经网络算法掘进机行走防滑PID控制系统,并设计了非水平场景下掘进机在均匀底板与非均匀底板行驶的仿真环境,为模拟液压系统非线性在AMESim中的掘进机液压行走系统模型,共同组成掘进机防滑控制仿真系统。
3)仿真结果表明,在不同场景下,掘进机防滑系统对非均匀底板的几种典型路况均有较强的适应能力,可实现快速与稳定的调整,从而保证掘进机正常的行驶。
参考文献(References):
[1] ZVI S,WILLIAM S,MINH H.Trajectory planning of tracked vehicles[C].Proceedings of International Conference on Robotics and Automation,Los Angeles,1993.
[2] BEKKER M G.Theory of land locomotion[D].Michigan:University of Michigan Press,1956.
[3] BEKKER M G,《地面-车辆系统导论》翻译组.地面-车辆系统导论[M].北京:机械工业出版社,1978.
[4] WONG J Y.Theory of ground vehicles [M].4th edition.Hoboken:John Wiley & Sons,Inc,2008.
[5] 张 宏,张晓鹍,石 涛.连采机履带行走机构动力学特性与疲劳寿命分析[J].煤炭科学技术,2016,44(11):110-115.
ZHANG Hong,ZHANG Xiaokun,SHI Tao.Analysis on dynamics features and fatigue life of crawler walking mechanism applied in continuous miner [J].Coal Science and Technology,2016,44(11):110-115.
[6] 李 力,李庶林.深海表层海泥模拟及地面力学特性研究[J].工程力学,2010,27(11):213-220.
LI Li,LI Shulin.Simulation and mechanical characteristics of terramechanics of the surface soil on deep-sea bed[J].Engineering Mechanics,2010,27(11):213-220.
[7] 韩庆珏,刘少军.基于动力学分析的深海履带式采矿车行走打滑控制[J].中南大学学报:自然科学版,2013,44(8):3166-3172.
HAN Qingjue,LIU Shaojun.Slip control of deep sea tracked miner based on dynamic analysis[J].Journal of Central South University:Science and Technology,2013,44(8):3166-3172.
[8] 张海宁.履带采矿车海底斜坡地形转向控制算法研究[D].长沙:中南大学,2010.
[9] JANOSI Z,HANAMOTO B.The analytical determination of drawbar pull as a function of slip for tracked vehicle in deformable solis[C].Proceedings of the 1st International Conference on Terrain-Vehicle Systems,Torino,Italy,1961:707-726.
[10] WONG J Y,PRESTON-Thomas J.On the Characteristics of the shear stress-displacement relationship of the terrain[J].Journal of Terrmechanics,1983,19(4):225-234.
[11] WONG J Y,GARBER M,RADFORTH J R.Characterization of the mechanical properties of muskeg with special reference to vehicle mobility[J].Journal of Terrmechanics,1979,16(4):163-180.
[12] KOGURE K,OHIRA Y,YAMAGUCHI H.Prediction of sinkage and motion resistance of a tracked vehicle using plate penetration test[J].Journal of Terrmechanics,1983,20(3):121-128.
[13] TERAGHI K.Theoretical soil mechanics[M].New York:Wiley,1966.
[14] 陈世教.履带式液压挖掘机原地转弯阻力计算[J].建筑机械,1998(4):6-9.
CHEN Shijiao.Calculation of steering resistance of crawler hydraulic excavator in place[J].Construction Machinery,1998(4):6-9.
[15] SHILLER Z,SERATE W,HUA M.Trajectory planning of tracked vehicles[C].Proceedings of International conference on robotics and automation,1993.
[16] HAYASHI I.Practical analysis of tracked vehicle steering depending on longitudinal track slippage[C].Proceedings of International Society for Terrain-Vehicle Systems,1975.
[17] 魏景生,吴 淼.中国现代煤矿掘进机[M].北京:煤炭工业出版社,2015:123-132.
[18] 孟凡虎,赵素素,于子彭,等.基于AMESim和Simulink联合仿真的阀控马达神经元PID调速系统控制[J].机床与液圧,2016,16(7):83-88.
MENG Fanhu,ZHAO Susu,YU Zipeng,et al.Single neural element PID control based on AMESim and simulink co-simulation for speed governing system of valve-control motor[J].Machine Tool & Hydraulics,2016,16(7):83-88.
[19] 孙 亮,孙启兵.神经元PID控制器在两轮机器人控制中的应用[J].控制工程,2011,18(1):113-115.
SUN Liang,SUN Qibing.Application of neural PID controller to two-wheeled robot control[J].Control Engineering of China,2011,18(1):113-115.
[20] 汪临伟,彭雪峰,殷 侠.单神经元PID的三轴转台控制系统设计[J].液压与气动,2011(5):13-15.
WANG Linwei,PENG Xuefeng,YIN Xia.Design of the three-axis turntable control system based on single neural self-adaptive PID control[J].Chinese Hydraulics& Pneumatics,2011(5):13-15.
[21] SUWANSAWAT Suchatvee,EINSTEIN Herbert H .Artificial neural RKS for predicting the maximum surface settlement caused by EPB shield tunneling [J].Tunneling and Underground Space Technology,2006(21):133-150.
[22] HAN Li,ZHANG Zhenyu.The application of immune genetic algorithm in main steam temperature of PID control of BP network[J].Physics Procedia,2012(24):80-86.
[23] QB/HDDSSG 007—2012,巷道及硐室施工标准[S].