随着各行业对于现代化、智能化、安全化技术的不断推进,煤炭行业的采煤机械设备也逐渐向现代化、智能化、安全化方向发展[1-2]。现代采煤设备应具有更高的可靠性与稳定性,而采煤机平滑靴作为整机工作过程中重要的支撑部件,它的可靠性与稳定性直接影响着综采工作面的开采效率。采煤机工作时,平滑靴随采煤机向前推进,采煤机平滑靴与刮板输送机中部槽间相互接触,平滑靴在刮板输送机中部槽的滑动过程中,平滑靴与刮板输送机中部槽间大部分机械能转化为摩擦热能,部分转化为变形能。以微观角度看,平滑靴与刮板输送机中部槽之间相互接触面为非光滑表面,微凸表面在受到波动载荷接触过程中产生温升,在高温度与大载荷的双作用下,将导致接触面发生变形、磨损甚至是失效,严重影响平滑靴与刮板输送机中部槽之间的正常工作。因此有必要对平滑靴与刮板输送机中部槽间工作生热过程进行分析。
国内外很多学者对采煤机的关键零部件进行固热耦合分析,对采煤机的滑靴与接触体摩擦热扩散机理也进行相应的研究。Blok[3-5]以物体间滑动摩擦产生热流量的一维简化方程为基础,得到闪现温度稳态求解算法的近似求解公式。王淑平等[6]对采煤机滑靴磨损机理进行研究,提出了减缓滑靴磨损的一些措施。毛君等[7]以 Blok 理论为基础,分析了齿轮表面闪温和接触温度随滚动距离及滚动角的变化规律。陈洪月等[8-9]采用齿轮混合弹流润滑理论和虚拟仿真技术,研究了不同环境温度下惰轮齿轮的生热特性、惰轮齿轮的固-液-热耦合特性;同时采用虚拟样机技术建立采煤机滑靴部分的刚柔耦合动力学模型,再以滚筒试验载荷为激励对模型进行仿真研究。田立勇等[10]提出一种基于平滑靴销轴传感器、导向滑靴销轴传感器、导向滑靴销轴拉力传感器等多传感器融合的采煤机滑靴受力检测系统,为滑靴受力检测提供一种有效的方法。顾恩洋等[11-12]对滚筒采煤机导向滑靴耐磨性和强度进行分析与研究,对采煤机导向滑靴耐磨层磨损机理进行分析。龚平等[13]对MG375型采煤机导向滑靴损坏的原因进行了分析。
目前对于采煤机械设备工作时的摩擦磨损及生热特性的研究多针对采煤机摇臂等关键零部件,对于采煤机平滑靴在工作过程中的摩擦磨损及温升特性的研究较少。笔者结合试验采集的实时数据作为滑靴生热模拟仿真过程载荷输入,利用Comsol Multiphysics数学模块对前后平滑靴与刮板输送机中部槽间摩擦因数进行计算,并以此作为多物理场耦合分析的关联参数,结合整机的实际工作过程进行仿真设置,对采煤机整机平滑靴推进过程的生热特性进行耦合分析。
采煤机截岩推进过程前后平滑靴具有支撑作用。以对采煤机各部件协同工作时测得的实际工作载荷为依据,对采煤机前后平滑靴摩擦因数进行分析与计算。根据文献[14]对平滑靴与刮板输送机中部槽的接触分析,将两者的相对运动视为干摩擦滑动运动,但根据采煤机的实际工作环境可知,平滑靴与刮板输送机中部槽间的接触常混有第三体煤岩粉尘的作用,并且由于巷道环境的限制,很难对平滑靴与刮板输送机中部槽之间的摩擦因数进行实时检测。因此借助文献[15-16]中对含颗粒的往复干摩擦运动摩擦因数公式(1),以及根据平滑靴支撑力载荷、采煤机牵引力载荷,对平滑靴与刮板输送机中部槽间的摩擦因数进行计算,由于平滑靴支撑力载荷与牵引力载荷均为试验实时测得,因此得到的摩擦因数为平滑靴的实时摩擦因数。平滑靴的实时摩擦因数为
(1)
式中:Fm为摩擦力;Fc为法向压力。
采煤机在推进过程中,平滑靴随采煤机向前推进,刮板输送机中部槽为固定件。平滑靴在刮板输送机中部槽上滑动过程中,平滑靴与刮板输送机中部槽间大部分机械能转化为摩擦热能,部分转化为变形能。将平滑靴与刮板输送机中部槽间的输入热流视为边界输入热流,则摩擦热流密度为[17-18]
qp(x,y,t)=ηpμppp(x,y,t)v(x,y,t)
(2)
式中:ηp为平滑靴与刮板输送机中部槽间能量转化比例系数;μp为平滑靴与刮板输送机中部槽接触面间摩擦因数;pp(x,y,t)为摩擦接触比压;v(x,y,t)为采煤机推进速度。
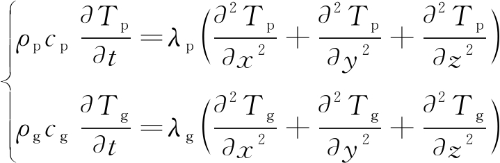
将平滑靴与刮板输送机中部槽接触界面视为理想摩擦接触平面,相互接触面间在摩擦过程中瞬时接触温度相等,由于平滑靴与刮板输送机中部槽的导热率等物理性质不同,因此摩擦热流密度在接触面的分配也不同。基于傅里叶能量守恒理论以及传热理论,考虑平滑靴与刮板输送机中部槽间热量为自然分配,在直角坐标系下建立热传导方程。
(3)
式中:ρp为平滑靴密度;ρg为刮板输送机中部槽密度;cp为平滑靴比热容;cg为刮板输送机中部槽比热容;λp为平滑靴导热系数;λg为刮板输送机中部槽导热系数;Tp、Tg分别为平滑靴、刮板输送机中部槽温度,且Tp=Tg。
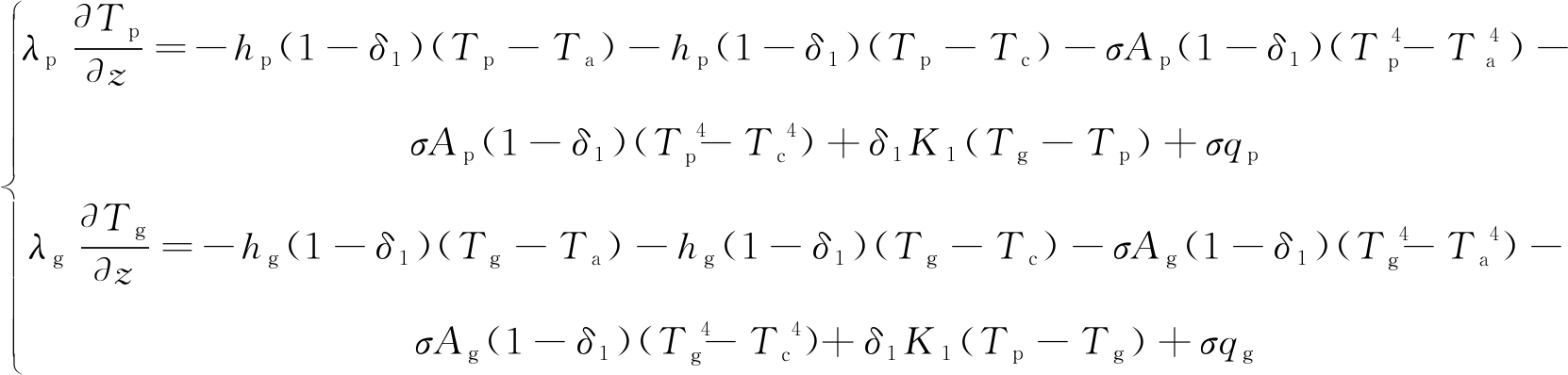
摩擦接触面间除摩擦生成热量的过程外,还存在非接触区域对流换热过程、第三体煤岩粉尘对流换热过程以及热辐射过程,因此在平滑靴与刮板输送机中部槽摩擦工作面的边界条件为

(4)
式中:hp为平滑靴换热系数;hg为刮板输送机中部槽换热系数;Ta为空气温度;Tc为粉尘温度;Ap为平滑靴辐射面积;Ag为刮板输送机中部槽辐射面积;σ为Stefan-Boltzmann常数;K1为平滑靴与刮板输送机中部槽接触界面的导热率;qp为平滑靴摩擦热流密度;qg为刮板输送机中部槽摩擦热流密度;δ1为平滑靴与刮板接触,δ1取1,平滑靴与刮板未接触,δ1取0。
由于平滑靴与刮板输送机中部槽接触界面在摩擦过程中瞬时接触温度相等,因此式(4)可变为

(5)
平滑靴与刮板输送机中部槽微凸表面直接相互接触产生高温,除煤烟粉尘对流换热影响外,其余非接触面对流边界条件均按牛顿冷却公式进行计算,则单位时间、单位面积上对流换热量为[19]
q=hA(Tb-Ta)
(6)
式中:h为换热系数;A为表面面积;Tb为表面温度;Ta为空气温度。
根据平滑靴的实际工作状态对其进行固热耦合分析,利用Pro/E与Comsol Multiphysics进行联合仿真分析。以MG500/1180型采煤机的平滑靴为研究对象,利用Pro/E对平滑靴与刮板输送机中部槽、导向滑靴与销排进行建模,为提高仿真分析的效率,在建模过程中忽略对结果影响小的倒角、圆角、连接件等,并对滚筒、机身等进行简化处理,根据平滑靴与刮板输送机中部槽,导向滑靴与销排的配合关系进行装配,以.IGS格式进行保存。对平滑靴与刮板输送机中部槽,固热耦合仿真分析采用Comsol Multiphysics多物理分析软件,选用多体动力学模块与固体传热模块进行耦合,利用livelink for PTC Pro/ENGINEER接口对已建好模型进行导入。
利用Comsol Multiphysics对滑靴模型进行网格划分与材料定义,手动选择Delaunay非结构化对导入模型进行自由剖分四面体网格划分,网格尺寸定为常规网格大小。采煤机简化整机装配和三维网格划分分别如图1和图2所示。
根据文献[20],添加Structural steel至机身、刮板输送机中部槽,添加空材料,设置销轴为40Cr材料属性,设置平滑靴与导向滑靴为ZG25CrMnSiMo材料属性,设置销排为35CrMnSi材料属性,具体材料参数见表1。
采煤机在工作过程中依靠平滑靴与导向滑靴,将采煤机整机支撑在刮板输送机中部槽上,实现对采煤机与刮板输送机的连接。采煤机平滑靴在刮板输送机中部槽上滑动接触过程中,啮合面间会有煤岩粉尘的影响,工作环境十分恶劣,因此对采煤机工
1—销轴1;2—后导向滑靴;3—机身;4—销轴2;5—前导向滑靴;6—销排; 7—后平滑靴;8—销轴3;9—销轴4;10—前平滑靴;11—刮板输送机中部槽
图1 采煤机简化整机装配图
Fig.1 Assembly drawings of shearer simplified machine
图2 采煤机简化整机三维网格划分
Fig.2 Three-dimensional grid map of shearer simplified machine
表1 整机材料参数
Table 1 Machine material parameters
项目材料弹性模量/1011Pa泊松比密度/(kg·m-3)屈服应力/MPa导热系数/(kW·m-1·℃-1)机身Q4202.060.287 86042052.4刮板输送机中部槽Q4202.060.287 86042052.4销排35CrMnSi2.200.37 850132047.7销轴40Cr2.110.277 87078512.01平滑靴ZG25CrMnSiMo1.930.37 800105032.2导向滑靴ZG25CrMnSiMo1.930.37 800105032.2
作时平滑靴载荷的检测存在一定难度。为真实模拟采煤机工作状态,结合张家口“国家能源煤矿采掘机械装备研发(实验)中心”建设项目的煤矿井下综采工作面试验平台,对MG500/1180型号采煤机滑靴受力进行实时检测。获取载荷试验现场图(图3)。考虑截割煤岩对截割受力影响较大,并且薄煤层煤岩含有大块岩石、黄铁矿、菱铁矿等成分,为还原煤岩成分,试验对煤壁的配置比例如下:水泥选用PC32.5、强度等级富余系数1.05的复合水泥;粗骨料的选用粒径范围为5~50 mm,表观密度ρ=1 420 kg/m3的煤,细骨料选用的粒径为5 mm以下,表观密度ρ=1 320 kg/m3的煤。将水泥和细骨料、粗骨料混合,以水灰比0.66加入自来水,并且加入一定量减水剂[21-22],煤壁长65 m,高为3.1 m,厚为2.7 m。
图3 平滑靴载荷试验现场
Fig.3 Load test site of smoothing boots
图4 平滑靴销轴传感器实物
Fig.4 Pin sensor real diagram of smoothing boots
图5 平滑靴销轴传感器及受力示意
Fig.5 Pin sensor and stress diagram of smooth boots
平滑靴销轴传感器实物如图4所示,平滑靴销轴传感器及受力如图5所示。图5中Y方向为采煤机的牵引方向,所测得的载荷值FY为平滑靴牵引力载荷;Z方向为竖直方向,所测得的载荷FZ为平滑靴支撑力载荷数据。平滑靴支撑力的检测主要通过自装销轴传感器测得。在传感器环形槽内贴放应变片,应变片共均匀贴放2排,每排4个,总共8个,用以实现平滑靴的受力检测。从试验数据中截取20个数据点,以用于后续固热耦合分析,平滑靴牵引力和支撑力曲线分别如图6和图7所示。
图6 平滑靴牵引力曲线
Fig.6 Traction curve of smoothing boots
图7 平滑靴支撑力曲线
Fig.7 Holding force curves of smoothing boots
利用Comsol Multiphysics中数学模块对平滑靴与刮板输送机中部槽间进行计算,利用数学模型中零维空间,选取常微分与微分代数方程接口,在常微分代数方程接口下输入式(1),根据采煤机实际工作受力状态,式(1)中法向压力为试验测得平滑靴支撑力载荷,摩擦力为试验测得的牵引力载荷。将第2节获得的平滑靴支撑力载荷、牵引力载荷数据进行内插,通过计算求得前后平滑靴与刮板输送机中部槽之间实时摩擦因数曲线,如图8所示。
图8 平滑靴支撑面摩擦因数曲线
Fig.8 Friction coefficient curves of smoothing boots support surface
以采煤机整机推进过程中滑靴生热特性为研究对象,根据试验测得平滑靴受力为仿真分析载荷施加依据,以计算求得平滑靴摩擦因数为仿真研究摩擦生热产生基础,对平滑靴进行固热耦合,在进行虚拟仿真过程中作出以下假设:①不考虑平滑靴生热后热辐射导致的热耗散;②采煤机整机各零部件材料的密度不随温度变化;③空气对流换热、水对流换热产生于摩擦接触生热面的四周,对流换热系数采用系统默认值。
利用Comsol Multiphysics多物理场分析软件,对采煤机行走机构推进过程生热特性进行整机分析,选用Comsol Multiphysics中多体动力学模块与固体传热模块进行耦合,以真实的试验载荷作为运动激励,以确定的位置关系作为约束基础,以现实的工作状态作为边界条件,实现真实试验研究与虚拟模拟仿真技术的无缝联接,更加真实地还原平滑靴与刮板输送机中部槽间的生热过程。
在多体动力学模块下手动进行添加“对”操作,根据接触面间的不同运动状态,分别添加接触对与一致对。选择接触对,对机身、销轴、导向滑靴1、导向滑靴2、平滑靴1、平滑靴2之间的位置进行固定约束,保证各部分以整体形式进行推进运动,添加固定约束至刮板输送机中部槽底端,限制其自由度。添加棱柱关节,在棱柱关节下添加作用力节点、运动节点、摩擦节点,将试验获得的平滑靴支撑载荷以表格形式内插入源附件作用力中,同样将获得的平滑靴实时摩擦因数以表格形式内插入摩擦节点中。在固体传热模块中,添加对边界热源节点,以多体动力学模块中点下棱柱关节中的摩擦子节点所做功为热源。选择其余表面建立热通量,选择传热方式为外部强制对流,流体分别为空气、水。利用瞬态求解器对多物理场进行求解计算,设置求解步长为0.001 s,仿真时间为5.1 s。得到在空气对流换热(即干煤粉)摩擦过程温度与水对流换热(即含水煤粉)摩擦过程滑靴温度曲线。
图9 不同换热条件前后平滑靴温度曲线
Fig.9 Temperature curves of front and rear smoothing boots for different heat exchange conditions
不同换热条件下前后平滑靴温度曲线如图9所示。根据图9可知,前、后平滑靴支撑面与刮板输送机中部槽间,在干煤粉摩擦滑动与含水分煤粉摩擦滑动过程中,各接触面间温度随时间的变化趋势均为初始磨合期,温度上升较快,随后温度趋于平缓上升。由于滑靴受波动载荷作用,导致摩擦因数表现出波动特征,前后平滑靴支撑面与刮板输送机中部槽间接触摩擦界面温度也变为不平稳上升,在干煤粉摩擦滑动过程温度均高于其在含水分煤粉摩擦滑动过程温度。在不同对流换热条件下,前平滑靴支撑面的温度分别高于后平滑靴支撑面的温度。在2 s仿真过程中,前平滑靴支撑平面在空气对流换热条件下最高温度为460.04 K,在水对流换热条件下最高温度为438.31 K,后平滑靴支撑平面在空气对流换热条件下最高温度为433.73 K,在水对流换热条件下最高温度为418.62 K。
在空气对流换热条件下前后平滑靴支撑面温度仿真如图10所示。根据图9得到在2 s的仿真分析中,不同的摩擦接触表面生热位置不同,以图9中的结果为依据,利用Comsol Multiphysics软件自带的探针功能,对前后平滑靴支撑面局部高温位置进行添加“边界点探针”操作,分别对滑靴各高位位置进行温度探测点选择。
图10 平滑靴支撑面温度探测点位置示意
Fig.10 Temperature detection point position of smooth boots support surface
通过利用探针点对各位置的温度检测,得到2 s仿真时间内前后平滑靴支撑面各高温点在空气对流换热条件下的温度变化曲线,如图11所示。
图11 前后平滑靴支撑面探测点温度曲线
Fig.11 Temperature curves of detection point of front and rear smooth boots support surface
虚拟仿真技术模拟采煤机整机滑靴在推进过程中,前、后平滑靴支撑面边界探针位置各点温度变化曲线如图10所示,根据图10可得,前平滑靴探针A、B、C点温度分别为460.04、438.14、338.54 K,后平滑靴探针D、E、F点温度分别为433.73、429.97、318.69 K。
根据图10各点温度对比,得到前平滑靴推进过程中支撑面温度最高点为A点,后平滑靴推进过程中支撑面温度最高点为D点。根据滑靴各局部高位点的位置分析,得到平滑靴温度最高点位置位于棱柱关节的中心位置,在平动推进过程中,该位置为三向力集中施加位置,导致前后平滑靴在导向过程中在A点、D点为局部高温位置。
1)前、后平滑靴支撑面与刮板输送机中部槽间滑动过程中,接触面间最高温度与煤粉的状态有关,干煤粉界面下滑动,前后平滑靴最高温度分别为460.04、433.73 K;含水煤粉界面下滑动,前后平滑靴的最高温度为438.31、418.62 K,含水煤粉界面下接触面间温升均低于干煤粉界面下接触面间温升,表明相对于干煤粉界面,含水煤粉界面起到了一定的润滑作用,在一定程度上降低了接触面间的摩擦因数,是更为有效的降低磨损与温升的方式。
2)前、后平滑靴支撑面与刮板输送机中部槽间,在干煤粉与含水分煤粉界面下滑动的过程中,各接触面间最高温度与滑靴的受力状态有关。前平滑靴探针A、B、C点温度分别为460.04、438.14、338.54 K,其最高温度位于受力较大的前平滑靴棱柱关节的中心位置A点;后平滑靴探针D、E、F点温度为433.73、429.97、318.69 K,其最高温度位于受力较大的后平滑靴棱柱关节的中心位置D点。
3)前、后平滑靴支撑面与刮板输送机中部槽间,在不同的界面层滑动过程中,接触面间温度随时间的变化趋势均为初始磨合期温度上升较快,随后温度趋于平缓上升,且前、后平滑靴支撑面与刮板输送机中部槽间接触摩擦界面温度均为不平稳上升。
[1] 杨 泷,罗云雄,阮朝万.智能化采煤装备的关键技术[J].化工管理,2018(2):227.
YANG Wei,LUO Yunxiong,YAN Chaowan. Key technologies of intelligent coal mining equipment [J]. Chemical Industry Management,2018(2):227.
[2] WANG Jinhua. Development and prospect on fully mechanized mining in Chinese coal mines[J]. International Journal of Coal Science & Technology,2014,1(3):253-260.
[3] BLOK H.Surface temperature under extreme pressure lubrication conditions[C].PROC.2nd world petroleum congress,1973
[4] BLOK H.Theoretical study of temperature rise at surface of actual contact under oiliness conditions[C].DISCon Lubrication,inst Mesh Engnrs,London:1937.
[5] BLOK H.Measurement of temperature flashes on geat teeth under extreme pressure conditions[C]. PROC Gen DISC on Lubrication,1937.
[6] 王淑平,杨兆建.大型采煤机滑靴磨损机理分析[J].煤矿机械,2010,31(9):71-73.
WANG Shuping,YANG Zhaojian.Analysis of wear mechanism of large shearer sliding shoe[J].Coal Mine Machinery,2010,31(9):71-73.
[7] 毛 君,朱 煜,陈洪月,等. 采煤机摇臂齿轮固热耦合分析与齿廓修形[J].煤炭学报,2017,42(6):1598-1606.
MAO Jun,ZHU Yu,CHEN Hongyue,et al. Gear solid-heat coupled analysis and tooth profile modification of ranging arm of shearer[J].Journal of China Coal Society,2017,42(6):1598-1606.
[8] 陈洪月,李玉珠,张 钊,等.采煤机摇臂齿轮传动系统固-热-力耦合特性分析[J].煤炭学报,2018,43(3):878-887.
CHEN Hongyue,LI Yuzhu,ZHANG Zhao,et al.Analysis of solid-heat-structure coupling characteristics of shearer gear transmission system[J].Journal of China Coal Society,2018,43(3):878-887.
[9] 陈洪月,张 坤,王 鑫,等.基于滚筒实验载荷的采煤机滑靴动力学特性分析[J].煤炭学报,2017,42(12):3313-3322.
CHEN Hongyue,ZHANG Kun,WANG Xin,et al.Analysis of dynamic characteristics of shearer boots based on experimental load of drum[J].Journal of China Coal Society,2017,42(12):3313-3322.
[10] 田立勇,李文政,隋 然.基于多传感器的采煤机滑靴受力检测系统研究[J/OL].煤炭学报:1-15.[2019-08-10].https://doi.org/10.13225/j.cnki.jccs.2019.0501.
TIAN Liyong,LI Wenzheng,SUI Ran. Research on the detection system of shearer sliding shoes based on multi-sensor [J/OL]. Journal of China Coal Society:1-15.[2019-08-10].https:// Doi.org/10.13225/j.cnki.jccs.2019.0501.
[11] 顾恩洋.滚筒采煤机导向滑靴耐磨性和强度的分析与研究[D].北京:煤炭科学研究总院,2017.
[12] 顾恩洋,周常飞.采煤机导向滑靴耐磨层磨损机理分析[J].煤炭技术,2017,36(3):262-264.
GU Enyang,ZHOU Changfei.Analysis of wear mechanism of wear-resistant layer of shearing boots of shearer[J].Coal Technology,2017,36(3):262-264.
[13] 龚 平,周建强,吕元和.MG375型采煤机导向滑靴损坏的原因分析[J].煤炭科技,2006(4):9-10.
GONG Ping,ZHOU Jianqiang,LYU Yuanhe.Analysis of the causes of the damage of the guide shoes of MG375 Shearer[J].Coal Science and Technology,2006(4):9-10.
[14] 贾文君.面接触多体界面摩擦和噪声特征研究[D].合肥:合肥工业大学,2013.
[15] 唐 卡,宋汝鸿,胡恩柱,等.往复滑动干摩擦条件下碳烟颗粒的摩擦学特性研究[J].摩擦学学报,2015,35(2):198-205.
TANG Ka,SONG Yuhong,HU Enzhu et al. Tribological properties of soot particles under reciprocating sliding dry friction conditions[J].Tribology,2015,35(2):198-205.
[16] 王东星.不同参数对粗糙表面/平面滑动摩擦热-力耦合的影响[D].福州:福州大学,2011.
[17] 骆华荣,高诚荣.双粗糙面滑动摩擦热力耦合有限元分析[J].机械制造与自动化,2014(3):141-145.
LUO Huarong,GAO Chengrong.The finite element analysis of sliding friction for double rough surface[J].Machine Building & Automation,2014(3):141-145.
[18] 黄健萌,高诚辉.弹塑性粗糙体/刚体平面滑动摩擦过程热力耦合分析[J].机械工程学报,2011,47(11):87-92.
HUANG Jianmeng,GAO Chenghui.Thermal-coupling analysis of elastoplastic rough body/rigid body plane sliding friction process[J].Chinese Journal of Mechanical Engineering,2011,47(11):87-92.
[19] 韩传军,张 杰,梁 政.粗糙表面在滑动过程中的摩擦生热研究[J]. 西南石油大学学报,2015,37(2):159-164.
HAN Chuanjun,ZHANG Jie,LIANG Zheng.Study on the frictional heat generation of rough surface during sliding process[J].Journal of Southwes Petroleum University,2015,37(2):159-164.
[20] 陈洪月,张 坤,田 松,等.斜切工况下采煤机销排导向滑靴模态与寿命分析[J].煤炭科学技术,2017,45(4):82-88.
CHEN Hongyue,ZHANG Kun,TIAN Song,et al.Analysis of modal and lifetime of shearer guide sliding boots in the case of oblique cutting[J].Coal Science and Technology,2017,45(4):82-88.
[21] MAZURKIEWICZ D.Empirical and analytical models of cut in process of rocks[J].Journal of Mining Science,2000,36(5):481-486.
[22] HEKIMOGLU O Z,OZDEMIR L.Effect of angle of wrap on cutting performance of drum shearers and continuous miners[J].Mining Technology(Trans Inst Min Metal A),2004,113(2):118-122.