安全科学与工程

矿井煤层冲击危险性多层次综合评价研究

张科学1,2,3,4,5,6,亢 磊1,4,何满潮2,刘金海1,4,程志恒1,4,孙健东1,4,李 东1,4,赵启峰1,4,殷帅峰1,4,上官锋7,王晓玲1,4

(1.华北科技学院 智能化无人开采研究所,北京 101601;2.中国矿业大学(北京) 深部岩土力学与地下工程国家重点实验室,北京 100083;3.煤炭科学研究总院 智能控制技术研究分院,北京 100013;4.华北科技学院 安全工程学院,北京 101601;5.中国矿业大学(北京)煤炭资源与安全开采国家重点实验室,北京 100083;6.安徽理工大学 煤矿安全高效开采省部共建教育部重点实验室,安徽 淮南 232001;7.河南铭安矿山安全技术研究院,河南 郑州 450000)

摘 要:为了更合理评价矿井煤层冲击危险性,减少不同指标之间的相互影响,避免造成评价结果的不准确,应用模糊综合评价模型对矿井煤层进行冲击危险性综合评价,提出了基于层次分析法的矿井煤层冲击危险性模糊综合评价模型;得到了基于层次分析法的矿井煤层冲击危险性影响因素,即:开采深度、冲击倾向性、煤层顶底板性质、地质构造、开采技术;确定了评价因素集,建立了模糊综合评价关系矩阵,进行了模糊综合评价,创建了矿井煤层冲击危险性模糊综合评价模型;最后对矿井煤层冲击危险性做出无冲击危险性、弱冲击危险性、中等冲击危险性和强冲击危险性的定量评价,提高了评价结果的精确度。以内蒙古某矿评价应用为例,选取2-1煤层进行模糊综合评价,通过应用基于层次分析法的矿井煤层冲击危险性模糊综合评价模型,得出2-1煤层最大隶属度指数x=0.43,评价结果为中等冲击危险性,与采用综合指数法评价得到的结果一致,表明了该模型可以用于评价矿井煤层冲击危险性。应用该模型在对矿井煤层进行模糊综合评价时,更注重各影响因素之间的相互关系对结果的影响,因而得到的评价结果更合理。研究为矿井煤层冲击危险性模糊综合评价研究提出一种新的评价角度。

关键词:煤层;冲击地压;层次分析法;评价;权重

0 引 言

由于我国对煤炭资源需求量巨大,为了提高产量,煤矿的开采深度逐渐增加,冲击地压已成为制约煤矿开采的重大灾害之一[1-3]。目前我国学者在矿井煤层冲击危险性评价方面没有形成共同认可的方法。评价方法种类繁多,受适用条件制约。国内外学者对矿井煤层冲击危险性多参量综合评价主要是利用未确知测度理论[4]、数量化理论[5]、属性识别理论[6]等各种数学方法,确定权重,建立模型,进行评价研究,具体如下:姜福兴等[7]通过对外部应力的近似计算与围岩弱结构的合理估算,充分考虑煤岩体的冲击危险性,建立冲击地压的综合分类方法,得到了工作面冲击危险程度和冲击类型。张志镇等[8]总结了集对分析理论和冲击危险性影响因素,构建了冲击危险性预测评价集对分析模型,提出了用连系度表示冲击事故发生可能性的大小,并定量给出不同影响因素的差异性、同一性、对立性;张凯等[9]利用了基于人工神经网络的ANN评价方法,得到了不同因素对冲击地压危险性评价结果的影响程度,提出了优化占比较大的因素来降低煤矿的冲击危险性。金佩剑等[10]提出了基于影响因素无量纲化和归一化的突变级数法,得到了突变级数表示煤矿冲击地压发生的可能性的冲击地压指标体系。廖志恒[11]通过D-S理论,用冲突证据合成方法确定权重系数,利用冲击地压量化值表示冲击地压危险等级。王书文等[12]利用地震CT技术方法,通过分析地震波波速和波速梯度,得到冲击危险性指数分布图。潘俊峰等[13]通过研究集中静载荷和冲击地压的关系,建立了冲击地压预评价模型,提出通过工作面集中静载荷分布状态评价冲击地压危险状态。除此以外还有综合指数法[14],结构相似性指数[15],SPA-ITFN耦合模型[16],NRS-ACPSO-SVM模型[17]等其他评价方法。

我国已有关于矿井煤层冲击危险性多参量评价的研究,不同之处在于影响因素的不同,确定各因素对结果的影响程度不同,评价结果的指标不同。尤其是确定影响因素权重的时候,不同的方法对结果的准确性影响是巨大的。我国有关冲击地压的研究取得了一些成果,但仍需要在冲击地压防治方面深入研究[18-21]。笔者应用基于层次分析法的模糊综合评价方法,提出以开采深度、冲击倾向性、煤层顶底板性质、地质构造、开采技术5大影响因素,将影响矿井煤层冲击危险性的因素当成一个多层次模糊集合,通过确定隶属度,进而定量评价矿井煤层冲击危险性。

1 模糊综合评价模型的建立

在构建模糊综合评价模型时,为了与实际情况相吻合,多采用层次分析法[22-24]。实际上就是把现有评价标准和真实测量值,通过模糊综合计算,综合评价。在进行模糊综合评价时应当同时满足下面3个条件:①评价因素集U={U1,U2,U3,…,Un};②评价集V={V1,V2,V3,…,Vn};③各评价因素集UV的一个模糊映射f:UV,即选择任意单因素uU,都有模糊综合评价集B(u)∈f(V)一一映射得到模糊综合矩阵RR=(rij)nm(i=1,2,…,n;j=1,2,…,m),称(U,V,R)为综合评价数学模型[24]

由于不同的评价因素对评价结果的影响程度不同,为了准确地表示这种影响程度的大小,定义一个影响因素权重集A,称为U的影响因素模糊子集,其表达式为:A=(A1,A2,…,An)其中:Ai(0≤Ai≤1)为UiA的隶属度。

在模糊综合矩阵R和影响因素模糊子集A确定的情况下,对事件的模糊综合评价结果[22-25,26]

B=A×R=(A1,A2,…,An

其中,bj为矿井煤层冲击危险性的模糊综合评价j级的隶属度[22-25,26],根据最大隶属原则[24],定义bk为最大隶属度指数xbk=max(b1,b2,…,bm),则矿井煤层冲击危险性模糊综合评价为k[24]

2 矿井煤层冲击危险性模糊综合评价

由评价模型可知,矿井煤层冲击危险性模糊综合评价应当确定评价因素集、评价集和模糊综合关系矩阵[27]。矿井煤层冲击危险性的评价因素是多种多样的,充分考虑因素指标自身的准确性、针对性、有效性,且能够表明关键的影响因素,选取合适的参量。

2.1 影响因素的确定

2.1.1 开采深度

一般情况下,矿井煤层开采深度越深,煤体受到的地应力越大,发生矿井煤层冲击危险的可能性越高。撒占友等[27]利用FLAC3D数值模拟软件,直观展示了不同深度下,地应力的变化情况,定性地证明开采深度影响着矿井煤层的冲击危险性。通过查阅相关文献与资料,最终决定参照《防治煤矿冲击地压细则》,把开采深度h分为h≤400 m,400 m<h≤600 m,600 m<h≤800 m,h>800 m这4种情况,定量研究开采深度对矿井煤层冲击危险性的影响。

2.1.2 冲击倾向性

根据我国冲击地压相关国家标准,将冲击倾向性指标分为煤的单轴抗压强度,煤的弹性能指数,煤的冲击倾向性鉴定结论。煤的单轴抗压强度指煤的标准试件在单轴压缩状态下承受的破坏载荷与其承压面积的比值。煤的弹性能指数是指煤试件在单轴压缩状态下,当受力达到某一值时(破坏前)卸载,其弹性变形能与塑性变形能(耗损变性能)之比[28]。在同一条件下,冲击倾向性越高的煤体发生冲击危险性的可能性越大。

2.1.3 煤层顶底板性质

根据冲击地压国家标准,在对顶底板的冲击倾向性测定时主要是依据弯曲能量指数。将煤层顶底板性质分为煤层上覆坚硬岩层的厚度、强度、至煤层距离3种情况。研究表明,矿井煤层上方100 m范围内岩层会影响冲击地压危险性,其中强度较大,厚度较大的砂岩层起关键性作用。所以煤层顶板坚硬岩层的厚度、强度、至煤层距离是影响煤层冲击危险性的重要因素。

2.1.4 地质构造

地质构造一直都是煤矿安全生产的重点研究对象,常见的地质构造类型有断层、褶曲、煤层相变、陷落柱、河流冲刷带、构造异常带。王磊等[28]通过利用FLAC数值模拟软件模拟工作面超前支承压力分布受断层影响的情况,建立了不同位置的应力场及应力梯度变化,结果表明地质构造至断层距离越近,发生冲击危险性的可能性越大。

2.1.5 开采技术

开采技术条件包括保护层卸压开采参数、工作面邻空参数、工作面开采参数、工作面推进参数、工作面采煤工艺。

保护层卸压开采参数包括保护层的卸压程度和工作面至上保护层开采遗留煤柱的水平距离。工作面邻空参数包括工作面与邻近采空区的关系。工作面开采参数即工作面长度、区段煤柱宽度、留底煤厚度、向煤层侵蚀等。工作面推进参数包括向采空区掘进的巷道,停掘位置与采空区的距离,向采空区推进的工作面,终采线与采空区的距离,向落差大于3 m的断层推进的工作面或巷道,工作面或掘进工作面与断层的距离,向煤层倾角剧烈变化(>15°)的向斜或背斜推进的工作面或巷道。由于我国煤田分布广泛,地质条件复杂,煤层深度、厚度、种类不同,对应的开采技术也不尽相同。合理的采煤工艺是煤矿安全生产的前提,同样保证了煤矿的生产效率。工作面采煤工艺对矿井煤层冲击危险性的影响是巨大的。传统采煤工艺对煤层的稳定性破坏较大,极易引发冲击地压。

2.2 确定评价因素集

根据确定的影响因素,共选择了5个影响因素作为矿井煤层冲击危险性模糊综合评价的一级指标,即:开采深度、冲击倾向性、煤层顶底板性质、地质构造、开采技术。类比得到矿井煤层冲击危险性模糊综合评价的二级指标,具体如下:

A={A1,A2,A3,A4,A5}

A1={A11,A12,A13,A14}

A2={A21,A22,A23}

A3={A31,A32,A33}

A4={A41,A42,A43,A44A45,A46}

A5={A51,A52,A53,A54A55}

式中:A1为开采深度;A2为冲击倾向性;A3为煤层顶底板性质;A4为地质构造;A5为开采技术;A11h≤400 m;A12为400 m<h≤600 m;A13为600 m<h≤800 m;A14h>800 m;A21为煤的单轴抗压强度;A22为煤的弹性能指数;A23为煤的冲击倾向性鉴定结论;A31为上覆硬岩厚度;A32为上覆硬岩强度;A33为上覆硬岩至煤层距离;A41为断层的影响;A42为褶曲构造的影响;A43为煤层相变;A44为陷落柱的影响;A45为河流冲刷带的影响;A46为构造异常带的影响;A51为保护层卸压开采参数;A52为工作面邻空参数;A53为工作面开采参数;A54为工作面推进参数;A55为工作面采煤工艺。

2.3 确定评价集

结合现行有关冲击地压的国家标准和实际需求,确定了矿井煤层冲击危险性模糊综合评价集VV={V1,V2,V3,V4},其中,V1为无冲击危险性;V2为弱冲击危险性;V3为中等冲击危险性;V4为强冲击危险性。

2.4 模糊评价中的多层次分析

在评价矿井煤层冲击危险性时,存在影响因素较多,各个因素的比例不能准确确定的问题。此时简单的综合评价不能满足实际需求。采用基于层次分析法的模糊综合评价能够很好地解决问题。基于层次分析法的矿井煤层冲击危险性模糊综合评价模型如图1所示。

图1 矿井煤层冲击危险性多层次模糊综合评价模型
Fig.1 Multi-level fuzzy comprehensive evaluation model for mine coal seam impact danger

2.5 确定各级评价因素的权重

模糊综合评价实现定性评价到定量评价过渡的重要环节就是计算评价影响因素的权重,权重计算是否准确影响着模糊综合评价结果。已有的确定权重的方法有,功效系数法、指数加权法、神经网络分析法、层次分析法、灰色分析法等。因为矿井煤层冲击危险性的评价因素较多,不同评价因素之间联系密切,因此基于层次分析法(AHP)计算各因素的权重[27],再咨询一些相关领域的经验丰富的学者,通过一致性检验计算得到相关评价矩阵。利用层次分析法确定权重就是先构建判断矩阵,再用判断矩阵来确定评价因素的权重值,建立判断矩阵。

其中:aij=1/aji。判断矩阵A中的元素aij表示要素aiaj的相对重要度,即

aij=wi/wj

(1)

其中:wiwj分别为要素aiaj的重要性标度值。判断矩阵主要是通过1~9标度方法来量化要素重要性[22-23](表1)。

表1 判断矩阵标度及其含义

Table 1 Judgment matrix scale and its meaning

标度含义1ai和aj两者的重要性相同3ai比aj稍微重要5ai比aj明显重要7ai比aj强烈重要9ai比aj极端重要2,4,6,8上述两相邻判断的中值

层次分析法确定权重的步骤如下[23]

1)构造判断矩阵A

2)判断矩阵的权重及最大特征根λmax

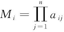
①计算判断矩阵每一行元素的乘积Mi

(2)

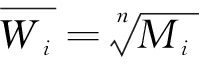
②计算Min次方根

(3)

③对向量规范化,即所求的特征向量。

(4)

W=[W1W2Wn]T即为所求的特征向量。

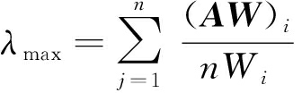
④计算特征向量的最大特征根λmax

(5)

式中:(AW)i为向量AW的第i个元素。

3)判断矩阵的一致性检验。

①计算一致性指标CI

CI=(λmax-n)/(n-1)

(6)

②计算平均随机一致性指标CR

CR=CI/RI

(7)

其中:RI为同阶平均随机一致性指标,其值详见表2。

表2 同阶平均随机一致性指标

Table 2 Mean random consistency index of same order

矩阵阶数1、2345678RI00.580.901.121.241.321.41矩阵阶数9101112131415RI1.451.491.521.541.561.581.59

CR≤0.1,表明建立的判断矩阵具有满意的一致性,表明权重的选取是符合要求的,反之要重新确定判断矩阵,直到构建的判断矩阵符合要求。

2.6 建立模糊关系矩阵

借鉴单因素评价矩阵的构建过程,得到多层次隶属关系矩阵。将每个因素对评价结果的影响汇总可以得到单因素评价集。隶属函数需要用专门的方法来准确确定,减小误差。隶属函数的计算方法有二元对比排序法,专家评分法、推理法、三分法、模糊统计方法等。不同煤矿的矿井煤层地质条件不同,不能找到一个适用于所有因素的隶属函数。结合实际情况,使用专家评分法来确定隶属度函数,即在确定模糊关系时,询问一定数量相关领域学者专家与具有丰富经验的高级工程技术人员依据评价等级V打分[30]。通过对打分数据的处理,可以得到不同因素对应评价等级的比例,将不同评价因素的级别比例汇总就确定了模糊关系矩阵R

3 工程实例分析

下面以内蒙古某矿为例,对2-1煤层的矿井煤层冲击危险性进行评价,以验证构建的模型是否可以用于矿井煤层冲击危险性评价。

2-1煤层自然厚度0~6.37 m,平均2.63 m,煤层可采厚度1.06~5.61 m,平均2.52 m。煤层总体呈大型的宽缓波状起伏,为背斜构造,背斜走向为北向西,煤层倾角为1°~3°。2-1煤层为对比可靠,基本全区可采的较稳定—稳定煤层。2-1煤层与2-2煤层间距为0.87~43.84 m,平均20.13 m。2-1煤层煤层顶底板特征详见表3。

表3 2-1煤层顶底板特征

Table 3 Roof and floor characteristics of No.2-1 coal seam

顶、底板岩性厚度/m岩性特征基本顶细砂岩、中砂岩13.8~23.3浅灰白色,以石英为主,含少量云母直接顶砂质泥岩、粉砂岩2.53~7.80浅灰色,致密状,以石英为主伪顶砂质泥岩0.25~0.45灰黑色,水平层理直接底砂质泥岩、粉砂岩3.4~8.9灰色,以石英为主,泥质胶结,含一定数量的植物化石及云母碎片

基于层次分析法的某矿2-1煤层冲击危险性模糊综合评价模型的重点是确定各影响因素的权重。计算矿井煤层冲击危险性评价因素的权重过程如下:

1)构造判断矩阵A

2)经式(2)—式(5)计算,判断矩阵的最大特征值为λmax=5.21,评价因素的权重为

3)由式(6)、式(7)得CR=0.05<0.1,经判断矩阵的一致性检验可知,A具有满意的一致性。

同上,二级评价因素权重计算过程如下:

判断矩阵A1

经式(2)—式(5)计算,λmax=4.24,评价因素的权重为

由式(6)、式(7)得CR=0.09<0.1,经判断矩阵的一致性检验可知,A1具有满意的一致性。

判断矩阵A2

经式(2)—式(5)计算,λmax=3.05,评价因素的权重为

由式(6)、式(7)得CR=0.04<0.1,经判断矩阵的一致性检验可知,A2具有满意的一致性。

判断矩阵A3

经式(2)—式(5)计算,λmax=3.05,评价因素的权重为

由式(6)、式(7)得CR=0.04<0.1,经判断矩阵的一致性检验可知,A3具有满意的一致性。

判断矩阵A4

经式(2)—式(5)计算,λmax=6.52,评价因素的权重为

由式(6)、式(7)得CR=0.08<0.1,经判断矩阵的一致性检验可知,A4具有满意的一致性。

判断矩阵A5

经式(2)—式(5)计算,λmax=5.26,评价因素的权重为

由式(6)、式(7)得CR=0.06<0.1,经判断矩阵的一致性检验可知,A5具有满意的一致性。

用专家评分法确定的6个单因素评判矩阵分别为

1)一级模糊综合评价:令

将得到的B1B2B3B4B5作为上一层评价矩阵R,并作模糊变换。

2)二级模糊综合评价:已知,

以内蒙古某矿为例,由最大隶属度关系原则可知:2-1煤层的最大隶属度指数x=0.43,其隶属度指数评价如图2所示。冲击危险性模糊综合评价结果为中等冲击危险性,该综合评价结果与实际的情况较为吻合。基于层次分析法的矿井煤层冲击危险性评价结果和现场基于综合指数法的实际评价结果均表明:2-1煤层冲击危险性为中等冲击危险性。

V1V2V3V4—无、弱、中等、强冲击危险性
图2 2-1煤层冲击危险性隶属度指数评价
Fig.2 Membership index evaluation of
No.2-1 coal seam impact danger

4 结 论

1)确定了矿井煤层冲击危险性的影响因素为开采深度、冲击倾向性、煤层顶底板性质、地质构造、开采技术,结论表明影响矿井煤层冲击危险性的因素中,煤层顶底板性质占比较大。

2)提出了矿井煤层多层次模糊综合评价模型,应用矿井煤层实例,得到的评价结果与应用综合指数法得到的结果一致,证明该方法可以应用到矿井煤层冲击危险性评价中,研究为矿井煤层冲击危险性模糊综合评价研究提出一种新的评价角度。

3)发现了基于层次分析法的矿井煤层冲击危险性模糊综合评价更加注重不同影响因素之间的重要性和关联性,评价结果更准确。

参考文献(References):

[1] 姜耀东,潘一山,姜福兴,等.我国煤炭开采中的冲击地压机理和防治[J].煤炭学报,2014,39(2):205-213.

JIANG Yaodong,PAN Yishan,JIANG Fuxing,et al.Rockburst mechanism and prevention in coal mining in China [J].Journal of China Coal Society,2014,39(2):205-213.

[2] 姜耀东,赵毅鑫,刘文岗,等.煤岩冲击失稳的机理和实验研究[M].北京:科学出版社,2009:1-11.

[3] 张科学.构造与巨厚砾岩耦合条件下回采巷道冲击地压机制研究[J].岩石力学与工程学报,2017,36(4):1040.

ZHANG Kexue.Study on the mechanism of rock burst in mining roadway under the coupling of structure and huge conglomerate [J].Chinese Journal of Rock Mechanics and Engineering,2017,36(4):1040.

[4] 王 超.基于未确知测度理论的冲击地压危险性综合评价模型及应用研究[D].徐州:中国矿业大学,2011:1-9.

[5] 高 峰,张志镇,高亚楠,等.基于盲数理论的冲击地压危险性评价模型[J].煤炭学报,2010,35(S1):28-32.

GAO Feng,ZHANG Zhizhen,GAO Yanan,et al.Risk assessment model of rockburst based on blind number theory [J].Journal of China Coal Society,2010,35(S1):28-32.

[6] 张开智,夏均民.冲击危险性综合评价的变权识别模型[J].岩石力学与工程学报,2004,23(20):3480-3483.

ZHANG Kaizhi,XIA Junmin.Variable weight identification model for comprehensive evaluation of impact risk [J] .Chinese Journal of Rock Mechanics and Engineering,2004 ,23(20):3480-3483.

[7] 姜福兴,刘 懿,翟明华,等.基于应力与围岩分类的冲击地压危险性评价研究[J].岩石力学与工程学报,2017,36(5):1041-1052.

JIANG Fuxing,LIU Yi,ZHAI Minghua,et al.Evaluation of rockburst danger based on stress and surrounding rock classification [J].Chinese Journal of Rock Mechanics and Engineering,2017,36(5):1041-1052 .

[8] 张志镇,高 峰,许爱斌,等.冲击地压危险性的集对分析评价模型[J].中国矿业大学学报,2011,40(3):379-384.

ZHANG Zhizhen,GAO Feng,XU Aibin,et al.Set pair analysis and evaluation model of rockburst danger [J].Journal of China University of Mining & Technology,2011,40(3):379-384.

[9] 张 凯,顾士坦.不同采掘扰动下的冲击地压危险ANN评价方法[J].煤矿安全,2017,48(3):182-185.

ZHANG Kai,GU Shitan.ANN evaluation method of rockburst danger under different excavation disturbances [J] .Coal Mine Safety,2017,48(3):182-185.

[10] 金佩剑,王恩元,刘晓斐,等.冲击地压危险性综合评价的突变级数法研究[J].采矿与安全工程学报,2013,30(2):256-261.

JIN Peijian,WANG Enyuan,LIU Xiaofei,et al.Research on catastrophe series method for comprehensive evaluation of rockburst danger [J].Journal of Mining & Safety Engineering,2013,30(2):256-261.

[11] 廖志恒.基于D-S理论改进的冲击地压危险性模糊综合评价[J].矿业安全与环保,2018,45(5):91-95.

LIAO Zhiheng.Comprehensive evaluation of rockburst danger based on D-S theory [J] .Mining Safety and Environmental Protection,2018,45(5):91-95.

[12] 王书文,毛德兵,杜涛涛,等.基于地震CT技术的冲击地压危险性评价模型[J].煤炭学报,2012,37(S1):1-6.

WANG Shuwen,MAO Debing,DU Taotao,et al.Rockburst danger evaluation model based on seismic CT technology [J].Journal of China Coal Society,2012,37(S1):1-6.

[13] 潘俊锋,王书文,刘少虹,等.基于集中静载荷探测的冲击地压危险性预评价[J].岩土工程学报,2014,36(7):1227-1234.

PAN Junfeng,WANG Shuwen,LIU Shaohong,et al.Feng Meihua.Pre-evaluation of ground pressure danger based on concentrated static load detection [J] .Chinese Journal of Geotechnical Engineering,2014,36(7):1227-1234.

[14] 曲孔典,马文强,刘 钒,等.冲击地压综合指数法中采空区宽度评价指数修正[J].煤炭技术,2016,35(5):93-95.

QU Kongdian,MA Wenqiang,LIU Fan,et al.The correction index of the mined-out area width in the comprehensive index method of rock pressure [J].Coal Technology,2016,35(5):93-95.

[15] 李 兵,沈 威,罗武贤,等.基于能量密度相似性的多煤层冲击危险性评价方法[J].煤矿安全,2019,50(2):208-213.

LI Bing,SHEN Wei,LUO Wuxian,et al.Multi-coal seam impact risk assessment method based on energy density similarity [J].Coal Mine Safety,2019,50(2):208-213.

[16] 秦忠诚,陈光波,李 谭,等.基于集对分析-区间三角模糊数的冲击地压耦合评价模型及应用[J].山东科技大学学报:自然科学版,2019,38(1):16-24.

QIN Zhongcheng,CHEN Guangbo,LI Tan,et al.Coupling evaluation model of rock and ground pressure based on set pair analysis-interval triangular fuzzy number and application [J].Journal of Shandong University of Science and Technology:Natural Science,2019,38(1):16-24.

[17] 温廷新,于凤娥.基于NRS-ACPSO-SVM的冲击地压危险性预测模型[J].中国安全科学学报,2017,27(10):19-25.

WEN Tingxin,YU Feng’e.Prediction model of rockburst danger based on NRS-ACPSO-SVM [J].Chinese Journal of Safety Science,2017,27(10):19-25.

[18] 齐庆新,李一哲,赵善坤,等.我国煤矿冲击地压发展70年:理论与技术体系的建立与思考[J].煤炭科学技术, 2019, 47(9): 1-40.

QI Qingxin,LI Yizhe,ZHAO Shankun,et al.Seventy years development of coal mine rockburst in China:establishment and consideration of theory and technology system[J].Coal Science and Technology,2019, 47(9):1-40.

[19] 潘一山,李忠华,章梦涛.我国冲击地压分布、类型、机理及防治研究[J].岩石力学与工程学报,2003(11):1844-1851.

PAN Yishan,LI Zhonghua,ZHANG Mengtao.Research on the distribution,type,mechanism and prevention of rockburst in China [J] .Chinese Journal of Rock Mechanics and Engineering,2003(11):1844-1851.

[20] 张科学.构造与巨厚砾岩耦合诱发冲击地压发生规律研究[J].煤炭技术,2016,35(12):12-15.

ZHANG Kexue.Occurrence regulation study of tectonic and ultra-thick conglomerate coupling induced coal bump[J] .Coal Technology,2016,35(12):12-15.

[21] 姜耀东,潘一山,姜福兴,等.我国煤炭开采中的冲击地压机理和防治[J].煤炭学报,2014,39(2):205-213.

JIANG Yaodong,PAN Yishan,JIANG Fuxing,et al.Rockburst mechanism and prevention in coal mining in China [J].Journal of China Coal Society,2014,39(2):205-213.

[22] 王 旭,霍德利.模糊综合评价法在煤矿安全评价中的应用[J].中国矿业,2008(5):75-78.

WANG Xu,HUO Deli.Application of fuzzy comprehensive evaluation method in coal mine safety evaluation [J].China Mining Industry,2008(5):75-78.

[23] 易恩兵,牟宗龙,窦林名,等.冲击矿压危险性的模糊综合评价研究[J].煤炭工程,2011(6):70-73.

YI Enbing,MU Zonglong,DOU Linming,et al.Research on fuzzy comprehensive evaluation of rockburst danger [J].Coal Engineering,2011(6):70-73.

[24] 张科学,柏建彪,郝云新,等.煤巷锚杆支护效果的多层次模糊综合评价[J].煤炭科学技术,2010,38(8):10-14.

ZHANG Keji,BAI Jianbiao,HAO Yunxin,et al.Multi-level fuzzy comprehensive evaluation of bolt support effect of coal roadway [J].Coal Science and Technology,2010,38(8):10-14.

[25] 董长吉,王海爽.围岩稳定性模糊综合评价方法的研究与应用[J].矿业研究与开发,2006(6):45-46.

DONG Changji,WANG Haishuang.Research on fuzzy comprehensive evaluation method for surrounding rock stabilityand application[J].Mining Research and Development,2006(6):45-46.

[26] 李 宁,王李管,贾明涛.基于层次分析法的矿井六大系统模糊综合评价[J].中南大学学报:自然科学版,2015,46(2):631-637.

LI Ning,WANG Liguan,JIA Mingtao.Fuzzy comprehensive evaluation of six mine systems based on analytic hierarchy process [J].Journal of Central South University:Science and Technology,2015,46(2):631-637.

[27] 撒占友,王 勇,秦 波.基于FLAC3D的煤矿冲击地压深度模拟研究[J].煤矿安全,2011,42(6):22-25.

SA Zhanyou,WANG Yong,QIN Bo.Simulation of coal mine rockburst depth based on FLAC ~(3D) [J].Coal Mine Safety,2011,42(6):22-25.

[28] 张绪言.大同矿区巷道冲击地压特征及冲击倾向性研究[D].太原:太原理工大学,2006:1-25.

[29] 王 磊,张永久.受断层影响的采场冲击地压危险区域划分研究[J].中国煤炭,2017,43(2):108-113.

WANG Lei,ZHANG Yongjian.Research on division of dangerous area of ground pressure danger affected by fault [J] .China Coal,2017,43(2):108-113.

[30] 张建华,夏岸雄,王 涛,等.逐孔起爆爆破效果的模糊综合评价[J].爆破,2013,30(4):83-86.

ZHANG Jianhua,XIA Anxiong,WANG Tao,et al. Fuzzy comprehensive evaluation of blasting effect of hole-by-hole blasting [J].Blasting,2013,30(4):83-86.

Research on multi-level comprehensive evaluation of coal seam rockburst risk in underground mine

ZHANG Kexue1,2,3,4,5,6,KANG Lei1,4,HE Manchao2,LIU Jinhai1,4,CHENG Zhiheng1,4,SUN Jiandong1,4,LI Dong1,4,ZHAO Qifeng1,4,YIN Shuaifeng1,4,SHANGGUAN Feng7,WANG Xiaoling1,4

(1.Institute of Intelligent Unmanned Mining,North China Institute of Science and TechnologyBeijing 101601,China;2.State Key Laboratory for Geomechanics and Deep Underground Engineering,China University of Mining and Technology-BeijingBeijing 100083,China;3.Intelligent Control Technology Branch of China Coal Research InstituteBeijing 100013,China;4.School of Safety Engineering,North China Institute of Science and TechnologyBeijing 101601, China;5.State Key Laboratory of Coal Resources and Mine SafetyChina University of Mining & Technology-BeijingBeijing 100083,China;6.Key Laboratory of Safety and High-efficiency Coal MiningMinistry of EducationAnhui University of Science and TechnologyHuainan 232001, China;7.Mine Safety Technology Research Institute of Henan MinganZhengzhou 450000,China)

Abstract:In order to evaluate the coal seam bump risk more reasonably, reduce the mutual influence between different indicators, and avoid inaccurate evaluation results, a comprehensive evaluation model of coal mine seam bump risk using fuzzy comprehensive evaluation method was proposed, and the fuzzy comprehensive evaluation model of coal seam bump risk based on the analytic hierarchy process was proposed. The influence factors of coal seam bump risk based on analytic hierarchy process was obtained, namely: mining depth, impact propensity, coal roof and floor properties, geological structure, mining technology. The evaluation factor set was determined, the fuzzy comprehensive evaluation relation matrix was established, the fuzzy comprehensive evaluation was carried out, and the fuzzy comprehensive evaluation model of mine coal seam impact risk was created; finally, no impact risk, weak impact risk, moderate impact risk and moderate impact risk were made for coal seam impact risk.The quantitative evaluation of the risk improves the accuracy of the evaluation results.Taking a mine evaluation application in Inner Mongolia as an example, the No.2-1 coal seam was selected for fuzzy comprehensive evaluation. By applying the fuzzy comprehensive evaluation model of mine coal seam risk based on analytic hierarchy process, the maximum membership index x=0.43 of No.2-1 coal seam was obtained. The evaluation result is moderate impact risk, which is consistent with the result obtained by the comprehensive index method, indicating that the model can be used to evaluate the impact risk of coal seams in mines. When this model is used in fuzzy comprehensive evaluation of coal seams in mines, more attention is paid to the influence of the interrelationship among the various influencing factors on the results. Therefore, the evaluation results obtained are more reasonable and consistent with the actual situation. The research puts forward a new evaluation angle for the fuzzy comprehensive evaluation of coal seam impact hazard.

Key words:coal seam; rockburst; analytic hierarchy process; evaluation; weights

中图分类号:TD324

文献标志码:A

文章编号:0253-2336(2020)08-0082-08

收稿日期:2020-02-12责任编辑:朱恩光

基金项目:国家自然科学基金资助项目(51804160、51704159、51874133);中央高校基本科研业务费资助项目(3142019009);河北省自然科学基金资助项目(E2019508209);深部岩土力学与地下工程国家重点实验室(北京)开放基金资助项目(SKLGDUEK1822)

作者简介:张科学(1986—),男,河南永城人,博士(后),副研究员。E-mail:zhkexue@163.com

通讯作者:刘金海(1982—),男,河南周口人,博士(后),副教授。E-mail:jh_liu1982@163.com

移动扫码阅读

张科学,亢 磊,何满潮,等.矿井煤层冲击危险性多层次综合评价研究[J].煤炭科学技术,2020,48(8):82-89.doi:10.13199/j.cnki.cst.2020.08.010

ZHANG Kexue,KANG Lei,HE Manchao,et al.Research on multi-level comprehensive evaluation of coal seam rockburst risk in underground mine[J].Coal Science and Technology,2020,48(8):82-89.doi:10.13199/j.cnki.cst.2020.08.010