高寒地区煤灰一体双向运输系统关键技术研究

王树民1,李志明2,刘志江1,孙 晓3,宋伟刚4

(1.国家能源投资集团有限责任公司,北京 100007;2.神华北电胜利能源有限公司,内蒙古 锡林浩特 026000;3.中煤科工集团沈阳设计研究院有限公司,辽宁 沈阳 110015;4.东北大学 机械工程与自动化学院,辽宁 沈阳 110819)

摘 要:按照“安全高效、绿色环保、煤来灰去、清洁低碳”设计理念,以高寒地区建设露天无廊道、正向输煤、反向运灰的运输系统为研究目标,通过建立带式输送机弹性和黏弹性力学模型,应用动力学对带式输送机空载和满载启停进行动力仿真分析,验证集正向输煤、反向运灰、连续转载、同步运输、水平转弯技术于一体输送系统方案的可行性,设计应用多台变频器配置同步控制柜,增设输送带张力检测方式,实现长距离带式输送机驱动功率平衡与多点驱动控制。通过设计应用中转运灰带式输送机、回程带面槽角优化以及同步给料控制技术,实现多条带式输送机正向输煤、反向运灰、连续转载、同步运输的目的。通过设计采用“绞车+重锤塔架式”的拉紧方式,优化设计全封闭防雨罩,应用翻带技术、惯性转载技术、粉煤灰降尘技术等,实现对生态环保、防寒防冻、智能化等方面的独创性设计。按照缓冲系统、输煤系统、运灰系统及智能化系统4部分,设计并提出了“长距离、大运量、正向输煤、反向运灰、煤灰一体、连续转载、同步运输、多曲线水平转弯”的运输系统工程设计整体方案,攻克了高寒地区散状物料双向运输系统运行环境差、工程地形复杂、生态环保要求高、正向输煤、反向运灰、煤灰一体等技术研究与工程设计难题。

关键词:高寒地区;煤灰一体;双向运输;连续转载;生态智能

0 引 言

锡林郭勒大草原是我国“两屏三带”中北方防沙带重要组成部分。锡林浩特位于锡林郭勒大草原腹地,在首都北京正北方,直线距离460 km。锡林浩特为半干旱草原气候,属于高寒地区,常年多风,昼夜温差大,极端低气温-42.4 ℃,平均气温1.7 ℃,全年供暖期7个月,无霜期仅122 d。神华北电胜利能源有限公司(简称胜利能源公司)胜利一号露天煤矿(简称胜利露天矿)位于锡林浩特市北郊5 km,生产煤种为褐煤,产能2 800万t/a,为国家一级安全生产标准化煤矿,胜利发电厂是胜利能源公司煤电一体化发展战略重要组成部分,为胜利露天矿配套坑口电厂,位于锡林浩特市东郊8 km,是锡林郭勒盟—山东交流特高压输电工程7个电源点项目之一,与胜利露天矿直线距离9 km,规划建设4×660 MW超超临界燃煤机组,分2期建设,一期工程建设2×660 MW超超临界燃煤机组,年消耗褐煤500万t。紧邻胜利发电厂,还建设有2×660 MW华能北方胜利电厂和2×300 MW+2×350 MW锡林浩特热电厂。

为走好生态优先、绿色发展之路,更好地保护草原生态环境,按照“安全高效、绿色环保、煤来灰去、清洁低碳”的理念,以建设“长距离、大运量、正向输煤、反向运灰、煤灰一体、连续转载、同步运输、多曲线水平转弯”的越野输送带运输系统为创新目标,攻克工程设计与技术研究难题,建设一套“生态和谐、绿色环保、路由共享、系统开放、运营经济的煤灰一体双向运输”的散状物料输送带运输系统,实现露天矿与发电厂耦合发展、煤电一体化协同发展和资源共享,促进露天煤矿与发电厂循环经济与协同运营,对保护草原生态环境,加快实施自主创新战略,推动能源生产技术革命,建设新时代清洁低碳、安全高效的能源体系具有重要意义。

1 “煤来灰去、双向运输”系统的现状与设想

1.1 国内外技术现状

1963年法国在修建巴黎地铁工程时,设计投产了世界第1台平面转弯带式输送机,用于运输土方物料,随后在诸多领域快速推广应用。20世纪70年代,德国、奥地利和美国对具有平面转弯等技术的带式输送机进行了大量理论研究和工程实践,研发了管状带式输送机、双向运输带式输送机[1]

国内带式输送机双向运输技术在20世纪90年代兴起,在冶金、水泥产业得到了推广应用。例如,安徽铜陵上峰水泥主带式输送机长7.6 km,由法国乐贝尔·雷伊公司设计,是国内第一条双向运输、双曲线水平转弯带式输送机,实现了熟料、煤炭双向运输。目前高寒地区“长距离、大运量、正向输煤、反向运灰、煤灰一体、连续转载、同步运输、多曲线水平转弯”无廊道开放环境下越野输送带运输系统国内外尚无先例。

1.2 “煤来灰去、双向运输”系统的设想

胜利发电厂的燃料煤来自胜利露天矿,综合利用无法完全消耗的粉煤灰需反向运回胜利露天矿内排土场,实现粉煤灰的安全环保存储。

传统煤矿与电厂之间煤炭、粉煤灰的运输方式有汽车运输、铁路运输等方式,运煤、运灰需设置2套系统。汽车运输运营成本高、运煤运灰环境污染大,短时间大运量难以实现,且胜利露天矿、胜利发电厂紧邻锡林浩特市建成区,不符合国家推进大宗货物运输“绿色环保”的物流运输政策。修建铁路占地大、工程建设多、投资高、运营成本高,如果实现铁路运灰,工程建设更加复杂。目前胜利露天矿与胜利发电厂之间有国道、铁路、河流、村庄、洼地、草原、林地等,不具备建设铁道线路及相关站场等配套设施的条件。

为了解决胜利露天矿至胜利发电厂之间煤炭与粉煤灰双向运输问题,保护脆弱的草原生态环境,适应胜利露天矿与胜利发电厂之间复杂地理条件要求,通过多方案比选,因地制宜,创造性提出在胜利露天矿至胜利发电厂之间建设“长距离、大运量、正向输煤、反向运灰、煤灰一体、连续转载、同步运输、多曲线水平转弯”的无廊道越野输送带运输系统,实现将胜利露天矿煤炭运送至胜利发电厂,将胜利发电厂粉煤灰运到露天煤矿内排土场。

为此,在缺乏成熟技术、没有工程实践的情况下,需对长距离、大运量、正向输煤、反向运灰、煤灰一体、连续转载、同步运输、防寒防冻、智能环保等诸多方面难题进行技术攻关和工程设计创新。

2 正向输煤和反向运灰双向运输技术

2.1 高寒地区煤灰双向运输带式输送机动力学分析

按照“长周期安全平稳高效运行”的理念,以“高寒地区、正向输煤、反向运灰、运行可靠”为创新目标,模拟高寒低温环境,建立带式输送机力学模型,利用带式输送机动态分析软件,对高寒地区煤灰一体双向运输带式输送机动力学进行研究分析。为了最大限度减少物料运输的转载次数,需设计一条水平机长约9 km,具有3个水平转弯段,采用头中尾驱动布局形式,最大带速4 m/s,最小装机功率2×1 400 kW+2×1 400 kW+1 400 kW,带强ST2500-1600型的带式输送机。

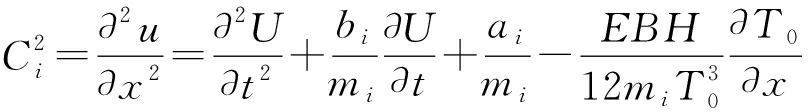
带式输送机弹性和黏弹性力学模型见式(1)、式(2) [5]

1)弹性力学模型为

(1)

式中:u为输送带位移;t为时间;x为位移;U为刚体位移;bi为第i段输送带弹性系数;ai为第i段输送带为托辊间距;mi为第i段输送带单位长度质量;T0为输送带初始张力;E为输送带弹性模量;B为输送带带宽;H为中间变量,为第i段输送带单位长度质量;g为重力加速度;l0为输送机长度;δ为输送带倾角。

2)黏弹性力学模型为[5]

(2)

式中:τ为黏弹性松弛常数。

模拟在-45 ℃低温环境,利用动力学分析软件进行动力仿真分析,计算该带式输送机满载启动和停机过程中,输送带最大张力和最大速度差值。

2.1.1 满载启动动力学分析

满载启动时,带式输送机输送带各单元速度、张力随时间变化曲线如图1、图2所示。

由图1、图2可知,满载启动时,带式输送机输送带最大速度差值0.496 m/s,最大张力701.104 kN。

图1 满载启动时输送带各单元速度变化曲线
Fig.1 Speed change curve of conveyor belt each unit under full load starting

图2 满载启动时输送带各单元张力变化曲线
Fig.2 Load start each cell tension change curve of conveyor belt each unit under full load starting

2.1.2 满载停机动力学分析

满载停机时,带式输送机输送带各单元速度、张力随时间变化曲线如图3、图4所示。

图3 满载停机时输送带各单元速度变化曲线
Fig.3 Unit speed change curve of belt under full load shutdown

图4 满载停机时输送带各单元张力变化曲线
Fig.4 Unit tension change curve of belt under under Full load stop

由图3、图4可知,满载停机时,带式输送机输送带最大速度差值2.816 m/s,最大张力451.895 kN。

带式输送机输送带最大张力点在头部,最大张力出现在满载启动工况时,为701 kN,安全系数为5.706,符合《带式输送机工程设计规范》(GB 50431—2008)的规定[4]

以单条输送距离最长的带式输送机(图5)为例,启动时间可设定为200 s,启动速度曲线如图6所示,曲线均以第1滚筒为基准。经过反复试算表明,启动顺序时间为0、2、10、20 s,启动过程不存在滚筒打滑问题。

1—8为滚筒
图5 带式输送机示意
Fig.5 Schematic of belt conveyor

曲线1和2基本重合,为头部驱动滚筒线速度,对应图5中6号和7号
滚筒;曲线3为中部驱动滚筒线速度,对应图5中1号滚筒;曲线4为尾部驱动滚筒线速度,对应图5中2号滚筒
图6 带式输送机满载启动速度曲线
Fig.6 Full load starting speed curve of belt conveyor

由以上计算分析结果可知,在-45 ℃环境下,机长9 km左右且具有3个水平转弯段的带式输送机,采用头中尾驱动布局形式,最大带速4 m/s,最小装机功率2×1 400 kW+2×1 400 kW+1 400 kW,带强ST2500是科学合理的,满足高寒地区设备运行需求。为保证双向运输带式输送机稳定运行,需考虑设计物料缓冲系统,以保证双向输运物料供给持续、稳定。

2.2 正向输煤、反向运灰、连续转载、同步运输技术

按照“一套系统、煤灰一体、一动两运”的理念,以“正向输煤、反向运灰、连续转载、同步运输”为创新目标,实现长距离、大运量、多条带式输送机正向输煤、反向运灰的连续转载、同步运输。

1)单条带式输送机“正向输煤、反向运灰”的双向运输技术。为实现带式输送机回程带面载料运输,需要将回程带面设计为“槽”型[5],按照500 t/h载荷计算和现场试验,回程带面槽角设计为45°,如图7所示。为实现煤灰一体、同一带面运输,在输送机头尾部设计了翻带装置,如图8所示,实现上带面正向输煤、回程带面反向运灰的双向运输目的。

图7 上下带面槽角设计
Fig.7 Design of upper and lower groove angle

图8 翻带装置效果
Fig.8 Effect of flip tape device

2)多条带式输送机的连续转载、双向运输技术。在现有工程占地范围内,在多条带式输送机具备双向输送功能基础上,设计1部中转运灰带式输送机,实现粉煤灰与煤的同步转载和双向运输,如图9、图10所示,使主带式输送机利用上带面将胜利露天矿煤炭转载至下一级带式输送机上带面,最终送达胜利发电厂,并在主带式输送机中部设计“木”字溜槽结构,实现输送系统煤炭多点卸料,中途设有输煤接口。下一级带式输送机回程段带面反向将胜利发电厂粉煤灰转载至中转运灰带式输送机,运灰带式输送机将粉煤灰接力转载给主带式输送机回程段带面,主带式输送机回程段带面将粉煤灰运到露天煤矿内排土场。

图9 主带式输送机头部正向输煤、反向运灰连续转载结构
Fig.9 Continous transter structure forward coal conveying and reverse ash conveying at the head of main belt conveyor

图10 双向运输转载搭接示意
Fig.10 Schematic of two-way transport transfer lap

3)多条带式输送机实现“一套系统、煤灰一体、一动两运”技术。主带式输送机尾部设计有缓冲仓,实现输煤系统煤炭的可控供给;下一级带式输送机回程输送带上方设计有粉煤灰缓冲仓,实现粉煤灰的可控供给。为实现节能降耗,采用带式输送机变频启动同步给料智能控制技术,即在输送机启动时,煤炭缓冲仓和粉煤灰缓冲仓同步为对应带式输送机加载供给煤炭或者粉煤灰,实现煤炭、煤粉灰同步加载,最终实现“一套系统、一动两运、同步运输”到达目的地。

由上述设计表明:“正向输煤、反向运灰、煤灰一体、连续转载、同步运输”在工程技术上是可以实现的。

2.3 生态环保设计创新

按照“绿水青山就是金山银山”的发展理念,以“输煤不见煤、煤在空中走,运灰不见灰、灰从带下行”为创新目标。

锡林郭勒大草原生态脆弱,生态承载力低、自修复能力差、生态恢复限制因素多,输送系统建设必须保证草原区生态屏障功能不受破坏[6]。输送系统设计规划充分考虑系统布局时空特征、作用边界及影响阈值,最大限度降低与避免输送系统产生的粉尘、噪声、振动等因素对周边生态环境影响,统筹规划景观格局融合优化和农牧矿交错生态修复。在输送系统建成后,确保系统周边景观生态功能恢复与提升,实现农牧文明、工业文明、生态文明和谐共生。为此,输送系统设计采用“生态防护景观带+翻带+惯性转载技术+微动力除尘+粉煤灰加湿+洒水降尘+全封闭防尘罩”7项技术创新达到生态环保要求。

2.3.1 总体规划生态防护景观带

按照“因地制宜,宜草则草,宜树则树”的原则,在具备一定条件小环境区域内种植糖槭、紫丁香,坡体种植沙棘;在季节性盐碱区种植怪柳;在土质适宜的开阔地带种植樟子松、柽柳和柠条,实现生态防护与自然环境相融合,在带式输送机两侧形成生态防护景观带,如图11所示。

图11 输送带系统生态防护景观带
Fig.11 Ecological protection landscape belt of conveyor belt system

2.3.2 翻带技术应用

在带式输送机头尾部设置了翻转装置,将输送带面翻转180°,实现了双向运输输送带始终保持同一带面承载物料,避免回程带面洒落煤灰造成环境污染。

2.3.3 转载点采用惯性转载技术与微动力除尘技术

所有带式输送机转载点均应用物料惯性转载技术,利用离散学(DEM)原理,对物料及空气两相流动状态进行分析,得到三维动态仿真模拟结果,如图12所示。

图12 DEM动态仿真模拟结果
Fig.12 DEM dynamic simulation results

分析散状物料的滑落过程,对散状物料进行全程导流,使物料从无序坠落变成可控滑落,控制物料在滑落过程中的动能大小和料流方向变化,减小物料携带的诱风量,杜绝导料槽出口的粉尘紊流。在转载点导料槽位置安装微动力布袋除尘器,对导料槽和溜槽内部含尘空气进行有组织收尘、达标排放,控制转载点粉尘污染[9]。此外,在每个转载点设计副溜槽,实现带式输送机头部包角滚筒、二级清扫器区域落料的集中收集。

2.3.4 粉煤灰加湿与洒水降尘技术

输送系统途经国道、铁路、河流、村庄、洼地、草原、林地等,环境保护要求高。为此,根据物料特性和现场试验结果,干灰调湿采用夏季加水25%~30%,冬季加氯化钙水溶液20%;为带式输送机增加粉尘检测传感器和洒水喷雾装置,在运输过程中对粉煤灰补水,保证粉煤灰的调湿抑尘效果[18]

2.3.5 防雨抑尘罩创新设计

通过试验反复优化,确定防雨抑尘罩结构形式为∩型结构,减少自然风对上下运输带面物料的影响,如图13、图14所示。通过加强机架和防雨抑尘罩的设计强度,满足特殊气候条件下防雨抑尘罩风载荷要求。

图13 防雨抑尘罩设计结构
Fig.13 Design structure of rainproof and dust suppression cover

图14 CFD模拟分析
Fig.14 CFD simulation

通过理论研究和模拟分析,结果表明:8级以下自燃侧风不会对防雨抑尘罩内上下运输带面物料产生扰动,进而不会产生煤、灰扬尘现象。

2.3.6 工程环保设计

由于采用露天开放式设计,为减少对草原生态破坏与影响,本工程采取了相应工程环保设计。选用低噪声托辊以降低噪声污染,噪声实测结果如图15所示,在距离输送系统最近点200 m居民区噪声级为30 dB,低于昼间60 dB、夜间50 dB,符合中华人民共和国环境噪声污染防治法以及城市区域环境噪声标准相关要求。在土建基础设计上,采用以低填浅挖或多填少挖形式为主,避免大范围破坏草原植被;依据河流、沼泽合理设置桥涵,避免改变水流状态;尽可能在原动物通道位置或者以500 m为间距设置动物通行涵洞,共设置8处动物通行涵洞,做到与草原生态和谐共生。

图15 托辊噪声实测结果
Fig.15 Noise measurement results of idlers

2.4 防寒防冻创新设计

按照“没有不防冻的设备,只有不防冻的设计”的设计理念,以“物料不冻结、输送带无冻黏、设备无冻害”为创新目标。

本输送系统未设封闭采暖廊道,采用露天开放式设计,如不采取防寒防冻措施,冬季含有水分的煤炭和粉煤灰在露天带式输送机运输过程中,小颗粒物料随水分凝结而冻黏输送带,影响系统的安全稳定运行。

2.4.1 运输过程中的物料防冻设计

1)内部防寒防冻。根据胜利矿区褐煤和电厂粉煤灰特性,通过覆盖层橡胶配方中应用聚四氟乙烯,利用微晶蜡类迁移至输送带表面,设计覆盖层橡胶的疏水角为105°~115°,提高疏水性,降低输送带的表面黏着力。38%湿度煤黏着力和25%湿度粉煤灰黏着力分别如图16、图17所示。

图16 38%湿度煤黏着力
Fig.16 38% moisture coal adhesion

图17 25%湿度粉煤灰黏着力
Fig.17 Coal ash adhesion with 25% humidity

从图16可以看出,防黏附输送带在低温条件下,与其他输送带相比,对煤的黏着力稳定性好且偏低,且防黏附效果随温度升高而提高。

从图17可以看出,防黏附输送带在低温条件下,与其他输送带相比,对粉煤灰的黏着力稳定性好且偏低,且防黏附效果随温度升高而提高。

通过加入顺丁橡胶,提升输送带耐低温性能,保证输送带在严寒环境下正常使用。通过加入聚氨酯橡胶,提升了输送带的耐磨、抗撕裂性能,提高了输送带的使用寿命。

由上述研究可知:选用防黏附、耐寒、耐磨、防纵撕、阻燃钢丝绳芯输送带,在一定程度上可以降低输送带表面黏附物料现象,满足该工程技术要求。

2)外部防寒防冻。利用不同浓度的多配方氯化钙水溶液具有不同凝结点的特性,在输送带承载物料前,根据不同环境温度,在输送带承载面均匀喷洒一层氯化钙水溶液,使输送带与物料之间形成一层防冻黏隔离层,实现低温条件下物料防冻黏输送带[7]。此外,根据输送带运行特性,经过试验表明在低温条件下,在物料运输过程中输送带形变抖动和机械微振动对物料防冻结也具有积极作用。

2.4.2 设备、设施防寒防冻措施

驱动机、减速机、液压系统、除尘设备、配电室等均设计自动恒温加热功能,以实现低温环境下,设备的稳定运行。为防止储煤仓内煤炭冻结,仓体外侧设有EPS保温板保温。粉煤灰装车仓采用双仓形式、2层结构以及中空形式,实现防寒保温。

2.5 带式输送机驱动技术

以水平机长约9 km、具有3个水平转弯段、采用头中尾驱动布局形式、带强ST2500-1600、装机功率2×1 400 kW+2×1 400 kW+1 400 kW的带式输送机为例,拟采用高压变频驱动技术,为实现驱动功率平衡,头部和中部多台变频器采用设置同步柜,控制同一驱动部位2台变频驱动功率平衡,同时为保证长距离带式输送机启停安全稳定,头中尾3处驱动单元协调一致,在头部、中部、尾部安装有输送带张力传感器,通过识别输送带不同位置张力变化,结合不同生产模式下驱动控制模型,PLC控制系统统一协调控制多点变频驱动单元启停以及制动系统制动力投入的大小,进而实现长距离带式输送机的安全稳定运行。

此外,为了带式输送机安全可靠运行,稳定的输送带张紧拉力至关重要。针对长距离水平转弯带式输送机,如采用垂直重锤拉紧,拉紧行程至少30 m,需要有足够的安装空间,而带式输送机因提升高度较低,不满足安装条件;如采用液压拉紧,液压缸行程过长,稳定性较差。因此,设计采用“绞车+重锤塔架式”的拉紧方式,既缩短拉紧行程,又实现拉紧力恒定控制,集常规拉紧形式优点为一体。带式输送机选用高速盘式制动器,制动器制动力控制采用曲线控制技术,同时制动器配置有UPS备用电源,以应对决带式输送机运行中突然断电故障,对制动器制动力的有效控制。

3 正向输煤和反向运灰输送系统设计方案

胜利露天矿至胜利发电厂输煤系统设计正向输送煤炭1000万t/a,3 000 t/h,反向输灰200万t/a,500 t/h。系统共设置带式输送机8条,全长13.81 km,其中煤、灰双向运输带式输送机2条,如图18所示。

图18 正向输煤和反向运灰输送系统布置示意
Fig.18 Layout of forward coal handling and reverse ash conveying system

输煤起点位于胜利露天矿2号筛分车间,中部为北方胜利电厂、锡林浩特热电厂留有供煤接口,终点为胜利发电厂,可分别为3座电厂供给煤炭。运灰起点是胜利发电厂厂外3 200 m3中转灰库,终点是露天煤矿2×350 m3粉煤灰装车仓。

根据作业内容,该输送系统可分为缓冲系统、输煤系统、运灰系统及智能化系统3个部分。

3.1 缓冲系统

为提高双向运输系统的稳定性,将M701带式输送机至缓冲仓段定义为缓冲系统,包括M701、M702、M703、M704带式输送机以及一座5 000 t缓冲仓。缓冲仓下给料机可实现连续可控给料,保证后续带式输送机受料均匀、稳定,为长距离水平转弯双向运输带式输送机安全稳定与效率提升创造条件。

3.2 输煤系统

依据高寒地区煤灰一体双向运输带式输送机动力学研究分析,输煤系统设置2条带式输送机,分别是M705和M706带式输送机。为减少转载环节实现反向运灰,M705设计3处水平转弯。输煤系统设计2座封闭式储煤仓,储量为7万t,可保障电厂5 d满负荷运行耗煤量。

3.3 运灰系统

包括M706、H1、M705、H2带式输送机、中转灰库、粉煤灰装车仓。其中M705、M706为煤、灰共用带式输送机。考虑到输煤、运灰的起点与终点基本重合,使M706、M705带式输送机具备反向送灰的功能,以实现M706、M705正向输煤、反向运灰双向运输的工程需求,如图19所示。

图19 正向输煤和反向运灰输送系统工艺流程
Fig.19 Process flow of forward coal handling and reverse ash conveying system

3.4 智能化系统

按照智慧企业建设整体要求,本工程规划建设了由智能生产控制、智能安防以及智能运维构成的智能化系统,实现建设“生态、智能、环保”输送系统的目标。

1)智能生产控制。建设统一通信网络,实现生产控制系统集中控制、生产模式一键切换、智能生产决策、防冻液自动喷洒。建设无人值守配电室,实现远程高低压停送电与远程监控、机器人远程巡检等。

2)智能安防。应用红外智能图像识别技术,实现警戒区域人员闯入报警、危险区域智能提醒、火灾的智能探测与自动防灭火;集中控制系统与视频监控系统相融合,实现系统集中控制与视频联动控制;建设智能通风系统与有害气体监测联锁运行控制。

3)智能运维。根据设备润滑标准,参照油质在线监测,自动形成润滑保养计划;对关键设备实现在线状态监测,对监测大数据进行归纳分析处理,智能分析预测设备状态,结合设备大修周期,实现设备状态诊断与维修提示,为预防性检修提供参考依据[8]。建立综合信息管理系统,实现生产调度管理、集控数据管理、能耗分析、成本分析、人员管理以及安全管理等。

4 结 语

通过上述技术研究与工程设计,为高寒地区建设长距离双向散状物料输送带运输系统工程设计提供了工程技术示范。实现了理念创新。按照“安全高效、绿色环保、煤来灰去、清洁低碳”的设计理念,以一带两运实现了“输煤不见煤、煤在空中走,运灰不见灰、灰从带下行”,创新了双向输送带运输系统传统设计理念与实现方式。实现了设计创新。研究攻克了高寒地区双向运输散状物料输送带运输系统运行环境差、工程地形复杂、生态环保要求高、正向输煤、反向运灰、煤灰一体等技术研究与重大工程设计难题,创新了“长距离、大运量、正向输煤、反向运灰、煤灰一体、连续转载、同步运输、多曲线水平转弯”越野输送系统设计,与同类工程比节约投资约30%,属国内外首创。

参考文献(References):

[1] 谢克昌.中国煤炭清洁高效可持续开发利用战略研究[M].北京:科学出版社,2017.

XIE Kechang.Strategic research on clean,efficient and sustainable development and utilization of coal in China [M].Beijing:Science Press,2017.

[2] 饶 宏.我国能源技术革命形式及方向分析[J].中国工程科学,2018(20):9-16.

RAO Hong.Analysis on the form and direction of China’s energy technology revolution [J].China Engineering Science,2018(20):9-16.

[3] 张玉卓,蒋文化,俞珠峰,等.世界能源发展趋势及对我国能源革命的启示[J].中国工程科学,2015(17):140-145.

ZHANG Yuzhuo,JIANG Wenhua,YU Zhufeng,et al.The trend of world energy development and Its Enlightenment to China’s energy revolution [J].China Engineering Science,2015 (17):140-145.

[4] 王树民.清洁煤电近零排放技术与应用[M].北京:科学出版社,2019.

WANG Shumin.Near zero emission technology and application of clean coal power [M].Beijing:Science Press,2019.

[5] 宋伟刚,徐亚美,王克林,等.深槽托辊组大倾角输送机理分析的仿真方法[J].煤炭学报,2014,39(S2):563-568.

SONG Weigang,XU Yamei,WANG Keling,et al. Simulation method for analysis of transport mechanism of deep groove idler group with large inclination angle [J].Journal of China Coal Society,2014,39(S2):563-568.

[6] 李 东.抓住机遇创新发展建设一流新型能源基地[J].露天采矿技术,2001(3):4-8.

LI Dong.Seize the opportunity,innovate,develop and build a first-class new energy base [J].Opencast Surface Technology,2001 (3):4-8.

[7] 国家发展和改革委员会,国家能源局.能源技术革命创新行动计划(2016—2030年)[R].北京:国家发展和改革委员会,国家能源局,2017.

[8] 谢和平,王金华,王国法,等.煤炭革命新理念与煤炭科技发展构想[J].煤炭学报,2018,43(5):1187-1196.

XIE Heping,WANG Jinhua,WANG Guofa,et al.New concept of coal revolution and coal science and technology development concept [J].Journal of China Coal Society,2018,43 (5):1187-1196.

[9] 郁种铭,晏 飞.设备管理信息系统在煤矿设备行业的应用[J].中国煤炭,2008(2):27-28.

YU Zhongming,YAN Fei.Application of equipment management information system in coal mine equipment industry [J].China Coal,2008 (2):27-28.

[10] 曹 亮.露天矿至火力发电厂煤灰双向运输系统的研究[J].露天采矿技术,2018(5):37-40.

CAO Liang.Study on coal ash two-way transportation system from open pit to thermal power plant [J].Opencase Surface Technology,2018 (5):37-40.

[11] 邵亚琴,汪云甲,李永峰,等.草原区煤电基地开发生态环境时空响应及综合评价[J].煤炭学报,2019,44(12):3874-3886.

SHAO Yaqin,WANG Yunjia,LI Yunfeng,et al.Spatiotemporal response and comprehensive evaluation of ecological environment in the development of coal power base in grassland area [J].Journal of China Coal Society,2019,44 (12):3874-3886.

[12] 陈 玉,刘 超.露天矿地面生产系统粉尘治理方案[J].露天采矿技术,2015(1):84-86.

CHEN Yu,LIU Chao.Dust control scheme for surface production system of open pit [J].Opencase Surface Technology,2015(1):84-86.

[13] 马云东,罗根华,郭昭华.转载点粉尘颗粒扩散运动规律的数值模拟[J].安全与环境学报,2006(2):16-18.

MA Yundong,LUO Genhua,GUO Zhaohua.Numerical simulation of dust particle diffusion at transfer point [J].Journal of Safety and Environment,2006 (2):16-18.

[14] 李晋旭,李克民,杨 明,等.防风抑尘墙在黑岱沟露天矿中的应用研究[J].金属矿山,2010(1):159-162,166.

LI Jinxu,LI Kemin,YANG Ming,et al.Study on the application of wind proof and dust suppression wall in Heidaigou Open Pit Mine [J].Metal Mine,2010 (1):159-162,166.

Research on key technologies of coal ash integrated bi-directional transport system in alpine region

WANG Shumin1,LI Zhiming2,LIU Zhijiang1,SUN Xiao3,SONG Weigang4

(1.China National Energy Investment Group Co.,Ltd.,Beijing 100007,China;2.Shenhua Beidian Victory Energy Co.,Ltd.,Xilinhot 026000,China;3.Shenyang Design and Research Institute Co.,Ltd.,China Coal Technology & Engineering GroupShenyang 110015,China;4.School of Mechanical Engineering and Automation,Northeastern University,Shenyang 110819,China)

Abstract: In accordance with the design concept of “safe and efficient,environmentally friendly,coal left and ash removed,clean and low-carbon”,the research goal is to build an open-air corridor-free,forward coal transportation,reverse ash transportation system in high altitude cold areas.Through the establishment of elastic and viscoelastic mechanical models of belt conveyors,the dynamic simulation analysis of the start and stop of belt conveyors with no load and full load is carried out to verify that the combination of forward coal transportation,reverse ash transportation,continuous reloading,and synchronous transportation.Horizontal turning technology is integrated into the feasibility of conveying system,and the design and application of multiple inverters are equipped with a synchronous control cabinet,and the belt tension detection method is added to realize the long-distance belt conveyor drive power balance and multi-point drive control.Through the design and application of the transfer ash belt conveyor,the optimization of the groove angle of the return belt and the synchronous feeding control technology,the purpose of multiple belt conveyors for forward coal transportation,reverse ash transportation,continuous reloading,and synchronous transportation is realized.The design adopts the tensioning method of “winch + heavy hammer tower”,optimizes the design of fully enclosed cover,applies the turning belt technology,inertial transfer technology,fly ash dust reduction technology,etc.,to achieve ecological environmental protection,cold and frost protection,and intelligence original design.According to the four parts of buffer system,coal transportation system and intelligent transport systems,the “long distance,large transportation capacity,forward coal transportation,reverse ash transportation,coal ash integration,continuous reloading,synchronization transportation” of the overall transportation system engineering design plan is put forward to overcome the poor operating environment of the bi-directional transportion system for bulk materials in the alpine region,complex terrain of engineering,high ecological environment protection requirements,forward coal transportation,reverse ash transportation,fly ash and other technology research and engineering design problems.

Key words:alpine region; coal ash; bi-directional transport; continuous reproduction; ecological intelligence

中图分类号:TD94

文献标志码:A

文章编号:0253-2336(2020)09-0209-10

移动扫码阅读

王树民,李志明,刘志江,等.高寒地区煤灰一体双向运输系统关键技术研究[J].煤炭科学技术,2020,48(9):209-217.doi:10.13199/j.cnki.cst.2020.09.027

WANG Shumin,LI Zhiming,LIU Zhijiang,et al.Research on key technologies of coal ash integrated bi-directional transport system in alpine region[J].Coal Science and Technology,2020,48(9):209-217.doi:10.13199/j.cnki.cst.2020.09.027

收稿日期:2020-05-02 责任编辑:赵 瑞

作者简介:王树民(1962—),男,山东东平人,教授级高级工程师,博士。E-mail:16010005@chnenergy.com.cn