我国煤矿岩石与CO2突出机制探讨

霍中刚1,2,3,薛文涛1,2,3,舒龙勇2,3

(1.煤炭科学研究总院,北京 100013;2.煤炭科学技术研究院有限公司 安全分院,北京 100013;3.煤炭科学研究总院 煤炭资源高效开采与洁净利用国家重点实验室,北京 100013)

摘 要:由于煤矿岩石与CO2突出危害严重,但发生频度较煤与瓦斯突出低,导致多年来对岩石与CO2突出机制研究一直不够系统深入。为解决这一问题,在前人研究成果的基础上,分析了我国发生岩石与CO2突出矿区含煤地层的CO2成因,总结了岩石与CO2突出规律和特征,建立了岩石与CO2突出物理模型,剖析了岩石与CO3突出过程、力学环境和能量条件。结果表明:参与突出的CO2均为无机成因型,与岩浆岩活动和煤田自燃热解有关;岩石与CO2突出是地应力、承压气体、突出岩体力学性质等因素综合作用的结果,由于参与突出的气体富集受气源控制,岩石与CO2突出危险区域呈点状或条带状分布;基于煤与瓦斯突出关键结构体致灾理论建立的岩石与CO2突出关键结构体模型与突出现场环境吻合,突出砂岩命名为结构1,对突出砂岩起支撑包裹作用的岩体分别命名为结构2、结构3和结构4;岩石与CO2突出过程经历了准备、启动、发展、终止4个阶段,突出准备阶段包括形成关键结构体直到突出激发完成,突出启动阶段是一个瞬态过程,突出启动与结构1的能量大小有关,只有当结构1积蓄的能量大于突出所需能量,即能量判据Ce≥1时才能成功启动;利用关键结构模型和能量判据能够揭示典型岩石与CO2突出事故的启动机制,为岩石与CO2突出防治提供了依据。

关键词:岩石与CO2突出;突出机制;关键结构体;突出启动;能量条件

0 引 言

岩石与CO2突出(以下简称CO2突出)是煤矿开采过程中发生的一种较特殊的动力灾害,其危害程度不亚于煤与瓦斯突出。国外发生CO2突出最严重的煤矿是位于波兰Lower Silesia煤田的诺瓦鲁达煤矿,该矿仅从1907年到1986年就发生了1 368次突出,共造成477人死亡,捷克、苏联、法国、澳大利亚等国的一些煤矿也发生过CO2突出事故。我国自1975年先后在吉林营城矿区、甘肃窑街矿区、吉林和龙矿区3个矿区发生多次CO2突出事故,共造成近百人伤亡和严重的经济损失。

国内各科研单位针对CO2突出机理的研究和预测防治展开了大量工作,如煤炭科学研究总院抚顺分院提出采用深孔卸压爆破的防突方法[1];王连捷[2]研究了CO2突出的力学机理,对营城矿区地应力场分布进行反演并成功预测了突出危险区域。前人探索得到的宝贵经验为我国煤矿防治CO2突出奠定了基础并取得了一定成效,但此类突出灾害仍时有发生。究其原因:一是之前各突出煤矿CO2富集区地层资料不完善,对CO2突出危险区分布规律掌握不到位;二是国内发生CO2突出次数相对较少,人们对其发生机理仍缺乏深入研究。

岩石与CO2突出和煤与瓦斯突出本质类似,因此从煤与瓦斯突出发生机理的角度探讨CO2突出发生机理是可行的。目前煤与瓦斯突出机理的研究取得了丰硕成果[3-5],而含煤地层CO2富集区成因成藏机制方面的研究也有了长足进步[6-8],为深入研究CO2突出机制提供了丰富的理论基础。笔者对我国突出矿区煤系地层的高含量CO2成因进行了分析研究,对CO2突出的规律和特征进行了总结,基于当前煤与瓦斯突出机理研究的新成果对CO2突出机制进行了研究:建立了CO2突出物理模型,结合突出物理模型对突出过程进行了剖析、对突出的力学环境和能量条件进行了分析,并以营城矿区发生的一起突出事故为例验证了理论的正确性。

1 突出矿区煤系地层CO2成因分析

研究CO2突出机制之前首先要明确发生CO2突出矿区的含煤地层CO2的成因,这对掌握矿井CO2富集区域分布规律和突出危险区域分布规律有重要意义。

地壳表层沉积圈流体中的CO2成因可以按照图1分为无机成因和有机成因两大类[9]。其中岩石化学成因类CO2与气体富集区的碳酸盐类矿物的化学作用有关[10];幔源-岩浆成因类CO2进一步可以分为地幔岩浆脱气类和地壳岩石熔融脱气类,地幔岩浆脱气类CO2与上地幔岩浆活动有关[11]:上地幔的高温高压岩浆岩富含CO2,岩浆岩在沿地壳张性深大断裂上涌过程中发生了脱CO2作用,大量幔源CO2由此到达地壳,地壳岩石熔融脱气类CO2源自中下地壳和消减带上面的岩石重熔生成岩浆时分异脱气产生,当这些岩浆热液侵入碳酸盐地层时,也会产生CO2;有机成因类CO2与地层沉积时含碳有机质的不同化学作用有关,一般都是烃类气体的伴生产物。需要注意的是,当煤层大规模自燃热解时也会产生大量CO2[12],这些CO2在合适的条件下能够被很好地保存下来,形成气藏。

图1 地壳表层CO2气体成因
Fig.1 Origin of CO2 in the crust surface

不同来源的CO2的碳同位素构成与其母源物质的碳同位素构成密切相关,有机碳的同位素比无机碳的同位素要轻,利用δ13CCO2(CO2碳同位素)可有效鉴别地层中的CO2是有机成因还是无机成因。戴金星等[13]根据国内外不同成因的CO2的含量与对应的δ13CCO2值资料编绘了CO2成因鉴别图版,由图2可以看出,CO2分布表现出明显的分区分界性。按成因可以将CO2分为四区三类,有机成因区CO2对应的δ13CCO2值小于-1%,含量小于15%;无机成因区CO2的δ13CCO2值大于-0.8%,含量从0到100%均有分布;δ13CCO2值在-0.8%~-1%的CO2为有机成因和无机成因共存区以及有机无机成因混合区。

图2 CO2成因鉴别图版[13]
Fig.2 Genetic identification map of CO2 [13]

依靠碳同位素能够有效区分有机成因和无机成因CO2,但要鉴别无机成因CO2的来源,需要利用氦同位素进行判断[14]。典型的壳源类流体3He/4He值为2×10-8,幔源类流体3He/4He值为1.1×10-5[15],根据CO2中的氦同位素比值差异可以计算出壳源氦与幔源氦的比例,从而判断无机成因CO2的形成途径。研究人员曾对我国3个CO2突出矿区的具有突出危险性区域的气体样品进行检测,结果见表1。

表1 我国CO2突出矿区CO2含量和同位素检测结果
Table 1 CO2 content and isotope detection results of CO2outburst mining areas in China

矿区φ(CO2)/%δ13CCO2/%营城矿区93.60-0.93窑街矿区96.00-0.419~-0.364和龙矿区79.31~96.69-0.91~-1.02

根据CO2体积分数和δ13CCO2值初步可以判断这3个矿区含煤地层中的CO2成因均为无机成因类,具体气源要结合地质构造背景进一步判断。对营城煤田的地质资料进行详细分析,结合矿井生产资料和现场实地考察结果,认为营城煤田的CO2气体富集主要受控于新生代幔源岩浆活动,侵入含煤地层的辉绿岩为突出提供了良好气源,CO2成因为地幔岩浆脱气型。突出资料表明在和龙煤矿突出点附近也发现了侵入的辉绿岩,辉绿岩控制着该矿突出危险区域的分布,吉林和龙煤矿的CO2成因类型与营城矿区相同,为地幔岩浆脱气型。甘肃窑街矿区的氦同位素测定结果为10-8量级,可以判定其含煤地层中CO2成因与地幔岩浆无关,窑街矿区所在煤田形成以后就没有岩浆活动,排除了地壳岩石熔融脱气的可能性。该煤田自新近纪就大规模自燃形成大面积烧变岩,中国科学院兰州地质研究所测定了CO2的氩同位素值,进行年代累积效应分析研究,结果表明突出气体形成于新近纪至早更新世[12],可以判定窑街矿区突出的CO2源自煤田自燃。CO2气源分布控制着突出危险区域的分布,今后这3个矿区的煤矿在划分突出区域时要充分考虑这一因素。

2 CO2突出规律分析

2.1 CO2突出规律与特征

笔者对我国发生的多起典型CO2突出事故资料进行了分析,总结CO2突出具有以下规律:从地质条件看,CO2突出绝大多数发生在断层附近的地质构造带处;从突出地点来看,突出多数发生在掘进巷道,其中硬岩层(火成岩)揭开软岩层(软砂岩)时最为危险;从诱突因素来看,爆破诱导突出最为常见;从突出前兆来看,多起突出事故在发生前都存在预兆现象,如CO2异常涌出、岩体强度变低等。和煤与瓦斯突出类似,CO2突出受承压气体、突出砂岩物理力学性质以及应力环境的综合作用[16],但由于参与突出物质不同,CO2突出具有以下特征:①营城与和龙2个矿区参与突出的CO2与岩浆岩活动有关,而岩浆岩活动和深断裂构造带有关[17],因此CO2突出危险区的分布和煤田中与深断裂构造带衔接的断层分布密切相关,窑街矿区的突出气体成因虽然和火山活动无关,但突出也多发生在断层附近,所以CO2突出危险区呈条带状或点状分布,在划分CO2突出危险区时不能完全参照煤与瓦斯突出区域的划分方法,需要根据CO2成因和地质条件圈定突出危险区;②CO2突出介质为砂岩,不具备吸附CO2的能力,因此,不同于煤与瓦斯突出过程有解吸瓦斯的参与,CO2突出在正常情况下不受CO2吸附解吸的影响,当然也存在特殊情况,如窑街煤矿某些突出岩层中存在煤线,营城矿区某些砂岩层中有吸附能力很强的胶岭石;③CO2突出后也会形成孔洞,但孔洞方向明显受重力影响,多数孔洞位于巷道顶板位置且方向接近垂直。

2.2 CO2突出的物理模型

建立突出物理模型是研究突出机制的基础和前提。针对现有煤与瓦斯突出机理缺乏与现场工程结合,难以有效指导防突实践的问题[18],舒龙勇对大量突出事故现场环境分析总结,提出了符合突出环境特征的煤与瓦斯突出关键结构体致灾理论[19],并将突出物理模型归纳简化,建立了图3所示的典型煤与瓦斯突出关键结构体模型[20]

图3 煤与瓦斯突出关键结构体模型[20]
Fig.3 Key structural body model of coal and gas outburst[20]

煤与瓦斯突出关键结构体模型将含有原生结构破坏、强度很低且含有高瓦斯的煤体命名为结构1,结构1提供了突出所需的物质和能量;将对结构体1前方对其起支撑包裹作用的不具有突出危险性的煤体或岩体称为结构2,结构2的存在使得结构1中的气体和能量得以积聚,当结构2失稳破坏时提供了突出激发所需的能量;将结构1上下方的顶底板或不具有突出危险性的煤体命名为结构3和结构4,结构3和结构4也能够起到积蓄气体的作用,某些条件下结构3的突然破断还会使结构2的受力突变,进而引发突出。

对CO2突出点及邻近位置的工程环境进行分析:参与CO2突出的基本介质为强度较低的软砂岩体,砂岩中赋存有大量高压CO2气体,和煤与瓦斯突出关键结构体中的结构1属性相似;CO2突出大多发生在由火成岩揭露软岩过程中,火成岩渗透率低且强度很高,能够很好地起到积聚气体的作用,同时为软砂岩提供了支撑包裹,符合结构2的属性和定义;处于软砂岩和硬火成岩的上下层位的岩体为结构3和结构4,在漫长的地质演化过程中使CO2保存在含煤地层中,结构3的失稳破坏也能引起突出,例如1977年2月3日发生在窑街三矿的突出就是由于冒顶引起的。分析发现CO2突出的工程环境也符合关键结构体模型。现场证据表明,对于任意一次岩石与CO2突出,都存在着类似图3的关键结构体。虽然实际生产过程中构成关键结构体的各结构会以不同的组合方式出现,突出现象有所区别,但每次发生突出时基本结构要素是一致的。

2.3 CO2突出过程剖析

在突出关键结构体致灾机制研究成果的基础上,基于CO2突出关键结构体物理模型,对CO2突出过程进行剖析。整个突出过程分为准备、启动、发展、终止4个主要阶段,突出准备阶段作为一个漫长的过程,开始于岩浆岩沿断层侵入含煤地层,充足的CO2、复杂的地应力环境以及利于CO2保存和突出启动的地质结构环境(关键地质结构体)均是在突出准备阶段形成的;和以往认为的突出激发等同于突出启动不同,根据关键结构体理论,突出激发也属于突出准备阶段,突出发生前出现的预兆多为结构2失稳破坏的表现,并不能代表突出一定会启动,突出能否成功启动取决于结构1的受力状态和能量大小;放炮等外界扰动导致结构体2失稳破坏,结构1暴露失稳,突出进入启动阶段;从突出启动后到突出终止前所经历的过程都属于突出发展阶段,其间可能会因为突出孔洞中突出物质堆积堵塞以及能量衰减出现突出减缓、突出暂停的现象,随着突出结构体形成,能量重新积聚,突出会再次激发、启动直到突出环境不再具备突出所需的力学和能量条件才会完全结束。

2.4 CO2突出力学条件分析

根据上节分析,CO2突出能否成功启动取决于结构1的受力状态和能量大小,笔者对构成结构1的砂岩力学性质和其所处的力学环境进行分析,进一步探究CO2突出过程。

表2为突出点附近巷道岩石的硬度系数,由表2可知邻近突出位置的砂岩和火成岩硬度系数均有所下降,砂岩由中等坚固的砂岩变为软岩,与正常砂岩相比承受荷载的能力大幅降低。砂岩力学性质变化主要受构造应力和CO2作用。文献[2]对营城煤矿九井发生突出位置所在的断层附近应力进行了测定,结果表明最大主应力接近水平分布,是最小主应力的3~5倍。断层附近砂岩在水平构造应力作用下受到挤压或剪切碾磨,形成岩体软分层,强度降低。CO2的存在能够进一步降低砂岩的力学性能,砂岩对CO2没有吸附性[21],CO2以游离形式赋存在砂岩孔隙中,根据太沙基有效应力原理,砂岩孔隙中的CO2压力越高,砂岩受到的有效围压越小,有效围压的下降不利于砂岩承受荷载。

表2 突出位置附近火成岩和砂岩硬度情况
Table 2 Hardness of igneous rock and sandstone near outburst

岩性不同位置的岩石硬度系数正常邻近突出点突出后状态火成岩8.0~9.07.0~8.0—砂岩3.0~3.5≤1.0呈碎粉状

CO2突出过程如图4所示,当掘进工作面接近岩体软硬变化带时,工作面前方岩体形成关键结构体。工作面前方采动应力明显升高[22],采动应力和构造应力进一步叠加,在掘进工作面前方形成应力集中区,软砂岩(结构1)受到的应力明显升高。当结构1前方的正常岩体(结构2)在爆破作用下破坏失稳后,结构1失去支撑,由三向受力变为单向拉伸状态,同时CO2压力梯度瞬间增大,在地应力和气压梯度共同作用下结构1迅速破坏,积蓄在砂岩和CO2中的能量急速释放,发生突出。由于结构1中的CO2只有游离态,气压梯度随CO2的逸散而迅速下降,突出难以向深部发展。

图4 岩石与CO2突出过程示意
Fig.4 Diagram of rock and carbon dioxide outburst process

2.5 CO2突出启动能量条件

从能量角度分析煤岩动力灾害是分析灾变机制的重要途经,突出能否成功启动取决于结构1的能量大小。CO2突出启动时,能量来源和耗散关系可表示为

Ee+Ei+EgWc+We+Wo

(1)

式中:Ee为砂岩中积蓄的弹性能,J;Ei为CO2膨胀能,J;Eg为砂岩的重力势能,J;Wc为砂岩粉碎功,J;We为砂岩抛出功,J;Wo为突出过程中发声发热等能量耗散,J。

前人研究表明[23],地应力对岩体作用产生的能量以塑性能和弹性能的形式存在,只有弹性变形能可以对外做功,单位体积砂岩中积蓄的弹性能ee[24]

(2)

式中:E为砂岩体弹性模量,MPa;μ为砂岩泊松比;σ1σ2σ3为砂岩3个方向有效主应力,MPa。

体积为V的砂岩中积蓄的弹性能为

Ee=Vee

(3)

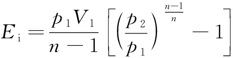
CO2膨胀能[25]

(4)

式中:V1为参与突出的气体体积,L;p1为突出后CO2压力,MPa;p2为突出前CO2压力,MPa;n为多变过程指数,CO2对应n值为1.4。

设巷道底面为零势能点,体积为V的砂岩的重力势能为

Eg=ρsgHV

(5)

式中:ρs为突出砂岩密度,kg/m3g为重力加速度,m/s2H为顶板距巷道底面高度,m。

砂岩粉碎功主要为岩体粉碎后新增加表面积耗损的表面能,在构造应力以及采掘过程中产生的集中应力作用下砂岩已经被粉碎破坏,突出启动时新增比表面积较小。砂岩粉碎功可按下式计算[26]

Wc=Sϑ

(6)

式中:S为新增表面积,mm2;ϑ为单位表面能,J/mm2

砂岩在巷道中的抛出功按下式计算[27]

(7)

式中:L为砂岩抛出距离,m;m为抛出砂岩质量,kg;fm为摩擦因子;β为巷道倾角,(°)。

由于突出过程中的声能和热能等损耗较少,Wo可以忽略不计。引入启动能量判据Ce

(8)

Ce≥1时,突出成功启动。

3 营城煤矿CO2突出分析

1985年11月29日,营城煤矿九井在掘进布置在煤层底板砂岩中的西南回风巷时,放炮引发了一次CO2突出。西南回风巷位于井田边界F2大断层和F3断层的东侧,褶曲、断裂构造十分复杂,突出地点垂直深度为473 m。由于火成岩侵入,巷道掘进前方岩层情况复杂,先后穿过砂岩、流纹岩、凝灰岩、安山岩等。当巷道进入辉绿岩10多米后,在继续放炮掘进时发生了突出,共突出砂岩750 t,6 h涌出CO2达39 630 m3。突出现场剖面如图5所示。结合突出关键结构体致灾理论,对此事故进行分析。

图5 营城煤矿岩石与CO2突出现场剖面示意
Fig.5 Profile diagram of rock and carbon dioxide outbursts in Yingcheng Mine

井田边界的F2大断层与郯庐断裂带相衔接,为幔源岩浆向上运移至含煤地层提供了通道;突出地点附近侵入的辉绿岩提供了充足的气源;地层中砂岩层和煤层渗透性好、孔隙率高,为CO2提供了良好的储集条件;在含煤地层顶部发育的低渗泥岩层,作为良好盖层阻断了岩浆岩析出的CO2向上逸散,只能向下运移赋存在砂岩层和煤层中,突出点附近具备CO2大量聚集所需的生、运、储、聚条件,为本次突出提供了前提条件。

掘进工作面上下为顶底板,工作面前方为质地坚硬的火成岩,火成岩包裹着具有突出危险性的软砂岩,软砂岩中赋存有含量极高的CO2,整体符合关键结构体模型,软砂岩为结构1,火成岩为结构2,巷道顶底板为结构3和结构4。受爆破深揭作用,工作面前方的辉绿岩失稳破坏,软砂岩的受力平衡被打破,在应力作用和气压梯度作用下迅速破坏,同时大量气体夹带砂岩急速向前方工作面涌出,发生突出。在重力作用下,突出孔洞向垂直方向发展,因此图5中的CO2突出孔洞呈垂直态。

对突出启动时的能量条件进行分析。根据文献[2],突出点附近实测地应力为:σ1=24 MPa、σ2=8.8 MPa、σ3=8.7 MPa,砂岩的弹性模量为17 GPa,泊松比为0.18,则突出的砂岩具有弹性能为4.9 MJ;根据文献[2],发生突出时CO2压力可达3.1~3.6 MPa,假设突出时岩层中的CO2压力为3.5 MPa,突出后CO2压力与大气压相等,则此次突出的CO2气体膨胀能达17 453.1 MJ,突出所需能量主要由气体膨胀能提供;西南回风巷顶板距底板高度约为10 m,则突出砂岩具有重力势能为73.5 MJ;根据拍摄的现场照片,距突出点60 m处仍可见零星的块状砂岩,距突出点114.5 m的矿车上黏附有突出粉尘,则砂岩抛出功为7 700.0 MJ;文献[25]指出突出时煤岩体破碎比功为0.001 55 J/cm2,新增比表面积为8 cm2/g,则砂岩粉碎功为9.3 MJ。计算突出启动能量判据Ce=2.27>1,结果证明掘进工作面前方具有突出危险性,突出能够成功启动,验证了启动能量判据的正确性。

4 结 论

1)通过CO2的体积分数和同位素值并结合地质资料可以确定CO2成因,我国3个CO2突出矿区的突出气体均为无机成因类,吉林营城矿区和吉林和龙矿区的CO2为地幔岩浆脱气型,气源为侵入煤田的辉绿岩,甘肃窑街矿区突出的CO2与煤田自燃热解有关。

2)CO2突出受地应力、气体、突出岩体力学性质的综合作用,具有以下特征:CO2突出危险区域分布受断层控制明显,与气源关系密切,突出危险区呈点状或带状分布;突出过程不受CO2吸附解吸影响;受重力影响突出孔洞呈垂直分布。

3)CO2突出关键结构体物理模型能够很好地描述工程环境的结构特征:赋存大量CO2,具有突出危险的软砂岩为结构1,在结构1前方起支撑包裹作用的低渗硬岩体为结构2,结构1和结构2的上下顶底板层为结构3和结构4,关键结构体是突出的必需条件。

4)CO2突出包括准备、启动、发展、终止4个阶段,突出准备阶段从地质构造运动形成关键结构体开始,直到结构2破坏失稳完成对突出的激发为止,突出启动是结构1暴露失稳这一突变点,突出发展过程中可能出现突出中止的现象,当重新形成关键结构体后突出又会继续,直到能量耗散完毕才会完全终止。结构1的力学环境和能量状态决定了突出能否成功启动。结合营城煤矿发生的典型CO2突出案例证明突出关键结构体致灾理论能够解释突出过程,能量判据Ce能够揭示突出能否成功启动,为突出防治提供了依据。

参考文献(References):

[1] 邢昭芳,郑福良,阎永利.岩石与CO2突出的防治措施[J].煤矿安全,1993,24(2):10-15.

XING Zhaofang, ZHENG Fuliang, YAN Yongli. Prevention measures of rock and carbon dioxide outburst[J]. Safety in Coal Mines,1993,24(2):10-15.

[2] 王连捷.营城煤矿地应力与CO2突出灾害的研究[C]//地应立场测试及其应用论文集:中国岩石力学与工程学会,1991:124-132.

[3] 李希建,林柏泉.煤与瓦斯突出机理研究现状及分析[J].煤田地质与勘探,2010,38(1):7-13.

LI Xijian, LIN Baiquan. Status of research and analysis on coal and gas outburst mechanism[J]. Coal Geology & Exploration, 2010,38(1):7-13.

[4] 窦林名,何学秋,REN Ting,等.动静载叠加诱发煤岩瓦斯动力灾害原理及防治技术[J].中国矿业大学学报,2018,47(1):48-59.

DOU Linming, HE Xueqiu, REN Ting,et al. Mechanism of coal-gas dynamic disasters caused by the superposition of static and dynamic loads and its control technology[J]. Journal of China University of Mining & Technology, 2018, 47(1):48-59.

[5] 董复文.岩石与CO2突出的特殊性及防治方法[J].矿业安全与环保,1988,15(1):25-27,37.

DONG Fuwen. Particularity of rock and carbon dioxide outburst and its prevention[J].Mining Safety & Environmental Protection,1988,15(1):25-27,37.

[6] 刘万洙,王璞珺,门广田, 等.松辽盆地北部深层火山岩储层特征[J].石油与天然气地质, 2003,24(1):28-31.

LIU Wanzhu, WANG Pujun, MEN Guangtian,et al. Characteristics of deep volcanic reservoirs in Northern Songliao Basin[J]. Oil & Gas Geology, 2003,24(1):28-31.

[7] 周 翔.松辽盆地北部营城组火山岩地球化学特征及地质意义[J].吉林大学学报 (地球科学版), 2019, 49(4):1001-1014.

ZHOU Xiang. Geochemistry and tectonic implication of volcanic rocks of Yingcheng formation in Northern Songliao Basin[J]. Journal of Jilin University (Earth Science Edition), 2019,49(4):1001-1014.

[8] 赵文智,邹才能,冯志强,等.松辽盆地深层火山岩气藏地质特征及评价技术[J].石油勘探与开发,2008, 35(2):129-142.

ZHAO Wenzhi, ZOU Caineng, FENG Zhiqiang,et al. Geological features and evaluation techniques of deep-seated volcanic gas reservoirs in Songliao Basin [J]. Petroleum Exploration and Development,2008,35(2):129-142.

[9] 徐新德,张迎朝,熊小峰,等.南海北部莺—琼盆地CO2成因与成藏特征及其分布规律[J].海洋地质前沿,2017,33(7):45-54.

[10] 戴金星, 宋 岩,洪 峰, 等. 中国东部无机成因的CO2气藏及其特征[J]. 中国海上油气·地质,1994, 8(4):3-10.

DAI Jinxing, SONG Yan, HONG Feng,et al. Inorganic genetic carbon dioxide gas accumulations and their characteri-stics in East of China[J]. China Offshore Oil and Gas·Geology,1994,8(4):3-10.

[11] 李 飞.松辽盆地营城组火山岩地层和构造控制[D].长春:吉林大学,2012.

[12] 陶明信,陈发源,马玉贞.甘肃窑街煤矿二氧化碳突出及防治[J].自然灾害学报,1994,3(3):85-89.

TAO Mingxin, CHEN Fayuan, MA Yuzhen. Carbon dioxide outburst and its prevention in Yaojie Coal Mine of Gansu Province[J]. Journal of Natural Disasters,1994,3(3):85-89.

[13] 戴金星, 裴锡古, 戚厚发.中国天然气地质学:卷一[M].北京:石油工业出版社,1992:48.

[14] 付晓飞,宋 岩.松辽盆地无机成因气及气源模式[J].石油学报,2005,16(4):23-28.

FU Xiaofei, SONG Yan. Inorganic gas and its resource in Songliao Basin[J]. Acta Petrolei Sinica, 2005, 16(4):23-28.

[15] LUPTON J E. Terrestrial inert gases: Isotope tracer studies and clues to prioridial components in the mantle[J]. Annu Rev Earth Planet Sci,1983,11:371-414.

[16] 唐 俊, 蒋承林, 李晓伟, 等. 煤与瓦斯突出机理与突出预测的关系及研究进展[J]. 煤矿安全, 2016,47(4):186-190.

TANG Jun, JIANG Chenglin, LI Xiaowei,et al. Relationship and research progress of coal and gas outburst mechanism and outburst prediction[J]. Safety in Coal Mines, 2016,47(4):186-190.

[17] 张子敏.我国煤岩与CO2突出的情况及地质原因[J].焦作矿业学院学报,1992,12(3):45-49.

ZHANG Zimin. The situation and geological reasons of coal-rock and carbon dioxide burst in China[J]. Journal of Henan Polytechnic University (Natural Science), 1992,12(3):45-49.

[18] 舒龙勇,齐庆新,王 凯,等.煤矿深部开采卸荷消能与煤岩介质属性改造协同防突机理[J].煤炭学报,2018, 43(11):3023-3032.

SHU Longyong, QI Qingxin,WANG Kai,et al. Coordinated prevention mechanism of pressure-relief and coal and rock properties modification for coal and gas outburst in deep mining of coal mines[J]. Journal of China Coal Society, 2018,43(11):3023-3032.

[19] 舒龙勇,王 凯,齐庆新,等.煤巷掘进面应力场演化特征及突出危险性评价模型[J].采矿与安全工程学报, 2017,34(2):259-267.

SHU Longyong, WANG Kai, QI Qingxin,et al. Stress field evolution characteristics and coal-gas outburst hazard evaluation model of the heading face in coal roadway[J]. Journal of Mining & Safety Engineering, 2017,34(2):259-267.

[20] 舒龙勇, 王 凯, 齐庆新, 等. 煤与瓦斯突出关键结构体致灾机制[J]. 岩石力学与工程学报, 2017, 36 (2):347-356.

SHU Longyong, WANG Kai, QI Qingxin,et al. Key structural body theory of coal and gas outburst[J]. Chinese Journal of Rock Mechanics and Engineering, 2017,36(2):347-356.

[21] 郭臣业,鲜学福,李晓红,等.重力场条件下砂岩突出倾向性[J].北京科技大学学报, 2009, 31(12): 1487-1491,1502.

GUO Chenye,XIAN Xuefu, LI Xiaohong,et al. Outburst orientation of sandstone under gravitational field [J]. Chinese Journal of Engineering, 2009, 31(12):1487-1491,1502.

[22] 鲜学福, 许 江, 王宏图. 煤与瓦斯突出潜在危险区(带)预测[J].中国工程科学, 2001,3(2):39-46,51.

XIAN Xuefu, XU Jiang, WANG Hongtu. Predication of potential danger region (zone) of coal and gas outburst[J].Strategic Study of CAE, 2001,3(2):39-46,51.

[23] 熊阳涛,黄 滚,罗甲渊,等.煤与瓦斯突出能量耗散理论分析与试验研究[J].岩石力学与工程学报,2015, 34(S2):3694-3702.

XIONG Yangtao, HUANG Gung, LUO Jiayuan,et al. Theoretical analysis and experimental study of energy dissipation of coal and gas outburst[J]. Chinese Journal of Rock Mechanics and Engineering, 2015, 34(S2):3694-3702.

[24] 安丰华.煤与瓦斯突出失稳蕴育过程及数值模拟研究[D].徐州:中国矿业大学,2014.

[25] 罗甲渊.煤与瓦斯突出的能量源及能量耗散机理研究[D].重庆:重庆大学,2016.

[26] 魏风清,史广山,张铁岗.基于瓦斯膨胀能的煤与瓦斯突出预测指标研究[J]. 煤炭学报, 2010,35(S1):95-99.

WEI Fengqing, SHI Guangshan, ZHANG Tiegang. Study on coal and gas outburst prediction indexes base on gas expansion energy[J].Journal of China Coal Society, 2010,35(S1):95-99.

[27] 舒龙勇.煤与瓦斯突出的关键结构体致灾机制[D].北京:中国矿业大学(北京),2019.

Exploration on outburst mechanism of rock and carbon dioxide in coal mines of China

HUO Zhonggang1,2,3, XUE Wentao1,2,3, SHU Longyong2,3

(1.China Coal Research InstituteBeijing 100013,China;2.Mine Safety Technology BranchChina Coal Research InstituteBeijing 100013,China;3.State Key Laboratory of Coal Mining and Clean UtilizationChina Coal Research InstituteBeijing 100013,China)

Abstract:As the frequency of rock and CO2 outburst is lower than that of coal and gas outburst, although the hazards of rock and CO2 outburst are serious, the research on the mechanism of rock and CO2 outburst has not been systematic and in-depth for many years.In order to solve this problem,based on the previous research results, the CO2 genesis of the rock and coal-measure strata in the mining areas where CO2 outburst occurred in China was analyzed. Then, the characteristics of rock and CO2 outburst were summarized.The physical model of CO2 outburst was established, the process, mechanical environment and energy condition of CO2 outburst were also analyzed in this paper. The results show that the CO2 gas involved in the outburst is of inorganic origin, which is related to magmatic rock activity and coal field spontaneous combustion and pyrolysis, CO2 outburst is the result of combined effect of factors such as in-situ stress, confined gas and mechanical properties of outburst rock mass.The gas enrichment is controlled by the gas source, and the CO2 outburst danger area is distributed in dots or strips. The key structure model based on the disaster theory of coal and gas outburst key structure is consistent with the outburst site environment. The sandstone is named for Structure 1, and the rock mass supporting and wrapping the outburst sandstone is named as Structure 2, Structure 3 and Structure 4 respectively. The CO2 outburst process has gone through four stages:preparation, start-up, development and termination, and the preparation stage includes the formation of key structures until the outburst excitation is completed. The outburst start-up stage is a transient process from structure to outburst excitation. The outburst start-up is related to the energy of structure 1. Only when the accumulated energy of structure 1 is greater than the energy required for outburst, that is, the energy criterion Ce ≥ 1, can be successful started. The key structure model and energy criterion can reveal theinitiationmechanism of typical CO2 outburst accidents and provide a basis for outburst prevention and control

Key words:rock and CO2 outburst;outburst mechanism;key structure;outburst start;energy conditions

中图分类号:TD713

文献标志码:A

文章编号:0253-2336(2021)01-0155-07

移动扫码阅读

霍中刚,薛文涛,舒龙勇.我国煤矿岩石与CO2突出机制探讨[J].煤炭科学技术,2021,49(1):155-161.doi:10.13199/j.cnki.cst.2021.01.010

HUO Zhonggang, XUE Wentao, SHU Longyong.Exploration on outburst mechanism of rock and carbon dioxide in coal mines of China[J].Coal Science and Technology,2021,49(1):155-161.doi:10.13199/j.cnki.cst.2021.01.010

收稿日期:2020-10-23

责任编辑:王晓珍

基金项目:国家自然科学基金资助项目(51704164)

作者简介:霍中刚(1968—),男,吉林长春人,研究员。

通讯作者:薛文涛(1996—),男,山西大同人,硕士研究生。E-mail:1452689877@qq.com