
移动扫码阅读
宽沟煤矿自2012年在B4煤层综采工作面首次发生冲击地压显现事故以后,随着采深增加,综采工作面附近围岩应力集中程度逐步增强,尤其在沿空煤柱留设(简称区段煤柱)区域显现最为明显,形成高应力煤柱区。为了解决区段煤柱产生的应力集中现象,目前较为有效的方法是煤柱卸压,通过爆破、水力压裂等手段切断煤柱内部或外部的应力传播途径,阻碍上覆岩层的应力传递并提前释放煤柱内部的集聚能量,从而达到卸除煤柱集聚载荷的目的[1]。国内外学者对煤柱留设及卸荷开展了较为深入的研究。祁和刚等[1]通过研究发现葫芦素2-1煤留设的30 m区段煤柱在侧向支承压力作用下对底板岩层的影响较大,其承压破坏带覆盖整个巷道底板范围,并提出了高位“钻、切、压”一体化技术切断覆岩应力传递,低位煤层小孔径爆破技术释放煤柱内的集聚载荷的高应力区段煤柱综合卸荷技术;王志强等[2]针对华丰煤矿冲击地压发生的影响因素研究,提出了负煤柱开采保护层的防冲新方法;尉瑞等[3]通过现场原位测试方法得出了浅埋综放沿空小煤柱巷道矿压显现规律;张明等[4]揭示了厚硬岩层运动和煤柱应力演化之间的关系及其组成系统失稳规律,提出了采场“厚硬岩层-煤柱”结构模型;张震等[5]利用高频电磁波CT技术建立了基于电磁波衰减特征参数指标的煤柱稳定性评价方法;孙福玉[6]、王福军[7]、李慎锋等[8]通过对区段煤柱应力分布情况进行分析研究,并提出了综合防治技术,进一步丰富了区段煤柱应力防治技术体系。但目前针对区段煤柱的冲击地压防治研究主要针对煤柱留设和单项卸压工程的参数设定等方面,针对性开展倾斜煤层上行开采条件下的区段煤柱侧的应力分布研究较少,特别是区段煤柱附近综合解压工程研究仍缺乏,因此,笔者通过对宽沟煤矿区段煤柱应力分布规律进行研究,结合研究结果开展煤柱侧煤体爆破与大直径钻孔卸压相结合的工程措施,来解决区段煤柱侧应力集中问题,同时对同类型矿井煤柱侧卸压解危具有一定的参考意义。
神华新疆能源有限责任公司宽沟煤矿位于呼图壁县城西南70 km处,行政区划隶属新疆维吾尔族自治区昌吉回族自治州呼图壁县雀尔沟镇管辖。矿区主要可采煤层自下而上分别为B0、B1、B2、B3、B4-1、B4-1下、B4-2煤层,现开采煤层为B2煤层,B2煤层平均厚度为9.5 m,倾角平均为14°,属于倾斜特厚煤层。B2煤层采用东西双翼开采方式,单翼各布置2个综采放顶煤工作面,目前生产工作面为西翼I010203 工作面,西翼I010203工作面与下部已回采完毕的西翼I010201工作面由宽15 m区段煤柱隔开。西翼I010203工作面采用走向长壁综采放顶煤工艺,后退式回采,倾斜长度192 m,可采走向长度1 470 m,采高3.2 m,放煤厚度6.3 m,具体如图1所示。

图1 I010203工作面分布
Fig.1 Distribution of I010203 working face
宽沟煤矿B2煤层试样的动态破坏时间(DT)测试平均值为254 ms,大于50 ms,小于500 ms,按GB/T 25217.2—2010规定应为弱冲击倾向性;冲击能量指数(KE)的测试平均值为3.20,按GB/T 25217.2—2010规定应为弱冲击倾向性;弹性能量指数(WET)的测试平均值为4.09,按GB/T 25217.2—2010规定应为弱冲击倾向性。单轴抗压强度(Rc)的测试平均值为24.14,按GB/T 25217.2—2010规定应为强冲击倾向性。通过对煤层4个冲击倾向性指数进行模糊计算,得出DT和Rc的隶属度为0.3,WET和KE的隶属度各为0.2,综合判定B2煤层属于Ⅱ类,为具有弱冲击倾向性的煤层。
通过测定,B2煤层顶板弯曲能量指数为177.67 kJ,按GB/T 25217—2010规定应属Ⅲ类,为具有强冲击倾向性的顶板岩层;煤层底板弯曲能量指数为26.82 kJ,按GB/T 25217.1—2010规定应属Ⅱ类,为具有弱冲击倾向性的底板岩层。
通过对安装在西翼I010203工作面进风巷上帮KJ21煤体应力监测数据分析,来研究工作面超前支承压力影响范围,具体如图2所示,认为西翼I010203工作面采动影响范围为超前工作面80.6~110.6 m,显著影响范围为超前工作面50 m范围内,为此确定预卸压范围为超前工作面50~120 m。

图2 进风巷上帮侧煤体应力监测结果
Fig.2 Stress monitoring results of upper side in air inlet roaduay
按不同安装深度的煤体应力计进行无量纲处理,即把实际的应力值除安装初始应力值,得到不同煤柱深度应力曲线如图3所示。通过对不同深度应力曲线分析,认为煤层侧浅部应力高于深部应力,距离工作面越远,浅部容易产生应力集中,靠近工作面的过程,浅部应力集中程度升高,实测在4.5 m位置的煤体应力集中程度最高。

图3 进风巷上帮煤体不同深度应力监测结果
Fig.3 Stress monitoring results of different depths of upper side in air inlet roadway
煤柱侧煤体应力演化过程,根据安装在进风巷下帮KJ21煤体应力监测子系统监测数据分析结果进行分析,如图4所示,认为西翼I010203工作面区段煤柱受采动影响范围为超前工作面80 m内,显著影响范围为超前工作面60 m内,因此,确定预卸压范围为超前工作面60~80 m。

图4 进风巷下帮侧应力监测结果
Fig.4 Stress monitoring results of lower side of section air inlet roadway
按不同安装深度的煤体应力计进行无量纲处理,把实际的应力除安装初始应力,得到不同煤柱深度应力曲线如图5所示。通过对不同深度应力曲线分析,认为随工作面推进,煤柱侧深部应力集中程度增加,且应力集中区不低于9 m,可能应力峰值处于更深的位置。

图5 区段煤柱侧向应力监测结果
Fig.5 Monitoring results of lateral stress of reserved coal pillars
通过对西翼I010203工作面矿震引起变形显现的区域进行统计,工作面进风巷显现占比90.9%,工作面回风巷及中巷显现占比9.1%,同时进风巷巷道的下帮(区段煤柱侧)显现严重程度明显强于上帮,呈现出明显的区段煤柱为中心的应力集中区。为消除区段煤柱区集聚的应力,分别在西翼I010203工作面施工大直径钻孔及煤体爆破孔进行超前爆破卸压。
冲击地压的致灾机理能量论认为造成冲击地压灾害显现的主要根源在于煤岩体本身中积聚的弹性能,受到采动扰动等因素的影响下造成弹性能的集中释放,产生破坏。煤层爆破卸压是用爆破的方法减缓其应力集中和能量积聚程度,达到卸压解危的目的。煤体爆破卸压能有效消除冲击地压发生的强度条件和能量条件,煤岩体强度和能量弱化后,围岩的应力峰区发生扩散或者向煤岩体深部转移,降低了工作面或者巷道附近应力集中程度,根据现场实测,煤体爆破中加大装药加量能释放更大的的爆破能,人为地超前诱发冲击地压发生, 使冲击地压发生在适合的时间和地点发生,避免更大的冲击危险[9]。
根据相关研究[10-11],西翼I010203工作面回风巷上帮采取煤体爆破方法对I010201工作面侧向应力进行超前卸压,钻孔参数为:孔径42 mm,孔长10 m,装药长度5 m,孔间距为5 m,垂直煤壁施工,钻孔仰角14°,正向不耦合装药,单孔单次爆破,炸药采用矿用三级许可乳胶基质炸药,黄土封泥封孔,超前工作面50 m爆破,提前释放工作面浅部集中区集聚的应力,具体如图6所示。

图6 煤体爆破孔施工图
Fig.6 Working drawing of coal blasting hole
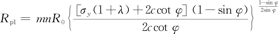
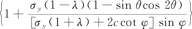
结合相关研究结论[12],卸压钻孔由外向内可分为弹性区、塑性区及破裂区 3 类,钻孔卸压通过改变钻孔附近的围岩体属性来降低围岩应力集中程度,卸压钻孔施工后,钻孔周围形成塑性区,降低围岩应力。当卸压钻孔的孔间距位于钻孔应力叠加区时,存在轻度应力集中,当应力叠加值超过煤体极限强度时,卸压钻孔间煤体发生破坏,释放煤体内部积聚的应力及能量,以达到防治冲击地压的目的[13]。李云鹏等[14]根据钻孔坍塌前后煤体体积不变原则,得出了卸压钻孔塑性区半径的计算公式为
×![]()
(1)
式中:σy为垂直应力,MPa;R0为卸压钻孔半径,m;Rp1为最终破裂区半径,m;λ为侧压系数;c为煤体黏聚力,MPa;φ为煤体内摩擦角,(°);θ为环向角度,(°);m为最终破裂区半径与卸压钻孔关联参数,通常取值1.73~2.44;n为修正系数,通常取1.5~2.5[15]。
按照公式(1)对孔径133 mm卸压钻孔的塑性区半径进行了计算,相关参数通过煤层地质报告以及力学参数测定报告得出,具体详见表1。
表1 西翼I010203 工作面地质力学参数
Table 1 Mechanical parameters of I010203 working face
抗压强度/MPa修正系数弹性模量/GPa垂直应力/MPa内摩擦角/(°)黏聚力/MPa环向角度/(°)侧压系数碎胀系数2.211.5~2.54.938.6728.864.4450.321.4
通过计算,钻孔直径133 mm卸压钻孔的塑形区半径为0.22~0.52 m。由于计算过程中卸压钻孔中塌孔仅增加煤体中的裂隙,而原裂隙区的半径不再增大,导致卸压钻孔塑性区半径数值相对保守。同时参考相关研究[16-18],将区段煤柱侧大直径钻孔塑性区半径选定为0.5 m,钻孔的参数为:钻孔间距1 m,孔径133 mm,孔长9 m,卸压孔施工位置超前工作面120 m,具体如图7所示。

图7 煤体卸压孔施工图
Fig.7 Working drawing of large diameter boreholes
根据研究[19-20],PASAT-M探测技术能实现煤岩体工程效果的有效验证。I010203工作面1 398~1 200 m区域回采前采用PASAT探测划定了6个冲击危险区域,其中位于进风巷存在2处危险区域,分别为:位于进风巷1 270~1 220 m(区域1)和进风巷1 336~1 300 m(区域2),具体如图8a所示。PASAT去图危险程度见表2。针对进风巷存在的两处冲击危险区域,采用了42 mm孔径的煤体爆破卸压,钻孔参数按照本研究确定的参数执行,爆破后对进风巷冲击危险区域进行了PASAT探测验证,具体如图8b所示。通过卸压前后PASAT探测结果对比,认为煤体爆破孔卸压效果较为明显,能起到降低煤体应力的效果,设计的爆破参数能够满足进风巷浅部应力卸压要求。
表2 PASAT云图危险程度参数
Table 2 Hazard level parameter table of PASAT

危险程度参数冲击危险程度<0.25无0.25~0.5弱0.5~0.75中等≥0.75强

图8 爆破卸压前后PASAT探测分布
Fig.8 Cloud map of PASAT detection before and after blasting
煤体大直径钻孔卸压工程验证采用对卸压孔施工前后围岩应力变化程度来进行验证,通过安装在进风巷下帮(区段煤柱侧)1 265 m的应力监测系统监测数据分析,具体如图9所示。随着工作面的推进,区段煤柱侧应力逐渐增加,当工作面回采至4月11日,至石门1 300 m处开始施工大直径钻孔,但日推进度由之前的1.6 m提高至2.4 m,期间由于卸压孔的施工对区段煤柱侧的应力产生的一定程度的影

图9 煤体卸压与应力变化关系
Fig.9 Relation between pressure relief and stress variation
响,但由于开采强度增加造成采动扰动加剧,造成区段煤柱侧应力仍然呈现一定程度的增长态势。当卸压孔施工至4月22日(走向1 277 m)时,区段煤柱侧应力呈现急剧下降态势,充分表明大直径钻孔卸压孔能有效降低围岩应力,但卸压孔施工至一定数量、形成一定的卸压面才能达到降低围岩应力的作用。
1)通过对进风巷上帮安装的煤体应力监测数据统计分析,认为西翼I010203工作面采动影响范围为超前工作面80.6~110.6 m,显著影响范围为超前工作面50 m内,为此确定预卸压范围为超前工作面50~120 m。煤层侧浅部应力高于深部应力,4.5 m位置的煤体应力集中程度最高;距离工作面越远,浅部容易产生应力集中,靠近工作面的过程,浅部应力集中程度升高。
2)区段煤柱侧的应力呈现如下变化:西翼I010203工作面区段煤柱受采动影响范围为超前工作面80 m范围内,显著影响范围为超前工作面60 m内,为此确定预卸压范围为超前工作面60~80 m。煤柱侧深部应力集中程度随工作面推进而增加,且应力集中区位于9 m以上的深部位置。
3)煤体爆破卸压前后PASAT探测能量分布云图对比结果验证了煤体爆破能实现预期卸压目的。卸压孔施工前后应力监测结果充分表明大直径钻孔能有效降低围岩应力,但卸压孔施工至一定数量、形成一定的卸压面才能达到降低围岩应力的作用。
[1] 祁和刚,于健浩.深部高应力区段煤柱留设合理性及综合卸荷技术[J].煤炭学报,2018,43(12):3258-3263.
QI Hegang, YU Jianhao.Rationality and comprehensive unloading technology of deep high stress section coal pillars[J].Journal of China Coal Society,2018, 43(12): 3258-3263.
[2] 王志强,乔建永,武 超,等.基于负煤柱巷道布置的煤矿冲击地压防治技术研究[J].煤炭科学技术,2019,47(1):69-77.
WANG Zhiqiang, QIAO Jianyong, WU Chao, et al.Study on minerock burst prevention and control technology based on gateway layout with negative coal pillars[J].Coal Science and Technology,2019,47(1):69-77.
[3] 尉 瑞,杨文帅,郭彦军,等.浅埋综放沿空小煤柱巷道矿压显现规律研究[J].煤炭科学技术,2018,46(S2):57-59.
YU Rui, YANG Wenshuai, GUO Yanjun,et al. Study on strata behavior regularity of gob-side entry with small coal pillar in fully-mechanized caving face with shallow depth[J]. Coal Science and Technology,2018, 46(S2):57-59.
[4] 张 明,成云海,王磊,等.浅埋复采工作面厚硬岩层-煤柱结构模型及其稳定性研究[J].岩石力学与工程学报,2019, 38(1): 88-99.
ZHANG Ming, CHENG Yunhai, WANG Lei, et al.Structuremodel and stability research of thick hard strata-coal pillar in shallow-buried re-mined panels[J].Chinese Journal of Rock Mechanics and Engineering,2019,38(1): 88-99.
[5] 张 震,徐 刚,黄志增,等.煤柱稳定性分析评价的高频电磁波CT技术研究[J].采矿与安全工程学报, 2018,35(6):1151-1157.
ZHANG Zhen, XU Gang, HUANG Zhizeng, et al.Study on high frequency electromagnetic wave CT technology for stability analysis and evaluation of coal pillar[J]. Journal of Mining & Safety Engineering, 2018, 35(6): 1151-1157.
[6] 孙福玉.综放开采窄煤柱沿空掘巷围岩失稳机理与控制技术[J].煤炭科学技术,2018,46(10):149-153.
SUN Fuyu.Instability mechanism and control technology of surroundingrock of gob-side entry with narrow pillar by fully-mechanized caving mining[J]. Coal Science and Technology, 2018, 46(10):149-153.
[7] 王福军,李先志.老虎台矿高应力煤柱区巷道掘进冲击地压防治技术[J].煤矿安全,2018,49(9):122-127.
WANG Fujun, LI Xianzhi.Prevention and control of rock burst for roadway tunneling in high stress coal pillar area of laohutai Mine[J].Safety in Coal Mines,2018,49(9):122-127.
[8] 李慎锋,刘兴邦,郭运刚,等.急倾斜煤层区段煤柱变形规律及应力变化特征[J].煤炭技术,2019,38(1):27-29.
LI Shenfeng, LIU Xingbang, GUO Yungang,et al. Deformation Law and Stress Change Characteristics of Coal Pillar in Section of Steep Seam[J].Coal Technology,2019,38(1):27-29.
[9] 宋焕虎,魏 辉.爆破卸压技术在深部煤层防治冲击地压中的应用[J].煤炭科技,2015,41(12):53-56.
SONG Huanhu, WEI Hui.Application of blasting destressing technology inpreventing and controllingrockburst in deep coal seam[J].Coal Science & Technology Magazine,2015, 41(12):53-56.
[10] 刘少虹,潘俊锋,刘金亮,等.基于卸支耦合的冲击地压煤层卸压爆破参数优化[J].煤炭科学技术, 2018, 46(11):21-29.
LIU Shaohong, PAN Junfeng, LIU Jinliang, et al.Optimization of blasting parameters forrock burst coal seam based on pressure release and support coupling[J].Coal Science and Technology, 2018, 46(11):21-29.
[11] 李 鹏,刘志刚.煤柱高应力区煤体爆破卸压效果研究[J].煤炭工程,2017,49(12):66-68.
LI Peng, LIU Zhigang.Study on stress relief effect of coal body blasting in high stress zone of coal pillar[J].coal engineering, 2017,49(12):66-68.
[12] 张 寅.强冲击危险矿井冲击地压灾害防治[M].北京: 煤炭工业出版社,2010: 107-110.
[13] 姜耀东,潘一山,姜福兴,等.我国煤炭开采中的冲击地压机理和防治[J].煤炭学报,2014,39(2):205-213.
JIANG Yaodong, PAN Yishan,JIANG Fuxing, et al.State of the art review on mechanism and prevention of coal bumps in China[J].Journal of China Coal Society,2014,39(2):205-213.
[14] 李云鹏,张宏伟,朱志洁,等.冲击危险煤层卸压钻孔安全参数研究[J].中国安全科学学报,2018,28(11):122-127.
LI Yunpeng, ZHANG Hongwei, ZHU Zhijie,et al. Study on safety parameters of pressure relief borehole inrockburst coal seam[J].China Safety Science Journal,2018, 28(11):122-127.
[15] 刘少虹.动载冲击地压机理分析与防治实践[D].北京:煤炭科学研究总院,2013:1-131.
LIU Shaohong.The study on the mechanism and prevention of dynamic-loadingrockburst[D].Beijing: China Coal Research Institute, 2013:1-131.
[16] 贾传洋,韩宇超,王海龙.钻孔卸压参数研究及应用[J].煤矿开采,2018,23(1):65-68.
JIA Chuanyang, HAN Yuchao,WANG Hailong,et al. Studying and Application of Drilling Hole Loading Relief Parameters[J].Coal Mining Technology, 2018, 23(1): 65-68.
[17] 史庆稳,崔宏科,吕大钊,等.冲击地压煤层巷帮卸压钻孔施工参数研究[J].煤矿开采,2017,22(6):74-77.
SHI Qingwen, CUI Hongke, LÜ Dazhao, et al. Study on Pressure Relief Drilling Holes Layout Parameters of Roadside in Rockburst Coal Seam[J].Coal Mining Technology, 2017, 22(6):74-77.
[18] 杜涛涛,杨 永,杨 磊,等.掘进巷道冲击危险区探测及卸压工程实践[J].煤矿开采,2017,22(4):77-82.
DU Taotao, YANG Yong, YANG Lei,et al. Practice of Unloading Engineering and Rockburst Hazard Zone Exploration of Tunneling Roadway[J]. Coal Mining Technology, 2017,22(4):77-82.
[19] 李红平. PASAT 探测系统在应力场中的应用[J].煤炭科技,2017(2):85-88.
LI Hong-ping. Application of PASAT detection system in stress field[J].Coal Science & Technology Magazine, 2017(2):85-88.
[20] 徐文全,王恩元,刘贞堂,等.基于钻孔电磁辐射法的爆破卸压效果检验方法[J].煤炭学报,2012,37(2):279-283.
XU Wenquan, WANG Enyuan, LIU Zhentang,et al.A study on testing the effect of blasting releasing pressure based on drilling electromagnetic radiation[J].Journal of China Coal Society,2012,37(2):279-283.