大倾角煤层沿空留巷弓形柔性掩护支架控制技术

沈 平1,姜永东2,杨启军1,邹 勇1,谢英亮2,李 广1

(1.四川川煤石洞沟煤业有限责任公司,四川 旺苍 628211;2.重庆大学 煤矿灾害动力学与控制国家重点实验室,重庆 400044)

大倾角煤层占我国煤炭总储量的15%~20%,在我国西部,50%以上的煤矿属于大倾角煤层,为了实现大倾角煤层沿空留巷,需研发新型沿空留巷技术。 基于大倾角煤层开采岩层移动“厂”型结构模型,发明了弓形柔性掩护支架,并成功应用于石洞沟煤矿31321 大倾角采煤工作面,实现了沿空留巷,减少了煤炭损失,提高了采出率。 研究结果表明:研制的弓形柔性掩护支架系统具有刚柔并举的功能,即单根支架刚度大,能承受高压力,在垮落带矸石的推力作用下,支架系统可整体水平移动,具有柔性功能。 通过现场试验,发现弓形柔性掩护支架沿空留巷,充分发挥了支架的支撑和掩护作用,支架承受顶板的压力较小,不会发生向下弯曲和断裂,支架与压实的垮落带形成的组合体结构,能有效控制矿山压力,正常时期、来压期间,支架安全系数分别为2.724、1.363,且支架可回收重复利用。研究成果为大倾角煤层无煤柱开采提出了一种新的方法。

关键词大倾角煤层;沿空留巷;弓形柔性掩护支架

0 引 言

大倾角煤层是指埋藏倾角为35°~55°的煤层,占我国煤炭总储量的15%~20%,年产量占煤炭总产量的10%。 在我国西部,50%以上的煤矿属于大倾角煤层,其中四川省煤炭产量的40%~50%来自于大倾角煤层。 我国煤矿以地下开采为主,回采巷道长度约占巷道总长的60%[1-3],长期以来,绝大部分采区巷道采用留煤柱护巷,导致煤炭损失量巨大,约占全矿煤炭损失总量的40%左右[4,5]。 随着煤矿开采不断向深部延伸,地应力增加,护巷煤柱宽度越留越大,煤炭采出率大幅降低,巷道维护难度增大。沿空留巷一般可使煤炭采出率提高10%~20%,因此,采用沿空留巷技术,对实现一巷两用,提高煤炭采出率,延长矿井服务年限等具有重要意义[6-8]

在使用煤矿沿空留巷技术的国家中,英国多采用高水材料进行巷旁充填,德国多采用低水材料进行巷旁充填,波兰多采用金属可缩性支架,总体而言,巷旁支护多使用充填带、矸石带或混凝土墩柱等[9-11]。 目前,我国巷旁支护主要有:矸石装袋堆码支护,支护强度低、效果差;混凝土墩柱护巷,墩柱之间的矸石易滚动,造成巷道封堵;砌筑预制混凝土块墙支护,施工效率较低,墙体受力不均,产生不同程度的破坏;柔模沿空留巷,适用于变形小的硬岩巷道,不适用大变形的软岩巷道,施工过程影响采煤;泵送胶结充填支护,支护效果好,但成本偏高[12-14]

巷旁支护作为沿空留巷的一大难题,在我国还没有得到很好地解决[15-17],因此,还需研发经济效益更高、支护效果更好、施工效率更高的沿空留巷技术,笔者发明了弓形柔性掩护支架沿空留巷技术,在川煤集团石洞沟煤矿成功应用,取得了显著的社会、经济效益,实现了大倾角煤层沿空留巷安全、经济、快速的巷旁支护。

1 石洞沟煤矿概况

石洞沟煤矿属于川煤集团,位于四川省广元市旺苍县三江镇,采用平硐+斜井开拓方式,矿井生产能力30 万t/a,属于低瓦斯矿井。 矿井划分2 个水平,+515 m 水平已基本开采完毕,+300 m 水平划分为2 个采区,主石门以东为32 采区,走向长2 300 m,以西为31 采区,走向长2 000 m。 矿井可开采煤层共4 层(K10、K11、K12、K13),K13煤层是31 采区主采煤层,顶底板岩性见表1,全区可采,目前矿井正在开采K13煤层31321 工作面,采用俯伪斜柔性掩护液压支架支护工作面,应用弓形柔性掩护支架沿空留巷技术。 工作面走向长度915 m,伪倾斜长度130.6 m,工作面伪倾角30°,采高3 m。

K13煤层厚度稳定,煤层厚度2.61~3.68 m,普氏系数2 ~3,走向长4 660 m,煤层走向265°,倾角52°~60°,平均58°。 煤层顶板多为泥岩、灰质泥岩、钙质粉砂岩,底板为泥岩、粉砂岩。

表1 K13煤层顶底板岩性
Table 1 Lithology of K13coal seam roof and floor

顶底板 岩性 厚度/m 岩性特征基本顶 粗粉砂岩 6.63~12.41 灰色中厚层中粒砂岩,抗拉强度8.5 MPa,单轴抗压强度120 MPa直接顶 泥岩 0.03~0.72 黑色泥岩含菱铁矿结核直接底 含砂泥岩 0.10~0.70 含砂质泥岩基本底 细粒砂岩 3.90~12.40 灰白色细砂岩,抗拉强度9.1 MPa,单轴抗压强度126 MPa

2 弓形柔性掩护支架设计

2.1 支架结构设计与加工工艺

弓形柔性掩护支架如图1 所示,由上臂支撑梁、腰背承压梁、稳架脚梁、承压稳固销、加强筋板、抗压加强筋板、组架压绳板以及方脚承压板8 个部分组成,刚度高,有很强的抗弯能力。 支架参数:上臂支撑梁长1 600 mm,腰背承压梁长1 600 mm,稳架脚梁长1 300 mm,上臂支撑梁和腰背承压梁夹角135°,腰背承压梁与稳架脚梁夹角135°,支护高度2 431 mm、宽度2 731 mm、斜长3 500 mm。

图1 弓形柔性掩护支架结构
Fig.1 Structure of bow flexible shield support

掩护支架采用11 号矿用工字钢,工字钢宽90 mm,高110 mm,螺栓型号为ø14 mm×70 mm。 支架上臂支撑梁和腰背承压梁、腰背承压梁和稳架脚梁连接豁口处双层焊,另采用加强筋板(长200 mm,宽50 mm,厚8 mm)焊接在豁口处,双面焊接;上臂支撑梁和腰背承压梁,腰背承压梁和稳架脚梁内槽两面连接豁口处采用抗压加强筋板满焊,两边抗压加强筋板穿承压稳固销,双层焊接;工字钢先切割再钻孔、后冷弯再焊接,焊接全部采用满焊,在工字钢内槽焊接处用厚10 mm 钢板加固。 支架焊接处结构如图2 所示。 支架底部方脚承压板(长150 mm,宽90 mm,厚8 mm),呈弯曲状满焊焊接在稳架脚梁上。 焊接要求:焊接无裂纹,无夹渣,无气孔,表面光滑,焊接后调质。 稳架脚梁保持垂直,上臂支撑梁水平。

图2 支架焊接处结构
Fig.2 Structure of stent weld

2.2 支架安装方法

31321 采煤工作面运输巷道断面为异形结构的六边形,巷道宽4.2 m、高3.4 m,高帮高为2.2 m,矮帮高为1.0 m,断面积11 m2,采用锚杆+锚索+W 型钢带联合支护,原巷道邻采空区一侧,因采动影响破坏,采用弓形柔性掩护支架沿空留巷,可以支撑和掩护巷道邻采空区一侧的破碎岩体。 工作面前方每隔5 m 预留1 个超前溜煤眼位置,溜煤眼宽度0.8 m,用于工作面推采后溜煤。 弓形柔性掩护支架安装如图3 所示,现场安装如图4 所示,支架安装方法:支架间隙200 mm,支架下肢安装在巷道底板上,支架的上肢紧贴巷道顶板,支架背面用木板、竹笆插严背实,防止采空区冒落的岩块滚入巷道。 每根支架用4 组(8 根)ø26 mm 钢丝绳配夹板、螺栓进行连接,将所有支架连接在一起,形成刚柔并举的连续墙,保持良好的工作特性,确保巷道岩体稳定。

图3 沿空留巷支架安装示意
Fig.3 Schematic diagram of stent installation in gob-side entry retaining

弓形柔性掩护支架至尾部在用溜煤眼的距离不得小于5 m,最末1 根支架以东10 m 范围内安装双排单体液压支柱进行加强支护,10 ~20 m 安装单排单体液压支柱进行加强支护,单体液压支柱的间、排距为1 m,超前支柱必须“穿鞋”、“戴帽”。

图4 弓形柔性掩护支架现场安装
Fig.4 Field installation diagram of bow flexible shield support

3 弓形柔性掩护支架受力分析

大倾角煤层开采上覆岩层移动如图5 所示,基于基本顶断裂形成“厂”型弯曲的岩层移动结构。直接顶随支架移动产生冒落,在自重的作用下沿底板向下滚动,形成垮落带,垮落带在采空区内由下至上形成密实程度不同的三带:Ⅰ带在采空区下部,冒落矸石滚动冲击堆积已全部密实,并与处于悬臂梁的基本顶构成一体,对顶板起到一定的支承作用;Ⅱ带在采空区中下部,冒落矸石滑移堆积不密实,与基本顶断口塔接,存在一些空隙,与基本顶未构成一体,对顶板支承作用较小;Ⅲ带在采空区上部,采空区基本呈不规则的拱状或楔状悬空空间,大部分空间无矸石充填,对基本顶无支承作用。

基于大倾角煤层开采上覆岩层“厂”型结构,弓形柔性掩护支架力学分析如图6 所示。 煤层顶板压力q1,即弓形柔性掩护支架顶梁的压力,基本顶初次来压和周期来压时取值为8Mr1;正常时期和沿空留巷处于重新压实区时取值为4Mr1,公式如下:

式中:q1为煤层顶板压力,kPa;M 为煤层平均采高,m;r1为岩体容重,kN/m3

弓形柔性掩护支架斜面压力q7计算公式为

式中:r2为垮落带岩块容重,kN/m3;H 为垮落带岩块堆积高度,m。

图5 大倾角煤层开采上覆岩层“厂”型移动形态
Fig.5 “τ”type movement pattern of overlying strata in steeply dipping seam mining

a、b、c、d—断裂带的范围;Ⅰ、Ⅱ、Ⅲ—根据密实程度将直接顶形成的垮落带划分三带,分别为密实、松散堆积、拱状悬空带

图6 弓形柔性掩护支架力学分析
Fig.6 Mechanical analysis of bow flexible shield support

q1—煤层顶板压力;q2—q1沿切向的分力;q3—q1沿法向的分力;q4—垮落带压力;q5—q4沿切向的分力;q6—q4沿法向方向的分力;q7—支架斜面压力;q8—支架侧面压力;Q1—支架顶梁受力;Q7—支架斜面受力;Q8—支架侧帮受力;F0—巷道底板作用给支架的水平推力;F1—巷道帮作用给支架的水平推力;F2—巷道底板作用给支架的反力;F3—巷道底板作用给单体支柱的反力;α—煤层倾角;β—支架斜面倾角

弓形柔性掩护支架侧面压力q8计算公式为

式中:λ 为侧压系数。

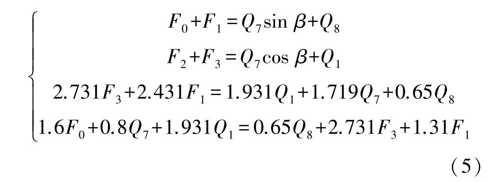
31321 采煤工作面的区段运输巷采用沿空留巷,作为下一个工作面的回风巷,采用弓形柔性掩护支架护巷,支架间距0.2 m,支架设计参数为:顶梁长度1.6 m、斜面长度1.6 m、帮高度1.3 m,支架斜面倾角β 为45°,沿空留巷后巷道宽度2.731 m、高度2.431 m,净断面积约7 m2,则顶梁、腰背承压梁、稳架脚梁的压力为

式中:a 为支架间距,取0.2 m。

根据力、力矩平衡方法,柔性掩护支架支撑反力F0、F1、F2,单体支柱支撑反力F3分别为

通过化简,则F0、F1、F2、F3表达式为

若无单体支柱支护,即F3 =0,则F0、F1、F2表达式如下

根据材料力学,受均匀荷载工字钢支架的拉压强度σ 为

式中:M 为最大弯矩;y 为任意一点到中性轴的距离;J 为断面惯性矩;q 为均布荷载;l 为梁的长度;b为11 号矿用工字钢的宽,取90 mm;h 为11 号矿用工字钢的高度,取110 mm。

受均匀荷载工字钢的挠度ω 为

式中:E 为工字钢的弹性模量,11 号工字钢E 取206 GPa。

已知M =3.24 m,r1 =24 kN/m3,α =55°,H =13 m,r2 =23 kN/m3,λ =0.43, a =0.2 m,β =45°。 计算得到q1 =622.1 kPa,q7 =754.5 kPa,q8 =128.6 kPa,Q1 =199.1 kN,Q7 =241.4 kN,Q8 =33.4 kN,F0 =346.2 kN,F1 =-142.1 kN,F2 =-57.4 kN,F3 =427.1 kN;当支架无单体支柱支撑,则F3 =0 时,则F0 =-133.6 kN,F1 =337.7 kN,F2 =369.8 kN。

11 号矿用工字钢的拉压强度为510 MPa,得出支架正常时期和沿空留巷处于重新压实区工字钢支架的拉压强度为187.2 MPa,安全性系数为2.724。 基本顶初次来压和周期来压时工字钢支架的拉压强度为374.3 MPa,安全性系数为1.363,因此支架能承受围岩压力,可控制围岩的变形,是安全可靠的。

4 弓形柔性掩护支架护巷机理与应用效果

根据煤层顶板岩层断裂结构与力学分析,弓形柔性掩护支架上臂支撑梁承受顶板压力q1,将压力传递给单体支柱,支柱支撑力为F3;腰背承压梁承受的压力q7为断裂带传递给Ⅰ带的压力q2与Ⅰ带、Ⅱ带岩块的自重q5 之和,压力传递给支架,巷道帮围岩提供支撑力F1;稳架脚梁承受一部分顶板压力和垮落带岩块的水平压力q8,支架的支撑力F2

在矿山压力的作用下,垮落带Ⅰ带的矸石已被压密实,能有效支撑基本顶压力,与弓形柔性掩护支架形成的组合体安全控制了沿空留巷的稳定性,整个支护系统具有刚柔并举的功能,即单根支架刚度大,能承受高的压力,通过钢丝绳串连起来的支架,在垮落带矸石的推力的作用下,支架系统可整体水平移动,上臂支撑梁插入巷道帮围岩中,增强了支架水平方向的抗压能力,最终实现“稳架”功能,达到安全护巷目的。

31321 采煤工作面走向长度915 m,全部采用弓形柔性掩护支架系统将区段运输巷保留下来,实现了沿空留巷和无煤柱开采,充分发挥了支架的支撑和掩护作用,在工作面回采期间,支架无断裂、弯曲变形,焊接处完好,巷道平直。 实践表明,大倾角煤层开采应用弓形柔性掩护支架沿空留巷是安全的、可行的,而且支架可回收重复利用,经济效益显著。

5 结 论

1)针对大倾角煤层沿空留巷难题,发明了弓形柔性掩护支架护巷方法,并在四川煤业集团石洞沟煤矿成功应用,实现了大倾角煤层沿空留巷安全、经济、快速地巷旁支护。

2)垮落带与弓形柔性掩护支架形成的组合体具有刚柔并举的功能,能充分发挥支撑和掩护作用,支撑顶板压力,掩护采空区冒落的大量岩块,降低岩块滚落的冲击力,正常时期、来压期间,支架安全系数分别为2.724、1.363,确保沿空留巷围岩的稳定性与安全。

3)针对煤层的赋存条件和矿山压力显现特征,使用过程中建议进一步优化弓形柔性掩护支架结构参数和加工工艺,设计出更安全、可靠的支架。

参考文献References):

[1] 赵志超.金谷煤矿沿空留巷技术研究[J].中国煤炭,2020,46(6): 98-102.ZHAO Zhichao.Study on gob-side entry retaining technology in Jingu coal mine [J].China Coal,2020,46(6): 98-102.

[2] 孙秋荣,胡鑫印.李堂煤矿薄煤层开采沿空留巷技术研究与应用[J].中国煤炭,2020,46(2): 100-105.SUN Qiurong,HU Xinyin.Study and application of gob-side entry retaining technology in thin seam mining in Litang coal mine [J].China Coal,2020,46(2): 100-105.

[3] 沙 旋,褚晓威.厚煤层沿空留巷围岩综合控制技术[J].煤炭科学技术,2019,47(11): 76-83.SHA Xuan,ZHU Xiaowei.Comprehensive control technology of sur⁃rounding rock for gob-side entry retaining in thick coal seam [J].Coal Ccience and Technology,2019,47(11): 76-83.

[4] 冯 敏.无煤柱开采技术发展现状及研究方向[J].现代矿业,2019,35(4): 65-69.FENG Min. Development status and study direction of coal pillarless mining technology [J].Modern Mining Industry,2019,35(4): 65-69.

[5] 董明晖,杨秉真,周慧忠.沿空放顶成巷无煤柱开采技术研究[J].煤炭技术,2019,38(9): 34-37.DONG Minghui,YANG Bingzhen,ZHOU Huizhong.Research on mining technology without coal pillar along roof [J].Coal Technol⁃ogy,2019,38(9): 34-37.

[6] 陈金宇.沿空留巷围岩卸压支护协同控制技术研究[J].煤炭科学技术,2020,48(8): 44-49.CHEN Jinyu.Research on collaborative control technology for sur⁃rounding rock pressure relief and support of gob-side entry [J].Coal Science and Technology,2020,48(8): 44-49.

[7] 王建强,秦 超.沿空留巷技术在伯方煤矿中的应用研究[J].山东煤炭科技,2020(5): 32-34.WANG Jianqiang,QIN Chao.Research on the application of the technique along the empty roadway in bofang coal mine [J].Shan⁃Dong Coal Technology,2020(5): 32-34.

[8] 别小飞,王 文,唐世界,等. 深井高应力切顶卸压沿空掘巷围岩控制技术[J].煤炭科学技术, 2020, 48(9): 173-179.BIE Xiaofei, WANG Wen, TANG Shijie,et al. Surrounding rock control technology of gob-side entry driving in deep shaft with high stress roof cutting and pressure relief[J]. Coal Science and Tech⁃nology, 2020, 48(9): 173-179.

[9] 王 龙.巷旁充填沿空留巷技术在综放工作面的应用研究[J].山东煤炭科技,2020(6): 15-17.WANG Long.Study on the application of the technique of filling a⁃long the empty roadway by roadway in fully mechanized caving face[J].Shandong Coal Technology,2020(6): 15-17.

[10] 陈 勇,孟宁康,杨玉贵,等.沿空留巷巷旁充填体稳定性控制技术研究[J].煤炭科学技术,2019,47(9): 273-278.CHEN Yong,MENG Ningkang,YANG Yugui,et al.Research on stability control technology of filling body in gob-side entry retai⁃ning [J].Coal Science and Technology,2019,47(9): 273-278.

[11] 黄士辉.沿空留巷巷旁充填支护技术研究与应用[J].山东煤炭科技,2017(1): 1-3.HUANG Shihui.Research on roadside packing support technology of gob-side entry retaining [J].Shandong Coal Technology,2017(1):1-3.

[12] 刘燕祥,盆伟伟,黄汉锋.软岩巷道沿空留巷联合支护技术研究[J].中国煤炭,2018,44(1): 71-74.LIU Yanxiang, PEN Weiwei, HUANG Hanfeng. Study on combined support technology of retaining gob side entry in soft rock roadway [J].China Coal,2018,44(1): 71-74.

[13] 景 磊,孙小岩.三软煤层顶板破碎条件下沿空留巷技术研究[J].山东煤炭科技,2017(6): 39-40.JING Lei,SUN Xiaoyan.Research on gob-side entry retaining technology under the broken roof in three soft coal seam [J].Shandong Coal Technology,2017(6): 39-40.

[14] 刘清利,王 萌.综放工作面沿空留巷无煤柱开采技术[J].煤炭科学技术,2016,44(5): 122-127.LIU Qingli,WANG Meng.Pillarless mining technology of fullymechanized top coal caving mining face with retained gateways[J].Coal Science and Technology,2016,44(5): 122-127.

[15] 王俊峰. 中厚煤层留窄煤柱沿空掘巷支护技术研究[J]. 煤炭科学技术, 2020, 48(5): 50-56.WANG Junfeng. Study on supporting technology of narrow coal pillar driving along gob in medium-thick coal seam[J]. Coal Sci⁃ence and Technology, 2020, 48(5): 50-56.

[16] 张江云,武梅苹.急倾斜中厚煤层柔掩工作面沿空留巷技术实践[J].中国煤炭,2017,43(10): 60-65.ZHANG Jiangyun,WU Meiping.Technology practice of gob-side entry retaining at working face with flexible shield support in in⁃clined medium-thickness coal seam [J].China Coal,2017,43(10): 60-65.

[17] 李迎富,华心祝.沿空留巷围岩结构稳定性力学分析[J].煤炭学报,2017,42(9): 2262-2269.LI Yingfu,HUA Xinzhu.Mechanical analysis on the stability of surrounding rock structure of gob- side entry retaining [J].Journal of China Coal Society,2017,42(9): 2262-2269.

Control technology of flexible bow-shield-supporting system for gob-side entry retaining in highly inclined seam

SHEN Ping1,JIANG Yongdong2,YANG Qijun1,ZOU Yong1,XIE Yingliang2,LI Guang1

(1.Sichuan Chuan-Coal Shidonggou Coal industry Limited Liability Company,Wangcang 628211,China;2.Key laboratory of Exploitation of Southwest Resources and Environmental Disaster Control Engineering,Ministry of Education,Chongqing University,Chongqing 400044,China)

AbstractSteeply dipping coal seam accounts for 15%~20% of China’s total coal reserves.In western China,more than 50% of coal mines belong to steeply dipping coal seam.In order to realize gob-side entry retaining in steeply dipping coal seam,it is necessary to develop new gob-side entry retaining technology.Based on the ‘τ’ structure model of strata movement in large inclined coal seam mining,the bow flexi⁃ble shield support was invented and successfully applied to the No.31321 large inclined coal face of Shidonggou Coal Mine.The gob-side entry retaining was realized,the coal loss was reduced and the recovery rate was improved.The results show that the developed bow-shaped flexible shield support system has the function of hardness and softness,that is,the single support has large stiffness and can withstand high pressure.Under the thrust of gangue in the caving zone,the support system can move horizontally and has flexible function.Through the field test,it is found that the bow flexible shield support retains the roadway along the goaf,giving full play to the support and shield effect of the support.The support bears less roof pressure and does not bend downwards or break.The combined structure formed by the support and the compacted caving zone can effectively control the mine pressure and during the normal period and the weighting peried,the safety factor of the support is 2.724 and 1.363 respectively,and the support can be recycled and reused.The research results put forward a new method for non-pillar mining in steeply dipping coal seam.

Key wordssteeply dipping coal seam; gob-side entry retaining;bow flexible shield support

中图分类号TD353

文献标志码:A

文章编号:0253-2336(2021)03-0037-06

移动扫码阅读

沈 平,姜永东,杨启军,等.大倾角煤层沿空留巷弓形柔性掩护支架控制技术[J].煤炭科学技术,2021,49(3):37-42.

doi:10.13199/j.cnki.cst.2021.03.003

SHEN Ping,JIANG Yongdong,YANG Qijun,et al.Control technology of flexible bow-shield-supporting system for gob-side entry retaining in highly inclined seam[J].Coal Science and Technology,2021,49(3):37-42.

doi:10.13199/j.cnki.cst.2021.03.003

收稿日期2020-10-19;责任编辑:朱恩光

基金项目国家自然科学基金资助项目(51574049)

作者简介沈 平(1964—),男,四川犍为人,高级工程师。 E-mail:383693154@qq.com