煤与瓦斯突出对矿井通风系统的影响研究现状及展望

魏连江1,李 胜1,魏宗康2,王梦薇1

(1.中国矿业大学 安全工程学院,江苏 徐州 221116;2.中国矿业大学 矿业工程学院,江苏 徐州 221116)

为研究煤与瓦斯突出灾变时期矿井通风系统灾变机理以及瓦斯爆炸二次灾害的防控机制,从冲击波对通风系统的影响、突出瓦斯对通风系统的影响以及突出煤体对通风系统的影响3 个方面综述了煤与瓦斯突出对通风系统的影响规律研究现状:首先,分析了冲击波破坏通风设备设施的影响因素以及冲击波在巷道中的传播规律;其次,分析了突出瓦斯在巷道中的运移过程及其诱导井下风流灾变规律;最后,分析了突出煤体在巷道堆积的影响因素。 结果表明:冲击波的破坏效应与冲击波超压等因素有关,冲击波在巷道中的传播受巷道截面面积等的影响;突出瓦斯在巷道运移过程中产生的瓦斯风压能导致井下风流灾变;突出煤体在巷道的堆积主要与煤层深度和煤与瓦斯突出强度有关。 根据煤与瓦斯突出对通风系统的影响规律研究现状,结合当前煤与瓦斯突出模拟试验条件,分析了煤与瓦斯突出对通风系统的影响研究成果存在的不足及其原因,并针对当前研究成果存在的不足提出了改进煤与瓦斯突出对通风系统影响规律研究的方向。 煤与瓦斯突出对通风系统的影响规律研究成果可以应用于煤与瓦斯突出影响范围的快速研判,以提高煤与瓦斯突出灾变时期的辅助应急决策能力。

关键词煤与瓦斯突出;通风系统;冲击波;突出瓦斯;突出煤体

0 引 言

煤与瓦斯突出灾害是当前威胁矿井安全生产最为严重的动力灾害之一[1]。 煤与瓦斯突出会破坏通风系统,导致井下局部地区瓦斯浓度超限,进而可能引发瓦斯爆炸等二次灾害[2]。 因此,煤与瓦斯突出造成的危害不仅局限于本身,更大的威胁来自于灾变后矿井瓦斯超限所引发的瓦斯爆炸等二次灾害,而煤与瓦斯突出对通风系统的影响是煤与瓦斯突出引发二次灾害的重要一环。

近年来,国内外学者在煤与瓦斯突出机理、预测预报技术及突出防治安全工程技术等方面的研究取得了很大进展[3-5],特别是在防突技术和管理方面开展了大量的科学试验研究和现场试验工作,基本形成了一套防突技术和管理体系[6-7]。 由于煤与瓦斯突出问题极为复杂,现有防治手段尚不能完全避免煤与瓦斯突出灾害的发生。 因此,研究煤与瓦斯突出对通风系统的影响规律对于认识突出灾变时期矿井通风系统灾变机理以及瓦斯爆炸等二次灾害防控机制具有重要意义。 目前,研究人员主要通过试验研究和数值模拟的方式研究煤与瓦斯突出对通风系统的影响规律。 由于煤与瓦斯突出试验难以在煤矿井下开展[8],研究人员一般通过搭建煤与瓦斯突出模拟试验系统来开展试验研究。 煤与瓦斯突出模拟试验系统基于相似准则[9-12],一般由高压试验腔体、非均布加载系统、突出诱导装置、抽真空及充气系统、数据采集系统组成[13-15],部分试验系统还包括模拟巷道、高速摄像系统[16]和温控系统[17]。 虽然研究人员在煤与瓦斯突出对通风系统的影响这一研究领域取得了一定成果,但仍然存在不足。 笔者通过综述煤与瓦斯突出对通风系统的影响研究现状,分析了存在的不足,为今后的进一步研究提供了借鉴。

1 冲击波对通风系统的影响规律

煤与瓦斯突出会产生冲击波,冲击波对通风系统的影响主要表现为冲击波对通风设备设施的破坏,冲击波在巷道传播过程中会逐渐衰减,最终丧失破坏能力。 冲击波在传播过程中能否破坏通风设备设施取决于冲击波破坏通风设备设施的影响因素。冲击波的衰减与冲击波在巷道中的传播规律有关,研究冲击波在巷道中的传播规律,能为确定冲击波的影响范围,以及影响范围内通风设施遭到冲击波破坏的时间及严重程度提供依据。

1.1 冲击波破坏通风设备设施的影响因素

冲击波在传播过程中对通风设备设施的破坏程度与冲击波超压、单位冲量、作用时间和构筑物固有周期等因素有关[18]。 目前研究人员主要研究了冲击波超压与通风设备设施破坏程度之间的关系,其他影响因素与通风设备设施破坏程度之间的关系有待进一步研究。 部分通风设备设施破坏程度与冲击波超压之间的关系见表1[2]

表1 通风设备设施破坏程度与冲击波超压之间的关系
Table 1 Relationship between damage degree of ventilation facility and shock wave overpressure

超压/MPa 结构类型 破坏特征

1.2 冲击波的传播规律

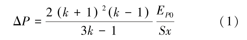
冲击波在传播过程中,冲击波波阵面后会出现一段冲击气流区域(空气压缩区),此区域后面则是煤-瓦斯混合流区域[2,19-20]。 研究表明,冲击波刚产生时,其传播速度高于声音的传播速度[21]。 冲击波在巷道传播过程中,随传播距离的增加而衰减,波速逐步下降,最后衰减成为波速与声速相等的普通压力波[21]。 冲击波的衰减规律与巷道截面面积等有关。 文献[22]认为冲击波的传播过程中遵循动量守恒和质量守恒,并由此推出了冲击波超压ΔP随距离衰减公式

式中:k 为气体压缩系数;S 为巷道截面面积,m2;EP0为煤与瓦斯突出释放出来的总能量;x 为冲击波传播距离,m。

文献[2]研究了冲击波在直巷、拐弯巷道和变截面巷道中的定量衰减规律,并通过突出模拟试验观察了冲击波在分岔巷道中的传播特征,发现当突出冲击气流在分岔巷道中传播时,因为冲击气流的反射和绕射作用,将会在分岔处产生紊乱的超压分布场,外壁面会形成局部的高压区和局部的低压区,而随着分岔角度的增大,主巷道内通过的冲击波的超压与支巷道内通过的冲击波的超压比也会增大。目前,煤与瓦斯突出产生的冲击波在分岔巷道中的规律有待定量研究。

2 突出瓦斯对通风系统的影响规律

突出瓦斯对通风系统的影响主要体现在瓦斯风压诱导矿井风流灾变。 瓦斯在巷道的运移过程中,由于瓦斯的浓度比空气小,高浓度瓦斯涌入风流后会引起风流密度变化,在有高差的巷道内形成瓦斯风压。 通风网络中分支i 的瓦斯风压[2]可表示为

式中:为分支i 的空气平均密度,kg/m3; ρa 为地表大气的空气密度,kg/m3;zi(0)、 zi Li( ) 分别表示分支i 始末节点的标高,m;g 为重力加速度,m/s2

由于瓦斯风压的形成与瓦斯在巷道中的运移有关,下面从瓦斯在巷道中的运移规律以及瓦斯风压诱导矿井风流灾变2 个方面阐述突出瓦斯对通风系统的影响规律。

2.1 突出瓦斯在巷道中的运移规律

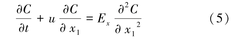
煤与瓦斯突出发生后,瓦斯在突出源动力作用下做辐射流动。 突出动力效应影响消失后,突出源还会不断地涌出瓦斯,瓦斯在自然风压或自然风压与风机的共同作用下在巷道内运移[23]。 目前研究人员主要对突出动力影响消失后的瓦斯运移规律展开了定量研究,杨守国[24]认为研究该阶段的瓦斯在巷道中的运移可以将其看成紊流一维纵向移流扩散运动;李成武[25]认为研究瓦斯运移过程应综合考虑随风移动和分子扩散两部分因素的影响,并根据质量守恒定律,推导出一维瓦斯运移扩散方程

式中:C 为瓦斯体积分数,%;t 为监测时间,s;u 为巷道平均风速,m/s;x1 为监测点距突出源的位置,m;Dm为瓦斯分子扩散系数;J 为由生物、物理、化学等变化而引起的单位时间和单位体积内瓦斯的变化量。

设高浓度瓦斯生成量为M,在不考虑生物、物理、化学等变化而引起的瓦斯含量变化的情况下,由菲克第二定律[26],得出一维运移扩散下瓦斯浓度分布为

式中:C(x1,t) 为x1 位置处t 时刻的瓦斯体积分数,%;Dt为紊流扩散系数。

李成武等[25]通过选择起爆黑火药瞬间产生气体源代替煤与瓦斯突出气体源,来模拟煤与瓦斯突出后瓦斯运移扩散,验证了式(6)、式(7)的可靠性,但由于试验药量和监测距离有限,试验拟合的瓦斯生成量M 与位置x1 之间的关系式不能完全代表井下实际情况,需根据井下实测数据对其进一步考察和修正。

周爱桃[2]认为瓦斯的运移过程是一种紊流的平移、弥散和扩散的叠加,并根据质量守恒定律、Fick 第一定律以及Bossinesq 假设,结合井巷实际情况,推导出井巷中瓦斯浓度弥散模型

式中:Ex 为纵向弥散系数,m2/s,Ex,其中r 为巷道当量半径,m;α 为摩擦阻力系数[27]

2.2 瓦斯风压诱导矿井通风网络风流灾变规律

由于瓦斯风压与巷道高差有关,所以当倾斜或垂直井巷中风流方向不同时,瓦斯风压对风流造成的影响不同:当分支为上行通风时,分支产生的瓦斯风压与风机作用方向一致,分支的风量将趋于增大,而与其并联的旁侧分支的风量则趋于减小,当瓦斯风压达到某个临界值的时候,与其并联的旁侧分支就可能出现风流停滞甚至反向,瓦斯也会随之进入旁侧分支;当分支为下行通风时,分支瓦斯风压的作用方向与风机作用方向相反,阻碍通风,分支的风量减小,而与其并联的旁侧分支的风量增加,当瓦斯风压达到某临界值时,分支中的风流就可能出现停滞,甚至反向,瓦斯可能随之进入其他用风地点[2]。 冯玉凤等[28]通过理论推导,认为影响上行风巷道风流逆转的因素不仅包括空气与甲烷的密度差、巷道的高差、通风机提供的风压,还包括初始风速、巷道断面积、分支的风阻和巷道长度,但没有通过试验进一步研究上述因素与巷道风流逆转之间的关系。 王凯等[29]对瓦斯风压引起上行通风旁侧分支风流逆转现象进行了试验研究,发现旁侧分支风阻的增大会减小旁侧分支风速的变化范围及瓦斯排出的速率,但不影响瓦斯流入旁侧分支的速率,并通过试验研究了并联下行通风巷道瓦斯风压诱致风流紊乱的规律[30],发现瓦斯风压会造成并联下行通风系统中风流的复杂变化,使并联巷道中的瓦斯随风流往复运动,然后基于振动理论分析试验结果,认为某条分支巷道风阻的增大有助于保持其并联分支的风流稳定,但不利于本分支瓦斯的顺利排出。

3 突出煤体对通风系统的影响规律

突出煤体对通风系统的影响主要体现在突出煤体在巷道内形成堆积,甚至阻塞巷道,掩埋通风设施。 曹偈等[10]通过煤与瓦斯突出模拟试验研究了突出煤的运移和堆积情况,发现巷道内突出煤运移大致经历3 个阶段:加速阶段、减速阶段、沉降阶段。突出煤体主要堆积在主巷中,联络巷有极少煤粉。突出口附近及主巷道尾部直角拐弯处有较多的块状煤体堆积。 唐巨鹏等[31]通过煤与瓦斯突出模拟试验,发现煤层深度与煤体的突出距离呈幂指数增加规律。 熊阳涛等[32]基于煤与瓦斯突出综合作用假说,通过理论分析,针对突出强度较大和突出强度较小2 种情况分别建立了抛出煤体堆积面与抛出位置的函数关系式。

4 讨 论

目前煤与瓦斯突出对通风系统的影响规律研究存在的问题主要分为以下4 个方面。

1)由于当前煤与瓦斯突出冲击波在分岔巷道中的传播试验研究存在不足,存在试验数据偏少以及未能研究试验数据间定量关系的问题,冲击波在分岔巷道中的传播规律有待展开定量研究。

2)由于目前研究人员对通风设备设施破坏程度的研究主要集中在冲击波超压与通风设备设施破坏程度之间的关系,而且现阶段煤与瓦斯突出模拟试验系统采用的模拟巷道由于尺寸原因基本没有安装真实的通风设备设施,煤与瓦斯突出产生的冲击波对通风设备设施的破坏很难用试验进行模拟,冲击波单位冲量、作用时间和构筑物固有周期等因素与通风设备设施破坏程度之间的关系有待展开定量研究。

3)由于目前模拟巷道当中瓦斯气体浓度监测距离和监测点的数目有限,根据试验数据拟合的巷道中各点瓦斯浓度随瓦斯运移距离变化的衰减系数不能完全反应煤矿井下真实情况。

4)目前研究人员对瓦斯风压诱导巷道风流逆转的影响因素研究主要集中在对巷道风阻的研究,而其他影响因素与巷道风流逆转之间的关系有待进一步研究。

基于当前研究存在的问题,笔者从以下4 个方面探讨解决途径。

1)由于当前用于模拟巷道网络的管网系统可以通过调整管道组件的方式调整模拟巷道分岔角度,针对当前冲击波在分岔巷道中的定量传播规律研究中存在的不足,可以通过调节模拟巷道分岔角度来获取不同巷道分岔角度对应的冲击波参数,然后以大量试验数据为基础,分析分岔角度与冲击波参数之间的定量关系。

2)针对当前煤与瓦斯突出产生的冲击波对通风设备设施的破坏难以通过试验进行模拟的实际情况,笔者建议采用2 种思路加强冲击波对通风设备设施破坏的试验研究:①通过借鉴当前煤与瓦斯突出模拟试验系统采用的相似准则,开展井下通风设备设施相似准则研究,基于相似准则研发通风设备设施模型;②在现有的教学矿井中安装通风设备设施,开展煤与瓦斯突出模拟试验,研究冲击波对通风设备设施破坏程度与其影响因素之间的关系,这样既避免了煤矿井下难以开展煤与瓦斯突出试验的问题,又能最大程度地模拟真实煤矿井下环境,提高了试验结果的准确性。

3)针对当前模拟巷道中瓦斯气体浓度监测的不足,可以考虑将煤与瓦斯突出模拟试验重复多次,在每次试验中改变传感器在模拟巷道中的布置位置,从而在传感器数量相同的情况下增加试验数据,结合井下实测数据,使巷道中各点瓦斯浓度随瓦斯运移距离变化的衰减系数更加符合煤矿井下实际情况。

4)针对目前瓦斯风压诱导巷道风流逆转研究存在的不足,建议在加强巷道风阻对瓦斯风压诱导巷道风流逆转的影响研究同时,开展其他影响因素与瓦斯风压诱导巷道风流逆转之间的关系研究,完善瓦斯风压诱导巷道风流逆转机理。

5 展 望

目前,国内高瓦斯、突出矿井基本上都装备了安全监测系统[33],但这些系统只能实时地监测到瓦斯浓度的变化,煤与瓦斯突出灾变时期辅助应急决策能力存在不足,而煤与瓦斯突出对通风系统的影响规律揭示了冲击波动力效应与时间和传播距离的关系、突出瓦斯浓度与时间和位置的关系以及突出煤体在巷道内堆积的规律。 因此,以煤与瓦斯突出对通风系统的影响规律作为理论基础,结合井下瓦斯、风速等传感器监测数据,开展煤与瓦斯突出通风系统影响范围的快速研判研究,从而提高煤矿安全监测系统在煤与瓦斯突出灾变时期的辅助应急决策能力,这将有助于煤矿在煤与瓦斯突出灾变时期开展井下应急救援和人员疏散工作。

6 结 语

在分析煤与瓦斯突出对通风系统的影响研究现状的基础上,针对冲击波和瓦斯对通风系统影响研究当中存在的问题,建议利用现有煤与瓦斯突出模拟试验系统,改进模拟试验方法,同时将现有的教学矿井引入煤与瓦斯突出对通风系统的影响模拟试验,为完善煤与瓦斯突出对通风系统的影响规律提供了借鉴。

此外,以煤与瓦斯突出对通风系统的影响规律作为理论基础,结合井下瓦斯、风速等传感器监测数据,开展煤与瓦斯突出通风系统影响范围快速研判的研究,有助于提高煤与瓦斯突出灾变时期的辅助应急决策能力。

参考文献References):

[1] 朱权洁,李青松,张尔辉,等.采动影响下突出煤层地质异常区域的微震特征规律研究[J].煤炭科学技术,2019,47(7): 39-46. ZHU Quanjie,LI Qingsong,ZHANG Erhui,et al.Study on micro⁃seismic characteristics of geologic anomaly region in coal and gas outburst seam induced by roadway excavation[J].Coal Science and Technology,2019,47(7):39-46.

[2] 周爱桃,王 凯.煤与瓦斯突出的灾变规律[M].徐州:中国矿业大学出版社,2014.

[3] HONGWEI J,QIANTING H,YANBAO L.Failure mechanism of coal and gas outburst initiation[J].Procedia Engineering,2011,26:1352-1360.

[4] BAISHENG N,XIANGCHUN L.Mechanism research on coal and gas outburst during vibration blasting[J].Safety Science,2012,50(4):741-744.

[5] RUILIN Z,LOWNDES I S.The application of a coupled artificial neural network and fault tree analysis model to predict coal and gas outbursts[J].International Journal of Coal Geology,2010,84(2):141-152.

[6] 崔鸿伟.煤巷掘进工作面突出预测指标及其临界值研究[J].煤炭学报,2011,36(5):808-811.CUI Hongwei. Research on the prediction indexes of coal roadway heading face outburst and its critical value[J].Journal of China Coal Society,2011,36(5):808-811.

[7] 金洪伟.煤与瓦斯突出发展过程的实验与机理分析[J].煤炭学报,2012,37(S1):98-103.JING Hongwei,Experiment and mechanism analysis of the develo⁃ping process of coal and gas outburst[J].Journal of China Coal So⁃ciety,2012,37(S1):98-103.

[8] 王 刚.煤与瓦斯突出后的灾变损害及破坏特征[D].青岛:山东科技大学,2008.

[9] 李术才,李清川,王汉鹏,等.大型真三维煤与瓦斯突出定量物理模拟试验系统研发[J].煤炭学报,2018,43(S1):121-129.LI Shucai,LI Qingchuan,WANG Hanpeng,et al.A large-scale three-dimensional coal and gas outburst quantitative physical mod⁃eling system[J].Journal of China Coal Society,2018,43(S1):121-129.

[10] 曹 偈,孙海涛,戴林超,等.煤与瓦斯突出动力效应的模拟研究[J].中国矿业大学学报,2018,47(1):113-120.CAO Jie,SUN Haitao,DAI Linchao,et al.Simulation research on dynamic effect of coal and gas outburst[J].Journal of China Uni⁃versity of Mining & Technology,2018,47(1):113-120.

[11] 李宗翔,王天明,王双勇,等.煤与瓦斯突出矿井通风系统灾害演变仿真研究[J].煤炭学报,2017,42(4):929-934.LI Zongxiang,WANG Tianming,WANG Shuangyong,et al.Simu⁃lation study of ventilation system disaster evolution in coal and gas outburst mine[J].Journal of China Coal Society,2017,42(4):929-934.

[12] 张庆贺,王汉鹏,李术才,等.煤与瓦斯突出物理模拟试验中甲烷相似气体的探索[J].岩土力学,2017,38(2):479-486.ZHANG Qinghe,WANG Hanpeng,LI Shucai,et al.Exploration of similar gas like methane in physical simulation test of coal and gas outburst[J].Rock and Soil Mechanics,2017,38(2):479-486.

[13] 王汉鹏,李清川,袁 亮,等.煤与瓦斯突出模拟试验型煤相似材料研发与特性分析[J].采矿与安全工程学报,2018,35(6):1277-1283.WANG Hanpeng,LI Qingchuan,YUAN Liang,et al.Similar mate⁃rial research and property analysis of coal briquette in coal and gas outburst simulation test[J].Journal of Mining & Safety Engi⁃neering,2018,35(6):1277-1283.

[14] YUAN L.Control of coal and gas outbursts in Huainan mines in China:A review[J].Journal of Rock Mechanics and Geotechnical Engineering,2016,8(4):559-567.

[15] 聂百胜,马延崑,孟筠青,等.中等尺度煤与瓦斯突出物理模拟装置研制与验证[J].岩石力学与工程学报,2018,37(5):1218-1225.NIE Baisheng,MA Yankun,MENG Junqing,et al.Middle scale simulation system of coal and gas outburst[J].Chinese Journal of Rock Mechanics and Engineering,2018,37(5):1218-1225.

[16] 王 凯,王 亮,杜 锋,等.煤粉粒径对突出瓦斯-煤粉动力特征的影响[J].煤炭学报,2019,44(5):1369-1377.WANG Kai,WANG Liang,DU Feng,et al. Influence of coal powder particle sizes on dynamic characteristics of coal and gas outburst[J]. Journal of China Coal Society,2019,44(5):1369-1377.

[17] 袁 曦.基于气体驱动的煤与瓦斯突出机理研究[D].重庆:重庆大学,2017.

[18] 苗法田,孙东玲,胡千庭.煤与瓦斯突出冲击波的形成机理[J].煤炭学报,2013,38(3):367-372.MIAO Fatian,SUN Dongling,HU Qianting.The formation mecha⁃nism of shock waves in the coal and gas outburst process[J].Jour⁃nal of China Coal Society,2013,38(3):367-372.

[19] 王 凯,周爱桃,张建方,等.直角拐弯巷道中瓦斯突出冲击气流传播特征研究[J].中国矿业大学学报,2011,40(6):858-862. WANG Kai,ZHOU Aitao,ZHANG Jianfang,et al.Study of the shock wave propagation and gas flow during a coal and gas outburst at the roadway with a right-angled bend[J]. Journal of China University of Mining & Technology,2011,40(6):858-862.

[20] AITAO Z,KAI W,ZEQI W.Propagation law of shock waves and gas flow in cross roadway caused by coal and gas outburst[J].In⁃ternational Journal of Mining Science and Technology,2014,24(1):23-29.

[21] 王雅迪.煤与瓦斯突出时期矿井通风系统灾害演变研究[D].阜新:辽宁工程技术大学,2017.

[22] 吴爱军,蒋承林.煤与瓦斯突出冲击波传播规律研究[J].中国矿业大学学报,2011,40(6):852-857.WU Aijun,JIANG Chenglin.Research on the propagation of shock waves from coal and gas outburst[J].Journal of China University of Mining & Technology,2011,40(6):852-857.

[23] 李宗翔,刘 宇,于景晓,等.突出瓦斯流与矿井通风系统耦合移动仿真[J].重庆大学学报,2012,35(11):111-116.LI Zongxiang,LIU Yu,YU Jingxiao,et al.Dynamic superposition and simulation research on flowing of gas outburst and mine venti⁃lation network[J].Journal of Chongqing University,2012,35(11):111-116.

[24] 杨守国.煤与瓦斯突出判识及灾害气体运移规律研究[D].重庆:重庆大学,2011.

[25] 李成武,杨 威,韦善阳,等.煤与瓦斯突出后灾害气体影响范围试验研究[J].煤炭学报,2014,39(3):478-485.LI Chengwu,YANG Wei,WEI Shanyang,et al.Experimental re⁃search of influence scope of disaster gas after coal and gas outburst[J].Journal of China Coal Society,2014,39(3):478-485.

[26] 鹿广利,李崇山,辛 嵩.集中有害气体在通风网路中传播规律的研究[J].山东科技大学学报:自然科学版,2000(2):120-122. LU Guangli,LI Chongshan,XIN Song.Study on the law of concen⁃trative harmful gas spreading in ventilation networks[J].Journal of Shandong University of Science and Technology:Natural Sci⁃ence,2000,19(2):120-122.

[27] 刘明举,何学秋.含瓦斯煤岩灾害动力学[M].徐州:中国矿业大学出版社,1995.

[28] 冯玉凤,吴则琪,周爱桃.煤与瓦斯突出后上行风巷道并联支路的风流逆转探讨[J].中国煤炭,2012,38(12):83-87.FENG Yufeng,WU Zeqi,ZHOU Aitao.Flow reversals in bypass branch of ascensionally ventilated roadway after coal and gas out⁃burst[J].China Coal,2012,38(12):83-87.

[29] 王 凯,吴则琪,周爱桃,等.旁侧分支风阻对瓦斯风压引起风流逆转的影响[J].应用基础与工程科学学报,2018,26(3):538-549.WANG Kai,WU Zeqi,ZHOU Aitao,et al.Effect of parallel branch wind resistance on methane draft pressure caused airflow reversion[J].Journal of Basic Science and Engineering,2018,26(3):538-549.

[30] 王 凯,吴则琪,周爱桃,等.并联下行通风巷道瓦斯风压诱致风流紊乱研究[J].矿业科学学报,2016,1(1):49-57.WANG Kai,WU Zeqi,ZHOU Aitao,et al.Study on gas flow pres⁃sure caused airflow disorder in parallel downward ventilated road⁃ways[J].Journal of Mining Science and Technology,2016,1(1):49-57.

[31] 唐巨鹏,杨森林,王亚林,等.地应力和瓦斯压力作用下深部煤与瓦斯突出试验[J].岩土力学,2014,35(10):2769-2774.TANG Jupeng,YANG Senlin,WANG Yalin,et al.Experiment of coal and gas outbursts under ground stress and gas pressure in deep mines[J].Rock and Soil Mechanics,2014,35(10):2769-2774.

[32] 熊阳涛,黄 滚,罗甲渊,等.煤与瓦斯突出能量耗散理论分析与试验研究[J].岩石力学与工程学报,2015,34(S2):3694-3702. XIONG Yangtao,HUANG Gun,LUO Jiayuan,et al.Theoretical a⁃nalysis and experimental study of energy dissipation of coal and gas outburst[J].Chinese Journal of Rock Mechanics and Engi⁃neering,2015,34(S2):3694-3702.

[33] HOU Y F,MENG Q R,TONG M M,et al.Study on gas monitoring technology based on information fusion[J].International Journal of Coal Science & Technology,2010,16(1):57-63.

Research status and prospects of the influence of coal and gas outburst on ventilation system

WEI Lianjiang1, LI Sheng1, WEI Zongkang2, WANG Mengwei1

(1.School of Safety Engineering,China University of Mining and Technology,Xuzhou 221116,China;2.School of Mines,China University of Mining and Technology,Xuzhou 221116,China)

AbstractIn order to study the disaster mechanism of the ventilation system during the catastrophic period of coal and gas outburst and the prevention and control mechanism of secondary disasters such as gas explosion,important progress has been made in the study of the influ⁃ence law of coal and gas outburst on the ventilation system. The status of research on the impact law of coal and gas outburst on the ventila⁃tion system is summarized from three aspects:the impact of shock wave on the ventilation system,the influence of outburst gas on the ven⁃tilation system and the influence of outburst coal on the ventilation system: firstly, factors of shock wave damaging ventilation facility and propagation law of shock wave in roadway were analyzed. Secondly, outburst gas migration process in the roadway and its induced down⁃hole wind catastrophe were analyzed,and finally the influencing factors of outburst coal accumulation in the roadway were analyzed.The re⁃sults show that the destruction effect of shock waves is related to shock wave over pressure and other factors and the propagation of shock waves in the roadway is affected by the distance and the type of the roadway. The gas pressure generated by the outburst gas during the movement of the roadway leads to the downhole air flow catastrophe. The accumulation of outburst coal in the roadway is mainly related to the depth of the coal seam and coal and gas outburst intensity. According to the research status of the influence law of coal and gas outburst on the ventilation system, combined with the current coal and gas outburst simulation test conditions, the shortcomings and reasons of the results of the influence of coal and gas outburst on the ventilation system were analyzed. The research results of the influence law of coal and gas outburst on the ventilation system can be applied to the rapid research analysis judgment of the influence range of coal and gas out⁃burst to improve the auxiliary emergency decision-making ability during catastrophic period of coal and gas outburst.

Key wordscoal and gas outburst; ventilation system; shock wave; outburst gas; outburst coal

中图分类号TD713

文献标志码:A

文章编号:0253-2336(2021)03-0100-06

移动扫码阅读

魏连江,李 胜,魏宗康,等.煤与瓦斯突出对矿井通风系统的影响研究现状及展望[J].煤炭科学技术,2021,49(3):100-105.

doi:10.13199/j.cnki.cst.2021.03.012

WEI Lianjiang, LI Sheng, WEI Zongkang,et al.Research status and prospects of the influence of coal and gas out⁃burst on ventilation system [J]. Coal Science and Technology, 2021, 49 (3): 100 - 105.

doi:10.13199/j.cnki.cst.2021.03.012

收稿日期2020-10-25;责任编辑:王晓珍

基金项目国家重点研发计划资助项目(2018YFC0808100)

作者简介魏连江(1976—),男,江苏赣榆人,副教授,硕士生导师,博士。 E-mail:cumtvb@126.com