黔西突出煤的微观孔隙分形特征及其对渗透率的影响

薛海腾1,2,3,李希建1,2,3,陈刘瑜4,刘 钰1,2,3

(1.贵州大学 矿业学院,贵州 贵阳 550025;2.复杂地质矿山开采安全技术工程中心,贵州 贵阳 550025;3.贵州大学 瓦斯灾害防治与煤层气开发研究所,贵州 贵阳 550025;4.中国电建集团贵州电力设计研究院有限公司,贵州 贵阳 550003)

煤层气的运移、赋存与煤体内部孔隙结构密切相关。 为研究贵州突出煤体的微观孔隙对其吸附性能及渗透能力的影响,以黔西青龙煤矿和兴隆煤矿的构造煤与原生煤煤样为研究对象,利用全自动氮吸附仪测得煤样的低温液氮吸附曲线,根据分形理论、毛细管平均迂曲度分形模型、渗透率模型计算得到了煤样的孔隙分形维数Df、毛细管平均迂曲度分形维数DT、渗透率K,并从分形的角度研究了黔西突出煤的微观孔隙分形特征与其吸附性能及渗透率的关系。 研究结果表明:黔西突出煤孔隙度较低,迂曲度τ 较大。 随着毛细管平均迂曲度分形维数DT、迂曲度的增大,瓦斯的最大吸附量VL增加,Langmuir 压力PL降低,瓦斯吸附速度增大。 渗透率K 与DT有较好的负相关关系。 煤的渗透率低、瓦斯吸附能力强是贵州省矿区频发煤与瓦斯突出的主要原因。

关键词构造煤;原生煤;孔隙结构;迂曲度;分形维数;吸附能力;渗透率

0 引 言

煤的渗透率是表征煤层气产量及瓦斯运移规律的重要指标,同时也是防治瓦斯灾害的重要参数[1-3]。 研究[4]表明煤体的渗透特性具有分形特征,且煤的渗透率与其微观孔隙和裂隙分布有密切关系,因此,利用分形理论研究煤的微观孔隙结构特征对瓦斯吸附能力及瓦斯渗透性的影响具有重要的意义。 近年来,诸多学者利用分形理论研究了煤的孔隙结构及其渗透特性。 高为等[5]基于压汞试验,运用分形理论探讨了分形维数与煤储层孔渗性的关系。 李子文等[6]将高压容量法与液氮吸附试验相结合,研究了不同压力阶段分形维数对瓦斯吸附的影响。 郭德勇等[7]得出孔隙度与渗透率的关系,表明渗透率随孔隙度的变化呈幂函数增长。姜文等[8]运用分形理论研究了页岩的孔隙分形特征。 宋晓夏等[9]分析了构造煤吸附孔分形维数与吸附能力的关系,指出分形维数越高,孔表面越粗糙,微孔含量越多,吸附能力越强。 宋昱等[10]将压汞试验与液氮吸附试验相结合方法,分析了menger、热力学、sierrpinski 和FHH 分形模型对构造煤的适用性。 降文萍等[11]分析了不同结构煤体的孔隙特征,说明了煤体破坏强度越大,比表面积和孔体积的分形维数越高,越容易发生煤与瓦斯突出。 胡耀清等[12]揭示了裂隙发育与分形维数的关系,得出煤体的渗透率与分形维数呈正指数函数关系。

综上所述,应用分形理论描述煤的孔隙结构,及其对吸附性能和渗透能力的影响研究取得了一定的进展,但都未考虑煤孔隙迂曲度及毛细管对其吸附性能及渗透性的影响。 因此,笔者以青龙煤矿和兴隆煤矿的构造煤和原生煤为研究对象,通过计算不同煤样毛细管平均迂曲度分形维数DT,分析了DT对瓦斯吸附及其渗透率的影响,为进一步开发该地区煤层气及瓦斯灾害防治提供重要参考。

1 试 验

试验样品分别取自青龙煤矿16 煤遇断层处构造煤和原生结构煤,兴隆煤矿1802 运输巷约258 m处原生煤和1802 回风巷约149 m 断层带处构造煤。利用全自动工业分析仪对煤样进行工业分析,通过美迪全自动密度仪进行煤样表观/骨架密度测定,测得的结果见表1。

液氮吸附孔径测定采用贝士德3H-2000PS1/2型静态容量法比表面及孔径分析仪对4 种煤样进行孔径分析,孔径测试范围为0.35 ~400.00 nm,试验所测煤样孔隙参数见表2。 在恒温下,对应一定的吸附质压力,在固体的表面上存在一定量的气体吸附,通过测定一定压力下的吸附量,可以得到吸附等温线。 试验所测4 种煤样的液氮吸附曲线如图1 所示。 图1 中,p0 为气体吸附达到饱和蒸气压;p 为平衡压力;p/p0 为相对压力。

表1 煤样参数
Table 1 Coal sample parameters

煤样 Mad/% Aad/% Vdaf/% 表观密度/(g·cm-3) 骨架密度/(g·cm-3) 孔隙度φ/%青龙煤矿构造煤 3.42 22.96 8.75 1.54 1.61 4.35青龙煤矿原生煤 2.18 10.06 7.14 1.43 1.51 5.30兴隆煤矿构造煤 5.42 10.41 8.10 1.49 1.56 4.49兴隆煤矿原生煤 3.15 7.58 7.50 1.37 1.43 4.20

表2 孔隙参数
Table 2 Pore parameters

煤样 BET 比表面积/(m2·g-1) 孔容/(mL·g-1) 平均孔直径/nm 最可几孔径/nm青龙煤矿构造煤 0.976 2 0.004 7 19.26 2.98青龙煤矿原生煤 0.199 1 0.002 3 46.21 4.21兴隆煤矿构造煤 1.471 3 0.005 4 14.68 2.98兴隆煤矿原生煤 0.844 0 0.002 5 11.85 2.69

由图1 可知,除青龙煤矿原生煤煤样,其余煤样在相对压力较小(p/p0<0.3)时,均出现明显的滞后现象,而青龙煤矿原生煤煤样吸附解吸等温曲线重合,究其原因在低压阶段青龙煤矿原生煤煤样微孔尤其发育,难以发生毛细管凝聚现象,滞后现象消失,在此阶段气体分子和煤体之间的作用力主要是范德华力;随着相对压力升高且逐渐趋向于1 时,4种煤样吸附等温曲线和解吸等温曲线先升高后逐渐趋于重合,此时气体分子和煤体之间的作用力主要是毛细管凝聚力。 由此说明在不同的压力阶段煤体吸附甲烷的机制有很大的差异。 同时由图1 可知,在相对压力约为0.5 时,构造煤和原生煤解吸等温曲线均出现“拐点”,也表明不同压力段煤对气体的吸附具有差异。 不同压力阶段煤对气体吸附性差异主要受到煤体微观孔隙结构的控制,而分形维数可以更好地表征煤的微观孔隙结构特征,因此,分析煤体的微观孔隙分形特征,可以更好地深入分析其对煤的渗透率的影响。

图1 液氮吸附/解吸等温曲线
Fig.1 Adsorption/desorption isotherm curves of liquid nitrogen

2 煤的孔隙分形特征与渗透率的关系

2.1 分形维数计算

利用液氮吸附试验计算分形维数的方法有BET(Brunauer-Emmett-Teller) 模型、FHH(Frenkel-Halsey-Hill)模型、热力学模型等,其中FHH 模型应用最为广泛,计算方法为[13]

式中:V 为平衡压力p 下的气体吸附量,cm3/g;B 为拟合直线斜率;A 为常数。

表3 分形维数计算结果
Table 3 Calculation results of fractal dimension

煤样 B Df =B+3 Df =3B+3青龙煤矿构造煤 -0.44 2.56 1.65青龙煤矿原生煤 -0.48 2.52 1.56兴隆煤矿构造煤 -0.36 2.64 1.92兴隆煤矿原生煤 -0.25 2.75 2.25

依据前人研究成果[4,8],B 与分形维数Df 成线性关系,通常有2 种计算式:Df =B+3 和Df =3B+3。采用2 种方法计算的分形维数结果见表3,根据分形维数的数值范围(2<Df<3)可知:用公式Df =K+3计算结果与实际更符合。 因此,笔者计算分形维数的公式为

2.2 毛细管平均迂曲度分形维数

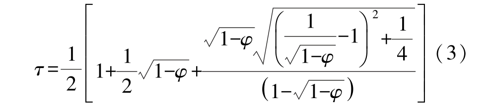
煤岩是典型的多孔介质,其内部大量孔隙形成了非常复杂的流体运移通道,瓦斯在通道内流动的迂回程度可由迂曲度τ 表示,表达式[14]

式中,φ 为孔隙度。

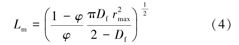
二维空间毛细管的特征长度Lm可表示为[15]

式中:Df为分形维数,二维空间内,1<Df <2,三维空间内,2<Df<3。

COSTA[16]认为三维空间和二维空间孔隙分形维数的数值差为1,因此可以用二维空间孔隙分形维数求得三维空间孔隙分形维数; rmax 为最大孔隙半径,μm。

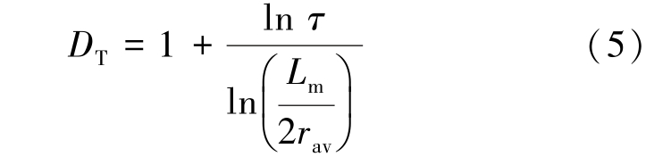
毛细管平均迂曲度分形维数DT和迂曲度τ、平均毛细管半径rav 的函数关系为

式中:rav 为平均毛细管半径,rav =Df rmin/(Df -1) ;rmin为最小孔隙半径,μm。

将孔隙度代入式(3)可求得煤体孔隙迂曲度,由式(4)可得煤岩毛细管特征长度,将式(3)、式(4)所得结果代入式(5)可得煤岩毛细管平均迂曲度分形维数DT,计算结果见表4。

2.3 DT、τ 对瓦斯吸附的影响

煤的吸附能力与其物理性质有着极其重要的关系。 在Langmuir 方程中VL代表最大单分子层的吸附能力;PL代表吸附量达到VL一半时的压力,因此DT、τ 与VL、PL有着密切的联系,如图2 所示。

表4 毛细管平均迂曲度分形维数计算结果
Table 4 Calculation result of capillary mean tortuosity fractal dimension

煤样 DT rav τ青龙煤矿构造煤 1.33 0.57 11.87青龙煤矿原生煤 1.30 0.55 8.84兴隆煤矿构造煤 1.34 0.55 13.00兴隆煤矿原生煤 1.32 0.54 13.00

图2 DT、τ 对瓦斯吸附的影响
Fig.2 Effect of DT and τ on gas adsorption

随着DT、τ 的增大,VL 逐渐增大,PL 逐渐减小。主要是因为随着DT的增大,煤孔隙表面越粗糙,比表面积越多,可供瓦斯吸附的点位增多,而随着τ 的增大,瓦斯运移所经过路径复杂,瓦斯难以从煤层中释放出来,故瓦斯的吸附能力增强。 而PL逐渐减小,说明瓦斯吸附时所需的能量减少,瓦斯吸附速度加快,反之说明,VL增大,PL减小,更有利于瓦斯解吸。

2.4 DT对渗透率的影响

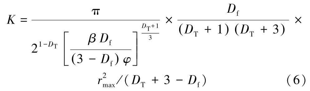
煤岩渗透率与其孔隙度和微观孔隙结构有密切关系,通过分形维数、孔隙度及迂曲度与渗透率的关系可估算出其理论值,其表达式为[17]

式中:K 为渗透率,10-3 μm2;β 为常数,β =4π/3。

将上述所得参数代入式(6)可得构造煤和原生煤的理论渗透率K。

渗透率是反映煤岩储层渗透特性的重要参数,其大小与煤岩表面粗糙程度以及孔隙结构的复杂程度有一定的相关性。 由图3 可知,无论是构造煤还是原生结构煤,渗透率K 随DT的增大而减小,两者具有较好的负相关性(图3)。

对同一研究区煤样,青龙煤矿构造煤的渗透率K均小于原生煤,但随着DT的增加,兴隆煤矿构造煤的渗透率逐渐大于原生煤,究其原因贵州省区域煤层都较为复杂,无论是原生煤还是构造煤,其原生孔隙结构受破坏程度较大,孔隙结构都较为复杂,渗透性较差,与其他区域内的煤有较大区别,这也是贵州省矿区频发煤与瓦斯突出的重要原因。

图3 分形维数对渗透率的影响
Fig.3 Effect of fractal dimension on permeability

3 结 论

1)相对压力p/p0 <0.3 时,气体分子和煤体之间的作用力主要是范德华力;相对压力趋向于1.0 时,气体分子和煤体之间的作用力主要是毛细管凝聚力。

2)贵州突出煤的孔隙度较小,迂曲度较大,瓦斯吸附能力较强。 随DT和τ 的增大贵州突出煤的最大吸附量VL线性增大,Langmuir 压力PL逐渐减小,瓦斯吸附速度增大。

3)随DT的增大,渗透率K 逐渐减小。 渗透率低、瓦斯吸附能力强是贵州省矿区频发煤与瓦斯突出的主要原因。

参考文献References):

[1] 李波波,杨 康,袁 梅,等.不同温度下孔隙压力对煤岩渗流特性的影响机制[J].地球科学,2017,42(8):1403-1412.LI Bobo,YANG Kang,YUAN Mei,et al. Mechanism of pore pressure on coal flow seepage characteristics at different temperatures[J].Earth Science,2017,42(8):1403-1412.

[2] 任崇鸿,李波波,杨 康,等.考虑分形效应的煤岩损伤模型及渗透率模型[J].中国安全科学学报,2019,29(2):63-68.REN Chonghong,LI Bobo,YANG Kang,et al. Coal rock damage model and permeability model considering fractal effect[J].Chinese Journal of Safety Science,2019,29(2):63-68.

[3] 高建良,刘佳佳,张学博.采空区渗透率对瓦斯运移影响的模拟研究[J].中国安全科学学报,2010,20(9):9-14.GAO Jianliang, LIU Jiajia, ZHANG Xuebo. Simulation of the influence of permeability of goaf on gas migration[J]. Chinese Journal of Safety Science,2010,20(9):9-14.

[4] 李子文,林柏泉,郝志勇,等.煤体多孔介质孔隙度的分形特征研究[J].采矿与安全工程学报,2013,30(3):437-448.LI Ziwen,LIN Boquan,HAO Zhiyong,et al.Fractal characteristics of porosity of porous media in coal[J].Journal of Mining & Safety En⁃gineering,2013,30(3):437-448.

[5] 高 为,易同生,金 军,等.黔西地区煤样孔隙综合分形特征及对孔渗性的影响[J].煤炭学报,2017,42(5):1258-1265.GAO Wei,YI Tongsheng,JIN Jun,et al.Comprehensive fractal char⁃acteristics of coal sample pores in the western Yunnan area and its influence on pore permeability[J].Journal of China Coal Society,2017,42(5):1258-1265.

[6] 李子文,郝志勇,庞 源,等.煤的分形维数及其对瓦斯吸附的影响[J].煤炭学报,2015,40(4):863-869.LI Ziwen,HAO Zhiyong,PANG Yuan,et al.Fractal dimension of coal and its influence on gas adsorption[J].Journal of China Coal Society,2015,40(4):863-869.

[7] 郭德勇,李春娇,张友谊.平顶山矿区原生结构煤和构造煤孔渗实验对比[J].地球科学,2014,39(11):1600-1606.GUO Deyong,LI Chunjiao,ZHANG Youyi.Comparison of porosity tests of primary structural coal and tectonic coal in Pingdingshan mining area[J].Earth Science,2014,39(11):1600-1606.

[8] 姜 文,唐书恒,曹 晖,等.基于低温氮吸附试验的页岩孔隙分形特征研究[J].煤炭科学技术,2016,44(9):167-177.JIANG Wen,TANG Shuheng,CAO Hui,et al.Fractal characteristics of shale pores based on low temperature nitrogen adsorption test[J].Coal Science and Technology,2016,44(9):167-177.

[9] 宋晓夏,唐跃刚,李 伟,等.中梁山南矿构造煤吸附孔分形特征[J].煤炭学报,2013,38(1):134-139.SONG Xiaoxia,TANG Yuegang,LI Wei,et al. Fractal characteristics of structural coal adsorption pores in Zhongliangshannan Mine[J].Journal of China Coal Society,2013,38(1):134-139.

[10] 宋 昱,姜 波,李凤丽,等.低-中煤级构造煤纳米孔分形模型适用性及分形特征[J].地球科学,2018,43(5):1611-1622.SONG Yu,JIANG Bo,LI Fengli,et al.Applicability and fractal charac⁃teristics of nano-hole fractal model of low-medium-scale coal struc⁃tured coal[J].Earth Science,2018,43(5):1611-1622.

[11] 降文萍,宋孝忠,钟玲文.基于低温液氮实验的不同煤体结构煤的孔隙特征及其对瓦斯突出影响[J].煤炭学报,2011,36(4):609-614.JIANG Wenping,SONG Xiaozhong,ZHONG Lingwen.Pore charac⁃teristics of coal with different coal structures based on low tempera⁃ture liquid nitrogen experiment and its influence on gas outburst[J].Journal of China Coal Society,2011,36(4):609-614.

[12] 胡耀清,赵阳升,杨 栋,等.煤体的渗透性与裂隙分维的关系[J].岩石力学与工程学报,2002,21(10):1452-1456.HU Yaoqing,ZHAO Yangsheng,YANG Dong,et al.Relationship between coal permeability and fracture fractal dimension [J].Chinese Journal of Rock Mechanics and Engineering,2002,21(10):1452-1456.

[13] PFEIFER P,WU Y J,COLE M W,et al.Multilayer adsorption on a fractally rough surface[J].Physical Review Letters,1989,62(17):1997-2000.

[14] XU P,YU B M.Developing a new form of permeability and Kozeny-Carmanconstant for homogeneous porous media by means of fractal geometry[J].Advances in Water Resources,2008,31(1):74-81.

[15] YU B M,LI J H.A Geometry model for tortuosity of flow path in porous media[J].Chinese Physics Letters,2004,21(8):1569-1571.

[16] COSTA A.Permeability-porosity relationship:A reexamination of the Kozeny-Craman equation based on a fractal pore⁃spacegeometry assumption [ J ]. Geophysical Research Letters, 2006, 33(2):L02318.

[17] 白瑞婷,李治平,南珺祥,等.考虑启动压力梯度的致密砂岩储层渗透率分形模型[J].天然气地球科学,2016,27(1):142-148.BAI Ruiting,LI Zhiping,NAN Junxiang,et al.Fractal model of per⁃meability of tight sandstone reservoir considering pressure gradient[J].Natural Gas Geoscience,2016,27(1):142-148.

Micro-pore fractal characteristics of outburst coal in Western Guizhou and its influence on permeability

XUE Haiteng1,2,3,LI Xijian1,2,3,CHEN Liuyu4,LIU Yu1,2,3

(1.Mining College, Guizhou University, Guiyang 550025, China; 2. Engineering Center for Safe Mining Technology Under Complex Geologic Condition,Guiyang 550025, China; 3.Institute of Gas Disaster Prevention and Coalbed Methane Development of Guizhou University 550025, China;4.China Power Construction Group Guizhou Electric Power Design and Research Institute Co., Ltd., Guiyang 550003,China)

AbstractThe migration and occurrence of coalbed methane are closely related to the internal pore structure of coal. In order to study the influence of the microscopic pores of the prominent coal bodies in Guizhou on their adsorption performance and permeability,the structural coal and primary coal samples of Qinglong and Xinglong Coal Mines in Western Guizhou were taken as the research objects and the coal samples were measured by an automatic nitrogen adsorption instrument. The low-temperature liquid nitrogen adsorption curve was calculat⁃ed based on the fractal theory, capillary mean tortuosity fractal model and permeability model, the pore fractal dimension Df, capillary mean tortuosity fractal dimension DT, and permeability K are calculated according to the fractal theory. The relationship between the mi⁃croscopic pore fractal characteristics of outburst coal in Western Guizhou and its adsorption performance and permeability was studied. The results show that outburst coal in Western Guizhou has low porosity and large tortuosity (τ). As the fractal dimension (DT) and tortuosity of capillary mean tortuosity increase, the maximum gas adsorption capacity VL increases, the Langmuir pressure PL decreases, and the gas adsorption speed increases. There is a good negative correlation between permeability K and DT.Low coal permeability and strong gas ad⁃sorption capacity are the main reasons for frequent coal and gas outburst in mining areas in Guizhou Province.

Key wordsstructural coal; primary coal; pore structure; tortuosity; fractal dimension; adsorption capacity; permeability

中图分类号P618.11

文献标志码:A

文章编号:0253-2336(2021)03-0118-05

移动扫码阅读

薛海腾,李希建,陈刘瑜,等.黔西突出煤的微观孔隙分形特征及其对渗透率的影响[J].煤炭科学技术,2021,49(3):118-122.

doi:10.13199/j.cnki.cst.2021.03.015

XUE Haiteng,LI Xijian,CHEN Liuyu,et al.Micro-pore fractal characteristics of outburst coal in Western Guizhou and its influence on permeability[J].Coal Science and Technology,2021,49(3):118-122.

doi:10.13199/j.cnki.cst.2021.03.015

收稿日期2020-11-02;责任编辑:王晓珍

基金项目国家自然科学基金资助项目(51874107);贵州省科技计划资助项目(黔科合平台人才〔2018〕5781 号)

作者简介薛海腾(1994—),男,山西大同人,硕士研究生。 E-mail:1014132071@qq.com