构造区回采煤层瓦斯迁移规律分析

李 普1,2,张小东1,3

(1.河南理工大学 能源科学与工程学院,河南 焦作 454000;2.郑州煤炭工业(集团)有限责任公司,河南 郑州 450042;3.中原经济区煤层(页岩)气河南省协同创新中心,河南 焦作 454000)

摘 要:煤与瓦斯突出是煤层资源回采过程中一种常见的动力灾害,严重影响着生产作业的安全,而构造区则是煤与瓦斯突出灾害发生的主要区域。为了深入了解构造区煤与瓦斯突出的作用机理,以大平煤矿吴庄逆断层为研究主体,通过COMSOL数值模拟软件,建立了包含断层构造的二维矿山地质模型。然后将固体力学与达西定律模型进行耦合,对距离断层不同距离回采时煤层工作面的地应力、瓦斯压力分布和瓦斯迁移规律进行了研究。研究结果显示:①当回采工作面距断层450 m时,工作面应力提升为原岩应力的两倍,瓦斯流动状态为层流,在工作面前方20 m处瓦斯压力最大;②当回采工作面距离断层50 m时,工作面应力提高为原岩应力的3倍以上,瓦斯流动状态由层流变为紊流,工作面前方30 m范围内瓦斯压力均处于较高值;③回采结束后,瓦斯渗流速度迅速增大,在1 h后达到渗流速度达到最大,此时为煤与瓦斯突出灾害发生的高风险时间段,随后渗流速度将逐渐降低,突出风险也逐渐降低。因此为了保证回采的安全性,不仅要在回采前通过煤层注水、预掘疏压硐室等方式降低煤层应力状态,且需要采用水力冲孔、瓦斯抽采或其他有效方式降低瓦斯压力。通过对回采后煤层瓦斯迁移规律的研究,可以对通风设计与煤与瓦斯灾害防治提供有效的依据。

关键词:煤与瓦斯突出;构造区;瓦斯迁移;断层;煤矿安全

0 引 言

煤与瓦斯突出是煤矿开采过程中的常见事故,其中地质构造区发生的突出事故更是占突出事故总数的80%以上[1-2]。构造区地质条件复杂,导致煤岩结构与力学性质差异较大[3],且明显的应力集中现象与高瓦斯体积分数都是诱发煤与瓦斯突出灾害发生的重要因素[4-6]。雷东记等[7]通过实例研究了逆断层周围的应力场分布与瓦斯异常分布情况,确定了断层带瓦斯异常区域范围。李恒乐等[8]对重庆煤矿区的地质特征与瓦斯赋存条件进行研究后,认为煤与瓦斯突出主要发生在地质构造变动比较剧烈的应力集中区。石永生[9]通过现场实测陈四楼煤矿的瓦斯含量,基于板块构造动力学分析了该矿区的构造演化规律,研究了地质构造对煤层瓦斯赋存规律的控制作用。除了现场研究外,不少学者通过数值模拟的方法对构造区煤与瓦斯突出问题进行了研究,王恩营等[10]采用ANSYS软件对滑动构造带的顺层面和切层面应力分布规律进行了研究;邵德全[11]采用FLAC3D数值模拟的手段,对工作面沿断层推进时采动应力分布状态及规律进行了研究;高魁等[12]通过数值模拟分析发现复合构造带逆断层的转折部位是其附近空间应力分布最为集中的部位。王浩等[13]采用3DEC数值模拟软件研究了隐伏断层活化诱发石门揭煤突出问题,揭示了开采扰动、断层活化、煤与瓦斯突出之间的因果关系。焦建康等[14]利用FLAC3D软件进行三维数值模拟,给出了断层区应力分布与煤与瓦斯突出的关系。但目前主要是对构造区回采过程中的应力变化情况进行了研究,关于瓦斯迁移的研究较少。

笔者主要基于COMSOL Multiphysics数值模拟软件,对煤层回采过程中的瓦斯迁移规律进行分析,深入研究构造区煤与瓦斯突出的作用机理。

1 地质概况

郑煤集团大平煤矿位于河南省登封市与新密市交界处,属华北型石炭二叠纪含煤地层。地层除缺失奥陶系上统~石炭系下统外,其余震旦系、寒武系、奥陶系、石炭系、二叠系、三叠系在本区均有出露,地层总厚约3 000 m。

根据地表出露及钻孔揭露情况,本区地层由老至新分别为奥陶系中统马家沟组(O2 m),以浅灰-灰色石灰岩为主,隐晶质结构,上部具溶蚀现象及缝合线,下部含角砾状灰岩,为区内较好的标志层。石炭系上统本溪组(C2 b)以浅灰色铝土岩为主,具鲕状和豆状结构,含黄铁矿结核及团块;太原组(C2t)由中-厚层状石灰岩、深灰色泥岩、砂质泥岩、砂岩和煤层组成。二叠系下统山西组(P1 sh)由灰-深灰色泥岩、砂质泥岩、砂岩和煤层组成,为井田主要含煤地层,含煤2层(二0、二1),其中二1煤全区可采;下石盒子组(P1x)由灰色泥岩、砂质泥岩、铝质泥岩和砂岩组成,岩性较好;上统上石盒子组(P2 s)由灰绿色、灰色、紫色泥岩、砂质泥岩和中、粗粒砂岩组成,硅质胶结,具大型交错层理,发育稳定,易于识别。第4系(Q)以黄土层、砾石层为主,局部黄土夹砾石,松散,透水性强。

大平煤矿位总体构造形态基本为一轴向近东西、向东倾伏的向斜构造——大冶向斜,地层走向大致近东西。区内断裂构造比较发育,共查明落差大于5 m的断层35条,以逆断层为主;其中吴庄逆断层产状150°~190°,∠30°~65°,H=40~145 m,东大西小,影响区域较广。

1煤层是大平煤矿主采煤层,本煤层具有层位稳定、易于对比、结构简单,分布较广的特点,大部分不含夹矸,少量夹矸岩性为黑色泥岩或砂质泥岩,炭质含量较高,瓦斯含量高[15-16],属于全区普遍可采的中厚-特厚煤层。煤厚0.52~29.83 m,平均6.77 m,煤厚变化较大。煤厚异常点往往分布于断层交汇处或断层转折端。如吴庄逆断层上盘11291工作面,煤厚由12 m突变为1.5 m,煤厚及岩层揉搓现象明显;吴庄逆断层下盘附近的13煤柱面南部煤厚由29.83 m突变至1.1 m。图1为大平煤矿岩层与煤层的赋存情况。

图1 地层与煤层赋存情况剖面
Fig. 1 Profile of strata and coal seam occurrence

地质构造对瓦斯赋存情况影响较大,大冶向斜为井田内的主体构造,控制了整个井田瓦斯含量的分布趋势。井田中部向斜轴部东西一线为瓦斯含量高值区,井田南北浅部向斜两翼瓦斯含量较低。吴庄逆断层是井田内最大的控制性断层,以小角度斜切大冶向斜轴迹一线,在断层两盘形成了瓦斯高值区。该矿井二1煤层全层构造煤,煤质松软、透气性差,目前开采区域14091工作面邻近吴庄逆断层,受断层影响地应力条件复杂,瓦斯压力大、抽采困难,煤层回采难度高,煤与瓦斯突出风险较大,因此确定断层的影响范围及危险回采区域是目前亟需解决的问题。

2 数值模型建立

2.1 研究模块确定

为了更加合理地在吴庄逆断层附近部署回采工作,在保证安全的情况下提高回采量,有必要对回采过程中距离断层不同距离时工作面的应力分布,瓦斯压力分布及瓦斯迁移规律进行研究。

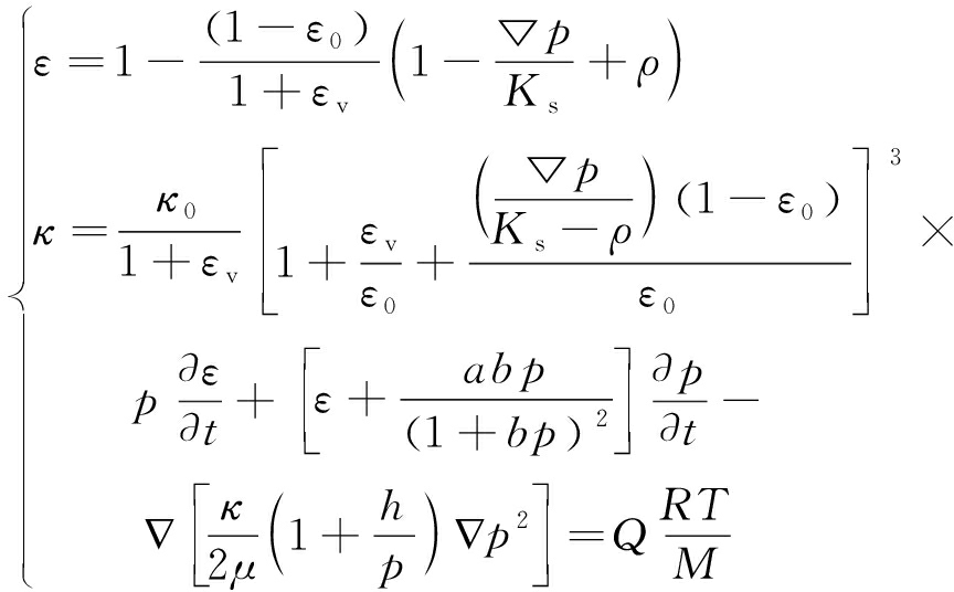
煤可以看作一种可被瓦斯吸附的多孔介质,当多孔介质受到外部载荷作用时,其孔隙的体积分数会受到影响,瓦斯也会随着压力的变化发生吸附与解吸。在机械应力作用下,含流体的孔隙会经受压力变化,从而引起流体运动[17-19]。随着孔隙体积的改变,固体材料会相应地发生位移和弹性变形。使用Comsol数值模拟软件中的固体力学模块、达西定律模块与多孔介质稀物质传递模块中的吸附功能耦合,通过含瓦斯煤岩的变形、渗流、解吸方程组(1)可以有效模拟流固耦合下的瓦斯迁移情况[20]

(1)

式中:ε为煤岩的孔隙度;ε0为煤岩的初始孔隙度;εv为煤岩体积应变;Ks煤岩的体积模量;p为瓦斯压力;ρ为瓦斯密度;κ为煤岩的渗透率;κ0为煤岩的初始渗透率;a,b为煤岩吸附常数;μ为瓦斯的动力黏度;h为煤的高度;Q为单位体积瓦斯含量;R为摩尔气体常数;T为温度;M为摩尔质量;t为时间。

2.2 建立数值模型

平面模型尺寸为800 m(长)×700 m(高),为了便于建模将地层简化,从上至下依次为表土、砂岩、泥岩、断层、煤层、石灰岩。采用自由三角形单位,为了提高计算精度在断层与煤层处增加网格密度,共划分单元数7 538个,节点数3 874个,平均单元质量0.894 1。

图2 网格划分示意
Fig. 2 Schematic diagram of grid division

2.3 参数取值

Mohr-Coulomb准则对主应力空间内的六棱锥进行了定义,这为直接对该准则进行分析提供了很大的便利。但是,由于尖角的存在,在数值模拟过程收敛性较差。

在Drucker-Prager屈服准则的基础上匹配Mohr-Coulomb准则可以有效避免与尖角有关的问题[21-22]

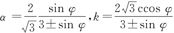
其中Drucker-Prager屈服准则的参数αk由式(2)确定:

(2)

式中,φ为内摩擦角。

根据工程测定,岩体与瓦斯的固体力学参数见表1。

表1 岩体的固体力学参数
Table 1 Solid mechanical parameters of rock mass

岩性容重/(kN·m-3)弹性模量/GPa泊松比抗拉强度/MPa黏聚力/MPa内摩擦角/(°)黄土18.30.050.350.130.11325.3砂岩25.38.280.180.720.83140.4泥岩23.84.660.210.460.66430.7煤岩15.80.550.310.260.48427.1石灰岩27.612.810.221.831.21554.0断层7.10.010.470.030.05021.4

煤岩、瓦斯的流体力学参数如下:

2.4 边界条件

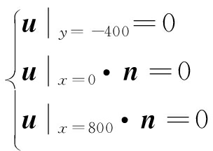
边界满足方程(3):

(3)

垂直方向上考虑自重应力,水平方向上考虑构造应力,根据现场地应力测试结果,水平构造应力为6.03 MPa。

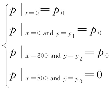
结合现场测试结果设置煤层原始瓦斯压力p0=1 MPa,煤层边界压力满足方程(4),其中y1∈(-74,-55)∪(-173,-154), y2∈(-320,-308),y3∈(110,120)。

(4)

3 模拟结果分析

3.1 初始地应力与瓦斯压力分布

采用稳态求解器求得初始地应力分布情况如图3所示,矿区开采前主要为自重荷载,与水平荷载,初始地应力分布从上至下大致呈逐渐增大趋势。由于断层及煤层与其他岩层相比强度较低,因此断层上盘与断层下盘相比应力较大,断层对应力传递起到了隔绝作用,煤层顶底板应力集中现象严重。图4所示显示了煤层顶板的应力与瓦斯压力分布情况,受向斜构造与断层构造的影响,顶板应力沿x轴方向先减小后增大,在向斜底部应力最小,在断层前方约50 m处应力最大,可达到15 MPa。开采前煤层瓦斯压力约在1 MPa,在断层前段受构造影响压力有小幅度的提高。

图3 煤层初始地应力分布
Fig. 3 Distribution of initial geo stress of coal seam

图4煤层顶板初始应力与瓦斯压力分布曲线
Fig. 4 Distribution of initial stress and gas pressure of coal seam roof

3.2 回采后应力变化分析

采用瞬态求解器求解了煤层回采100 m(距断层450 m)与回采500 m(距断层50 m)后2个月内的应力与瓦斯变化情况。

图5绘制了煤层回采100 m与500 m时的应力变化情况,用回采结束2个月后的最终地应力与初始地应力做差得回采后地应力变化情况。回采长度为100 m时,煤层工作面附近应力重分布,可以明显看出煤层工作面出现应力集中现象,应力增大10 MPa左右,约为原岩应力的2倍,顶板部分区域出现拉应力区,底板应力出现小幅增长;回采长度为500 m时,可以明显工作面应力集中现象更加明显,工作面应力约增加25 MPa,增大为原岩应力的3倍以上,此时工作面附近的顶板应力也大幅增大,相较于顶板,底板的应力集中现象更加明显。总的来说在开采扰动的影响下,煤层顶板砂岩和底板石灰岩应力变化较大,顶板砂岩上覆的泥岩受扰动影响较小,底板石灰岩下覆的煤层一1受开挖影响应力略有降低。距断层450 m回采时,原岩应力较小,且回采后应力涨幅较小,但距离断层50 m回采时,原岩应力较大,且涨幅也更大。

图5 不同回采距离应力变化规律
Fig. 5 Stress variation law of different mining distance

3.3 工作面瓦斯迁移规律分析

图6显示了回采长度为100 m时,煤层工作面前方一定范围内瓦斯渗流速度在不同时间的分布情况。未开挖时,煤层内瓦斯几乎无流动,开挖15 min后流速最大在工作面前30 m处,流速约为0.03 mm/s,并在1 h后增大到0.15 mm/s,随后在几天内保持稳定,开挖2个月后最大渗流速度降低至0.06 mm/s。由图中可以看出瓦斯在开挖后瓦斯流向稳定,大致都由煤层向工作面流动,仅在工作面前20~30 m区间内出现瓦斯向煤层内流动现象。选取瓦斯流速最大的时刻t=1 d,绘制煤层瓦斯压力云图,如图7所示。由图7可以看出在低渗透性煤层开挖后,由于应力突然集中,孔隙压力增大,瓦斯来不及排放,在工作面前20 m处形成高瓦斯压力区,此区域瓦斯压力增大了20%。这也可以解释在工作面前20~30 m范围内出现的瓦斯向煤层内部流动的现象。

图6 回采100 m后掘进方向瓦斯渗流速度
Fig.6 Gas seepage velocity diagram in heading direction after 100 m mining

图7 回采100 m后瓦斯压力分布图(t=1 d)
Fig. 7 Gas pressure distribution map after 100 m stoping(t=1 d)

图8显示了回采工作面距断层50 m时,煤层工作面至断层范围内瓦斯渗流速度在不同时间的分布情况。未开挖时,工作面瓦斯无流动,断层处瓦斯流速为0.11 mm/s,为无扰动的断层面瓦斯渗流速度,开挖后由于回采扰动荷载的影响,瓦斯渗流速度迅速增加,在1 h时最大渗流速度达到0.52 mm/s,流速是回采100 m距离同一时间流速的3.5倍,并基本保持长达数天时间,随后开始降低在开挖后60 d时,最大渗流速度降低为0.19 mm/s,仍高于开采前渗流速度,可见断层附近受构造影响煤体更加破碎,增大了煤体的渗透性,且与回采长度为100 m的渗流对比,此时渗流流速更高,由于应力梯度更大,导致流动稳定性更低。绘制t=1 d时刻的煤层瓦斯压力云图,如图9所示。由图9可以看出与距断层450 m工作面瓦斯压力分布情况类似,在工作面前20 m处为高瓦斯应力区,但与距断层450 m工作面瓦斯压力相比,此时瓦斯压力约增幅30%。

图8 回采500 m后掘进方向瓦斯渗流速度
Fig. 8 Gas seepage velocity diagram in heading direction after 500 m mining

图9 回采500 m时瓦斯压力分布(t=1 d)
Fig.9 Gas pressure distribution map at 500 m stoping(t=1 d)

从距离断层不同距离回采后工作面瓦斯流动情况可以看出,工作面前20 m附近为高瓦斯压力区,提取工作面前20 m处瓦斯压力随时间的变化曲线,如图10所示。可以看出回采后,瓦斯压力迅速增大,并在1 d时间内达到瓦斯压力的最大值,然后瓦斯压力开始逐渐降低。远离断层开采时,瓦斯压力变化曲线较平滑,最大瓦斯压力可到1.21 MPa,在回采10 d后,瓦斯压力达到稳定状态,略低于原始瓦斯压力。靠近断层回采时,瓦斯压力在开采1 d后达到最大值1.3 MPa,并在随后半天时间内保持在峰值附近,在回采15 d后瓦斯压力趋于稳定。可以看出靠近断层回采时,瓦斯压力更大,且持续时间较长,回采风险更高。

图10 工作面前20 m处瓦斯压力变化
Fig.10 Gas pressure change diagram at 20 m before working face

3.4 工作面应力与瓦斯压力分布规律

图11显示了距断层不同距离的工作面应力与瓦斯压力分布情况,由图11a可以看出工作面应力不断降低,但瓦斯压力在工作面前20 m处达到最高,究其原因为工作面处应力较高,瓦斯渗流速度较快,瓦斯压力降低,但由于煤岩渗透性较差,工作面后应力虽有降低,但瓦斯无法流出,导致瓦斯压力在20 m处达到最大。图11b可以看出,工作面应力变化趋势与图11a类似,但受断层影响应力整体提高约40%,瓦斯压力在工作面前30 m均较处于较高值。

在距离断层50 m内区域回采时,应力与瓦斯压力均处于较大值,且瓦斯流向紊乱,因此为了保证回采的安全性,不仅要在回采前通过煤层注水、预掘疏压硐室等方式降低煤层应力状态,且需要采用水力冲孔、瓦斯抽采或其他有效方式降低瓦斯压力。

图11 至断层不同距离工作面瓦斯压力与应力分布
Fig.11 Gas pressure and stress distribution on working face at different distances from the fault

4 结 论

1)在距断层450 m回采时,工作面应力约为原岩应力的2倍,当回采距断层50 m时,工作面应力增大为原来的3倍以上,应力的突增将极大的增加煤与瓦斯突出的风险。

2)通过瓦斯渗流速度图像可以看出,在距断层450 m回采时,瓦斯为层流且流速较小,流动状态显示为层流;距断层50 m回采时,瓦斯流动变为紊流,且最大流速变为远离断层开采时的3.5倍。

3)通过回采结束不同时间段的瓦斯流动情况可以看出,在回采结束瓦斯渗流速度迅速增大,在回采结束1 h后流速达到最大,并保持不变。此时为发生煤与瓦斯突出的高风险时间,随后渗流速度将逐渐降低,突出风险也逐渐降低。

参考文献(References):

[1] 徐德宇. 构造变形对煤与瓦斯突出的控制作用研究[D].北京:中国矿业大学(北京),2018.

[2] 赵俊山,陈 亮,李瑞敬,等.地质构造及水动力条件对瓦斯赋存的控制作用[J].煤炭科学技术,2019,47(7):74-81.

ZHAO Junshan,CHEN Liang,LI Ruijing,et al.Controlling effects of geological structure and hydrodynamics on gas occurrence[J].Coal Science and Technology,2019,47(7):74-81.

[3] 程远平,雷 杨.构造煤和煤与瓦斯突出关系的研究[J].煤炭学报,2021,46(1):180-198.

CHENG Yanping,LEI Yang.Causality between tectonic coal and coal and gas outbursts[J]. Journal of China Coal Society,2021,46(1):180-198.

[4] 王 亮,郑思文,赵 伟,等. 淮北煤田煤与瓦斯突出灾害差异性和控制因素研究[J]. 煤炭科学技术, 2020, 48(10): 75-83.

WANG Liang, ZHENG Siwen, ZHAO Wei,et al. Study on difference and control factors of coal and gas outburst disasters in Huaibei Coalfield[J]. Coal Science and Technology, 2020, 48(10): 75-83.

[5] 李琰庆,杨 科,秦汝祥,等. 煤与瓦斯突出煤层群安全高效开采技术体系与展望[J]. 煤炭科学技术, 2020, 48(3):167-173.

LI Yanqing,YANG Ke,QINRuxiang,et al. Technical system and prospect of safe and efficient mining of coal and gas outburst coal seams[J]. Coal Science and Technology, 2020, 48(3):167-173.

[6] 杨智华.突出矿井构造煤的发育特征及其对煤与瓦斯突出的影响[J].煤炭科技,2018(4):52-56.

YANG Zhihua. Development characteristics of structural coal in outburst mine and its influence on coal and gas outburst[J]. Coal Science & Technology Magazine,2018(4):52-56.

[7] 雷东记,薛群山,张玉贵,等. 平煤十一矿艾山逆断层瓦斯异常区范围划定研究[J]. 煤矿安全,49(9):194-197.

LEI Dongji,XUE Qunshan,ZHANG Yugui,et al.Delineation of gas abnormal area of aishan reverse fault of Pingmei No.11 Mine[J]. Safety in Coal Mines, 49(9):194-197.

[8] 李恒乐,曹运兴,秦 勇,等. 重庆煤矿区瓦斯赋存特征及地质控制因素[J]. 煤田地质与勘探,2015, (2):1-7.

LI Hengle,CAO Yunxing,QIN Yong,et al. Geological control factors and characteristics of gas occurrence in Chongqing Coal Mining Area[J]. Coal Geology & Exploration, 2015, (2):1-7.

[9] 石永生.陈四楼煤矿瓦斯赋存构造控制规律[J].煤矿安全,2016,47(8):170-173.

SHI Yongsheng. Tectonic control laws of gas occurrence in Chensilou Mine[J]. Safety in Coal Mines,2016,47(8):170-173.

[10] 王恩营,刘 度,廉有轩.豫西白坪滑动构造带地应力数值模拟分析[J].河南理工大学学报(自然科学版),2016,35(6):789-795.

WANG Enying,LIU Du,LIAN Youxuan. Numerical simulation analysis on stress of Baiping gliding structure belt in western Henan[J]. Journal of Henan Polytechnic University(Natural Science),2016,35(6):789-795.

[11] 邵德全.工作面沿断层推进采动应力数值模拟研究[J].山东煤炭科技,2020(10):170-172.

SHAO Dequan. Numerical simulation of mining stress distribution in adjacent fault faces[J]. Shandong Coal Science and Technology,2020(10):170-172.

[12] 高 魁,刘泽功,刘 健.复合构造带煤与瓦斯突出发生的数值模拟及案例分析[J].安徽理工大学学报(自然科学版),2016,36(5):5-10.

GAO Kui,LIU Zegong,LIU Jian. Numerical simulation and case analysis of coal and gas outburst in the complex geological structure zone[J]. Journal of Anhui University of Science and Technology(Natural Science) ,2016,36(5):5-10.

[13] 王 浩,左宇军,于美鲁,等. 隐伏断层活化诱发石门揭煤突出的数值模拟研究[J]. 矿业研究与开发,2019(6):126-131.

WANG Hao,ZUO Yujun,YU Meilu,et al. Numerical simulation study on the outburst of uncovering coal in crosscut induced by concealed fault activation[J]. Mining Research and Development, 2019(6):126-131.

[14] 焦建康,冯友良,王志鹏.断层构造区应力对煤与瓦斯突出的影响[J].采矿与岩层控制工程学报,2015,20(4):5-8,42.

JIAO Jiankang,FENG Youliang,WANG Zhipeng. Influence of fault tectonic stress on coal and methane bursting[J]. Journal of Mining And Strata Control Engineering,2015,20(4):5-8,42.

[15] 吴 祥,程远平,周红星,等.大平煤矿重特大瓦斯事故关键链分析及对策研究[J].煤炭技术,2010,29(4):83-87.

WU Xiang,CHENG Yuanping,ZHOU Hongxing,et al. Analysis and countermeasures of extra serious gas accident key chains in daping coal mine[J]. Coal Technology,2010,29(4):83-87.

[16] 刘金城,郭德勇,邹山旺.大平煤矿瓦斯爆炸事故原因分析及对策[J].矿业安全与环保,2006(2):23-25,89.

LIU Jincheng,GUO Deyong,ZOU Shanwang. Cause analysis of gas explosion accident and countenneasures in daping coal mine[J]. Mining Safety & Environmental Protection,2006(2):23-25,89.

[17] 李佳伦. 含瓦斯煤岩体热-流-固多物理场耦合模型构建与数值模拟研究[D].太原:太原科技大学,2020.

[18] 邓存宝,凡永鹏,张 勋.煤层中封存CO_2的流-固-热耦合数值模拟研究[J].工程热物理学报,2019,40(12):2879-2886.

DENG Cunbao,FAN Yongpeng,ZHANG Xun. The numerical simulation of geological sequestration of CO2 in coal seams based on hydraulic-mechanical-Thermal Coupled Model[J].

[19] 邹士超,辛 嵩.煤层瓦斯钻孔有效抽采半径研究[J].中国安全科学学报,2020,30(4):53-59.

ZOU Shichao,XIN SONG.Effective extraction radius of gas drilling in coal seam[J]. China Safety Science Journal,2020, 30(4):53-59.

[20] 杨本伟,陈 相,林 志,等.多物理场耦合作用下裂隙岩体瓦斯迁移规律研究[J].隧道建设(中英文),2021,41(3):388-395.

YANG Benwei,CHEN Xiang,LIN Zhi,et al. Research on gas migration law in a fractured rock mass under coupling action of multiple physical fields[J]. Tunnel Construction,2021,41(3): 388-395.

[21] 陈 鹏,徐博侯.基于φ取值区间的D-P系列准则与M-C准则匹配方法[J].力学季刊,2012,33(2):269-274.

CHEN Peng,XU Bohou. Matching method of D-P Yield criterions to M-C based on yalue of internal frictional angle[J]. Chinese Quarterly of Mechanics,2012,33(2):269-274.

[22] 楚锡华,徐远杰.基于形状改变比能对M-C准则与D-P系列准则匹配关系的研究[J].岩土力学,2009,30(10):2985-2990.

CHU Xihua,XV Yuanjie. Studies on transformation from M-C criterion to Drucker-Prager criterions based on distortion energy density[J].Rock and Soil Mechanics,2009,30(10):2985-2990.

Analysis of gas migration law in coal seam in structural zone

LI Pu1,2 , ZHANG Xiaodong1,3

(1.School of Energy Science and Engineering,Henan Polytechnic UniversityJiaozuo 454000,China;2.Zhengzhou Coal Industry (Group)Corporation Ltd.Zhengzhou 450042,China;3.Collaborative Innovation Center of Coal-bed Methane and Shale Gas for Central Plains Economic RegionJiaozuo 454000,China)

Abstract:Coal and gas outburst is a common dynamic disaster in the process of coal seam resource recovery, which seriously affects the safety of production operations, and the tectonic zone is the main area where coal and gas outburst disasters commonly occur. In order to deeply understand the mechanism of coal and gas outburst in the structural area, taking the Wuzhuang reverse fault in Daping Coal Mine as the main research body, a two-dimensional mine geological model including the fault structure was established through the COMSOL numerical simulation software. Then the solid mechanics and Darcy’s law model were coupled to study the in-situ stress, gas pressure distribution and gas migration law of the coal seam working face at different distancesfrom the fault. The results of the study show that ① when the working face is 450 m away from the fault, the stress of the working face increases to twice the stress of the original rock, the gas flow state is laminar flow, and the gas pressure is the largest at 20 m in front of the working face; ② When the working face is 50 m away from the fault, the working face stress is increased to more than three times that of the original rock, the gas flow state changes from laminar flow to turbulent flow, and the gas pressure within 30 m infront of the working face is at a high value; ③ After mining, the gas seepage velocity increases rapidly and reaches the maximum after 1 h, which is a high-risk time period for coal and gas outburst disasters, and then the seepage velocity will gradually decrease and the risk of outburst will gradually decrease. Therefore, in order to ensure the safety of recovery, it is important to not only reduce the stress state of the coal seam by water injection and pre-excavation of pressure relief chambers prior to recovery, but also to reduce the gas pressure by hydraulic punching, gas extraction or other effective means. By studying the gas migration law in coal seams after mining, it can provide an effective basis for ventilation design and prevention of coal and gas disasters.

Key words:coal and gas outburst; structural area; gas migration;fault;coal mine safety

收稿日期:2021-11-02

责任编辑:常 琛

DOI:10.13199/j.cnki.cst.2021-0323

基金项目:国家自然科学基金资助项目(42172198)

作者简介:李 普(1982—),男,河南开封人,高级工程师,博士研究生。E-mail:lipu2008@126.com

移动扫码阅读

李 普,张小东.构造区回采煤层瓦斯迁移规律分析[J].煤炭科学技术,2022,50(10):93-101.

LI Pu, ZHANG Xiaodong.Analysis of gas migration law in coal seam in structural zone[J].Coal Science and Technology,2022,50(10):93-101.

中图分类号:TD713

文献标志码:A

文章编号:0253-2336(2022)10-0093-09