
移动扫码阅读
Study on mechanism of delayed water inrush caused by mining-induced filling fault activation
随着我国煤炭开采深度的不断增加,水压不断增大,深部开采的水害问题日益严重,煤矿突水已成为影响煤矿安全生产的重大关键问题之一[1]。 据有关统计,煤层下的承压含水层为引起底板突水的主要原因之一,断裂构造作为主要的底板突水通道,通常沟通了底板强含水层,导致底板突水发生。 断层作为造成矿井突水的主要因素之一,是矿井水害防治中常见的棘手问题,而突水的滞后性特征更是无法预测,因此研究其受采动影响下所造成的底板滞后突水对于矿井突水灾害的防治具有深远的意义。
国内外学者对于矿井水害进行了大量的研究。武强等[2]在构建矿井水害分类依据基础上对矿井水害类型进行了系统划分,为矿井水害的分类防治提供了依据;刘俊杰等[3]通过RFPA2D-FLOW 数值模拟再现了采动区覆岩裂隙萌生、扩展和贯通的过程,并证明了该软件是一种能预算并预测采动裂隙生成、扩展及其相关危害的可靠的定量分析方法。在煤矿断层活化及滞后突水的研究方面,文献[4-7]对断层的突水机理进行了积极的探索和研究;王经明等[8]研究了采矿对断层的扰动及水文地质效应;李利平等[9]通过对不同断距和倾角的断层突水过程的仿真分析,揭示突水通道形成过程中岩体应力场、渗流场以及损伤场的耦合效应,实现对不同突水通道形成轨迹的路径记录和准确定位;李连崇等[10]用数值方法再现了含隐伏小断层底板在采动应力扰动和高承压水共同作用下采动裂隙形成、小断层活化、扩张、突水通道最终贯通形成的全过程;李海燕等[11]以王楼煤矿为例对断层滞后突水机理进行了深入的研究,解释了在时间上呈现出的突水滞后特征的原因。 在目前底板断层滞后突水的研究中,对于受深部开采影响的断层活化以及构造内因而造成的底板滞后突水研究的比较少。 通过岩体极限平衡理论对底板隔水层极限水压进行推导,获得了采动影响下断层活化力学判据,获得了承压水作用下断层内部裂隙扩展演化形成突水通道的演化特征。 并通过RFPA2D-FLOW 数值模拟,模拟了采动诱发底板断层活化滞后突水的全过程,解释了采动影响下底板断层活化及滞后突水的机制,对于矿井滞后水害的防治具有很好的指导作用。
从水文地质学角度来讲,深部矿井开采过程中底板能否突水的关键在于矿压和水压共同作用下,裂隙经历扩展-贯通-形成突水通道这3 个过程,缺一不可。 根据岩体极限平衡理论对底板隔水层受极限水压破坏与否进行判断,建立断层活化力学分析模型,获取采动影响下断层活化力学判据,结合承压水导升机理分析断层裂隙扩展演化形成突水通道,并从灾变内因构造充填介质特征入手,分析了简化裂纹与充填物在性质以及对活化突水影响程度的不同,总结滞后突水规律。
断层的存在破坏了底板岩体完整性,使岩体的强度大幅降低。 试验研究发现断层带内岩石的单轴抗压强度仅为正常岩体的1/7。 工作面推进至断层带影响区域时,底板的采动破坏深度增大。 在强开采扰动影响下,断层活化过程实际上是断层内部开采盘沿断层面产生剪切变形,进而在断层的一端或两端产生新的断裂,使得裂隙在断层内部得以扩展。同时断层带的裂隙,特别是位于开采盘的裂隙也产生相应变化的过程,建立断层影响下采动应力力学模型如图1 所示。

图1 断层影响下采动应力力学模型
Fig.1 Mechanical model of mining stress under fault influence
以上盘煤层开采为例,假设该模型处于极限平衡状态。 上盘岩体在煤层的支承作用下处于稳定状态,断层保持稳定状态,假设煤层覆岩为刚体,且岩层与岩层之间不发生相对滑动,根据力学平衡可以得出如下关系:
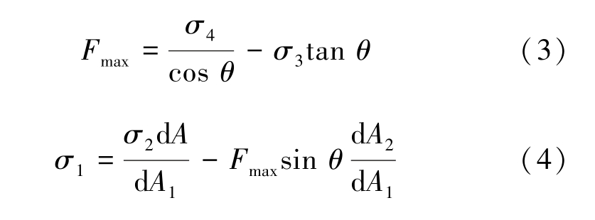
式中:σ1 为下盘对煤体断盘的支承力,MPa; σ2 为覆岩垂直应力,MPa; σ3 、 σ4 分别为作用在断层面上的原岩水平应力,MPa;Fmax 为断层面上的最大静摩擦力,N;dA 为上覆岩层垂直应力作用在覆岩上的面积,m2;dA1 为煤体与上覆岩层之间的接触面积,m2;dA2 为产生相对运动的断盘之间的接触面积,m2;θ 为断层倾角,(°)。
解方程组(1)、(2)得Fmax 以及σ1的表达式:

式(3)反映了Fmax 关于水平应力之间的变化关系。 式(4)为煤体支承力与断层面上静摩擦力之间的关系式。 由图1 可以看出断层的活化直接取决于Fmax 以及σ1 的大小,由式(3)可得Fmax 的大小与σ4的大小成正比,由于充填物的不均匀性,直接造成了σ4 的不均匀性,进而使得断层的活化有所滞后,从侧面佐证了充填物的不均匀特性对于断层活化的影响。
煤体的承载能力与煤体上覆岩层接触面积有直接关系,随着工作面的推进,煤层与上覆岩之间的接触面积也随之减小,且煤体对上覆岩层的支撑力也随之减小,当断层附近围岩体应力极限平衡状态被打破时,极易促使断层活化诱发底板突水灾害发生。上述分析中,基于岩体极限平衡理论,将断层带简化成了由很多裂隙组成的裂纹,从外因的角度对断层活化进行了分析。
根据采动过程中支承压力分布区域可将煤体划分为:原岩应力区A、应力增高区B、应力降低区C和应力恢复区D[12],如图2 所示。 根据岩体极限平衡理论,将应力降低区C 中的载荷简化为均布载荷。 当采煤工作面推至断层保护煤柱,从底板岩层中取厚度为dz 的单元体,建立如图3 所示的坐标系。

图2 断层影响工作面
Fig.2 Fault-affected working face
厚度为dz 单元体的平衡方程为:
式中:τ1 为左侧围岩的摩擦阻力,N;τ2 为右侧断层的摩擦阻力,N;L 为工作面推进距离,m,σz 为覆岩垂直应力,如图3 所示。

图3 隔水层单元体受力
Fig.3 Force diagram of the aquifer element
由库伦准则[12]可知:
式中:C 为底板岩体黏聚力,MPa;σx 为两侧围岩应力,MPa;φ 为底板岩体内摩擦角,(°)。 断层面受力如图4 所示。 分析得:

图4 断层受力
Fig.4 Fault stress
τ′2为断层面上剪应力σF 的垂向分量;CF、φF 为断层面上的黏聚力及摩擦角。
根据库伦准则可知岩体破坏时达到的极限平衡条件是:


此微分方程初始条件:当z =0 时, σz =γ h1 +βγH;当z =h2 =h-h1-h3 时, σz =Pω-γ h1-βγH。 经过计算可得断层影响下底板隔水层的极限水压为:

式中: βγH 为均布载荷; Pω 为隔水层水压; h1为采动破坏带厚度;h2 为隔水层厚度;h3 为承压水导升带厚度。
工作面推动到下盘,当底板隔水层承受极限水压大于承压水水压时,底板隔水层的破坏程度较小,不发生底板突水;反之,底板隔水层受到破坏严重,则可能发生底板突水。 该部分从灾变内因入手,从黏聚力的角度将构造充填介质对于断层活化的影响进行了分析,进一步验证了充填物的不均匀性对于断层活化及底板滞后突水的影响,并最终得到了底板隔水层的极限水压。
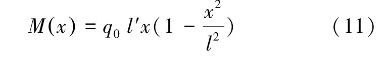
在矿压作用下断层活化过程可以描述为沿断层面的压剪和沿断层端部的拉张扩展,所以处于断层活化状态下的扩展部位具有张性特征,原断面处具有压型特征。 当采场靠近断层时,矿山压力峰值使受到活化后的断层处于紧闭状态。 采动影响下活化的断层未必是导水断层,成为活化后的导水断层必要条件是通过底板应力释放,沿断层面出现活化滑移变形以及水压对断层挤压实现,单纯考虑在水压力作用下断层张开模式(图5)。 可将断层两端简化为固定岩梁在水压力作用下弯曲,则由材料力学可知:

图5 断层张开模式
Fig.5 Fault opening pattern
其中,M(x)为弯矩;l′为力臂;x 为计算点到端点的距离;l 为断层长度。
式中:qw 为水压,MPa。
岩梁弯曲的近似方程可表达为:
式中:V 为对任意点x 处底鼓量,即水压使该点断层面张开程度;E 为弹性模量;I 为转矩。
当水流沿裂隙运动时,水楔作用包括水压力对岩石裂隙的劈裂破坏和水压力对岩石裂隙的挤压。水对岩石裂隙或结构面的劈裂破坏可以采用Dugdale 模型[13]来求解。 水压作用下正常裂隙两端的劈裂区长度为:
其中:R 为水压对裂隙端部的劈裂长度,m;p 为水压力,MPa; a 为裂隙原始长度,m; σ 为围岩应力,MPa;σt 为岩体的抗拉强度,MPa。 由于水楔作用是沿活化后断层面上升的,水压所克服的σt 为断层面的抗张强度,即:
联立(14)、(15)得:
其中:K 为矿山压应力集中系数;H 为采深,m;γ 为上覆岩石平均容重,N/m3。 由于断层充填物的种类、颗粒粒径以及其物源组合的不均匀性,因此在式(16)中水压对裂隙端部的劈裂长度也由于上述性质存在着明显的差异。 正是由于这种差异使得断层整体受力由外到内不均匀,采动过程中,导水裂隙带的整体受力是均匀的,但是由于充填物的不均匀性,使得断层破碎带的受力也并不均匀,最终使得断层进一步活化和承压水导升以及底板突水的时效较理论上有所不同,进而导致了底板突水的滞后性。
根据煤层和断层等相关岩层的地质参数,采用数值软件RFPA2D-FLOW[14-16],计算模型坐标X方向长度120 m,Y 方向长度80 m,计算模型由上覆岩层、隔水层、煤层、含水层以及断层组成。 模型网格采用均匀的正方形(1×1)网格。 边界条件为两端水平约束,可垂直移动,底端位移约束固定,模型顶端施加3 MPa 的载荷,根据断层面原理[17-19],确定断层面参数;水压通过下边界传递到含水层中,在下边界施加300 m 的定水头,模拟水压3 MPa;在试验参数设置过程中,对于断层充填物材料的均质度系数进行不同设定,从而使得断层充填物的不均匀性影响得以验证。 数值计算模型如图6 所示,力学参数见表1。
表1 模型力学参数
Table 1 Model mechanical parameters

岩性 弹性模量/Pa抗压强度/MPa 泊松比 容重/(kN·m-3)内摩擦角/(°)压拉强度比残余强度系数/MPa渗透系数/(cm·s-1) 孔隙率 孔隙压力系数粉砂岩 8 500 40 0.24 26 38 10 0.10 0.032 1 0.200 0.50灰岩 9 000 50 0.20 23 32 10 0.10 0.015 0 0.100 0.90泥岩 12 000 20 0.25 24 35 10 0.10 0.054 6 0.050 0.40煤2 300 14 0.33 14 30 18 0.06 0.024 5 0.100 0.90断层 2 000 5 0.35 18 30 20 0.03 0.500 0 0.500 0.95含水层 12 000 50 0.20 23 32 10 0.10 100.000 0 0.100 0.90隔水层 10 000 60 0.30 25 36 10 0.10 0.001 0 0.001 0.30

图6 模型总体设计
Fig.6 Overall design of model
2.2.1 岩体损伤演化过程
综合考虑煤层上部和下部的断层带,采动诱发断层带活化导水可以分为4 个明显阶段:断层带应力超限屈服、断裂带拉裂延展、两盘错动滑移和承压水导升[20-21]。 在内应力场和外应力场的支承压力作用下,随着工作面的向前推进,底板各点会经历压缩-膨胀-恢复的循环。 煤层开采前,岩体处于受力平衡的状态,如图7a 所示,深部煤层进行开采后,内应力场和外应力场的支承压力通过煤层传递到底板,底板开始出现压缩变形。

图7 岩体损伤演化过程
Fig.7 Damage evolution process of rock mass
随着工作面的继续向前推进,原来位于工作面下方的底板开始进入采空区下方,岩体由原先的压缩状态转为卸压状态,此时下部底板的承压水含水层受到的覆岩应力减小,水压同时对采空区底板岩层产生向上的作用力,采空区岩体在水平挤压和含水层水压的共同作用下产生底鼓,此时采空区上部底板裂隙发育程度增高,如图7b 所示。
当工作面推进至断层时,由于开切眼和煤壁处的卸压以及支承压力作用,在此区域双向剪切应力差值大,致使底板受剪屈服、裂隙发育[22],同时,由于超前支承压力引起断层带附近煤体压缩变形及覆岩大结构的回转与失稳,煤层上部断层受拉、剪作用明显,充填物屈服破坏,断层带裂隙发育,具有明显的扩展发育趋势。 当工作面转为下盘开采时,断层同样由于下盘工作面的推进受到了来自下盘的张力,进一步促进了断层的活化,此时断层周围岩体重新达到了应力平衡状态,如图7c 所示。 在进入下盘的开采使断层周围岩体重新达到应力平衡的过程中,上盘煤柱也在重新进行着应力分布,这个过程使得之前的初生裂隙进一步扩展而与断层活化区域导通,裂隙导通,形成突水通道,如图7d 所示。 由式(3)、式(4)可知,断层面的受力大小与充填物的均质度直接相关,充填物的均质度也直接决定了采动过程中断层面受力状态,当均质度较低即充填物不均匀时,充填物的部分位置会对来自外部的力产生缓冲,直接造成了断层面的受力不均匀,从而对断层活化的进程产生影响。 由图7 可得,断层在工作面回采的过程中受力不均匀,因此断层的活化相对于导水裂隙带的发育是不规则的,同时,也直接导致了断层的导水性变化为非线性。
2.2.2 采动影响下的流量矢量变化
煤层未开采时,煤层底板处于应力平衡状态,如图8a 所示。 煤层的开采破坏了煤层底板初始的应力平衡状态,煤壁处的超前支承压力以及工作面后方的卸压膨胀区共同作用使得底板出现了明显的采动破坏带,同时由于煤层的开采,使得断层上覆岩层的压力得到释放,因此断层出现了小范围的活化,但此时底板和断层的隔水性并没有受到太大的影响如图8b 所示,煤层上盘工作面开采完成时,底板仅有小范围的破坏,此时的局部损伤对隔水底板的整体稳定性影响依然不大,承压水伴随着断层的活化而有了小幅度的导升。

图8 采动过程中的流量变化
Fig.8 Flow rate variation during mining
在上盘工作面开采完成之后,底板的采动破坏带扩大,断层活化进一步加剧,承压水的导升高度伴随着断层的活化而升高,损伤的加剧依然为突水通道的形成提供了条件如图8c 所示。 随着煤层的进一步回采,受到采动应力和水压的共同作用,突水通道在底板破坏带的连接下形成,最终形成底板突水,如图8d所示。 由于断层充填物本身的不均匀性以及其受力的不均匀性,使得断层活化的过程中呈现出非线性的特征,进而导致承压水的导升呈现出非线性特征,因此底板出水的时间发生在下盘工作面的回采中,较理论上呈现出非常明显的时空滞后特性。
上盘煤层底板处水流量的变化如图9 所示,该图表示突水通道形成前后的底板处水流量的变化。由图9 可以看出上盘工作面突水点的位置以及出水的时间。 上盘工作面回采之前,底板处的水流量接近于0,此时岩体的完整性良好。 工作面回采初期,由于开采扰动,产生了微小的破碎带,但这些微小的破碎带并没有对岩体的完整性产生太大的影响,此时岩体的完整性依然良好。

图9 底板流量变化
Fig.9 Variation diagram of floor flow
随着工作面的继续回采,底板的破碎程度也逐渐升高,小破碎带贯通形成了一些初生裂隙,断层也由于工作面的采动影响产生了小范围的活化。 当煤层开采到上盘煤柱处时,受到煤壁处超前支承压力以及采空区卸压膨胀的影响,初生裂隙贯通形成了一些大的竖向裂隙,此时断层由于上盘的张力作用,活化程度再度升高,这些竖向裂隙的位置已经无限接近断层活化而产生的破碎带,承压水也将沿着断层的活化区域产生小幅度的导升,底板下部出现了范围比较大的层流运动。 当工作面的开采转入下盘,断层也将因为受到来自下盘的拉应力而产生进一步的活化,这也导致了承压水的进一步导升,同时也使得上盘开采过程中产生的竖向裂隙与断层活化产生的破碎带连通,形成突水通道,水流横向运动变成了竖向运动,由断层后底板采空区涌出进入工作面,突水灾害形成。 可以看出,突水灾害的形成时间发生在下盘煤层的开采,而出水点出现在上盘煤柱后采空区底板处。
从力学分析的角度出发,并通过数值模拟实验,再现了采动影响下底板断层滞后突水的全过程。 从构造内因入手,基于岩体极限平衡理论对底板隔水层极限水压进行推导,建立了断层影响下采动应力力学模型,获得了采动影响下断层活化力学判据。并获得了承压水作用下断层内部裂隙扩展演化形成突水通道的演化特征。 同时,提出了由于断层充填物的不均匀性导致断层内部受力不均衡而引发滞后突水的观点。 研究结果为断层活化以及底板滞后突水的研究与防治提供了新的思路,从侧面弥补了过去对于断层活化和滞后突水只考虑外因研究思路。提出了构造内因引发断层活化和滞后突水的观点,但对于构造充填物的研究还处于初期,对于影响充填物性质的因素以及构造充填物对于断层活化及滞后突水的控制作用的研究还没有明确的结论,在后期的工作中还将继续对构造充填物开展深入研究。
1)根据岩体极限平衡理论对底板隔水层受极限水压破坏与否进行判断,建立了断层活化力学分析模型,获取了采动影响下断层活化力学判据,随着工作面的推进,煤层与上覆岩之间的接触面积也随之减小,且煤体对上覆岩层的支撑力也随之减小,当断层附近围岩体应力极限平衡状态被打破时,极易促使断层活化诱发底板突水灾害。
2)结合承压水导升的力学模型分析了承压水导升机理,获得了承压水的导升高度,高承压水沿断层持续运动对内部裂隙产生水楔作用导致裂隙劈裂,当其沿裂隙运动时水楔作用包括水压力对岩石裂隙的劈裂破坏和水压力对岩石裂隙的挤压。 采用Dugdale 模型并通过该机理分析了断层裂隙扩展及演化形成突水通道,求得水压作用下正常裂隙两端的劈裂区长度。
3)从灾变内因构造充填介质特征入手,研究高承压水对介质体渐进破坏,提出并力学佐证了由于断层充填物的不均匀性导致断层内部受力不均衡进而引发底板滞后突水的观点,总结了滞后突水规律。
4)数值模拟再现了采动影响下底板断层活化滞后突水形成全过程及其特征。 上盘工作面推进使得围岩体应力重新分布,底板出现张裂隙,断层也由于受到上盘的张力而出现了活化,此时裂隙的扩展以及断层的活化程度还比较低,转入下盘开采后同样的力学效应致使裂隙导通,突水通道形成,进而形成滞后突水,通过突水时间和突水位置等数据定性分析了断层活化以及其对于滞后突水形成的影响,能够为该类型地质条件下的突水灾害预测提供参考。
[1] 孟召平,易 武,兰 华,等.开滦范各庄井田突水特征及煤层底板突水地质条件分析[J].岩石力学与工程学报,2009,28(2):228-237.MENG Zhaoping, YI Wu, LAN Hua, et al. Water inrush characteristics of fangezhuang coalmine field in kailuan and its geo⁃logical condition analysis of water inrush from coal seam floor[J],Chinese Journal of Rock Mechanics and Engineering 2009,28(2):228-237.
[2] 武 强,崔芳鹏,赵苏启,等.矿井水害类型划分及主要特征分析[J].煤炭学报,2013,38(4):561-565.WU Qiang,CUI Fangpeng,ZHAO Suqi,et al.Type classification and main characteristics of mine water disasters[J].Journal of China Coal Society,2013,38(4):561-565.
[3] 刘俊杰,陈 雄,张后全,等.运用RFPA ~(2D)数值模拟开采条件下的渗流通道[J].岩石力学与工程学报,2005,24(9):1522-1526.LIU Junjie,CHEN Xiong,ZHANG Houquan,et al.Numerical simu⁃lation of seepage channel with Rfpa2D under coal mining conditions [ J ], Chinese Journal of Rock Mechanics and Engineering,2005,24(9):1522-1526.
[4] 黎良杰,钱鸣高,李树刚.断层突水机理分析[J].煤炭学报,1996,21(2):119-123.LI Liangjie,QIAN Minggao,LI Shugang.Mechanism of waterinrush through fault[J].Journal of China Coal Society,1996,21(2):119-123.
[5] 李连崇,唐春安,梁正召,等.含断层煤层底板突水通道形成过程的仿真分析[J].岩石力学与工程学报,2009,28(2):290-297.LI Lianchong,TANG Chun’an,LIANG Zhengzhao,et al.Numerical analysis of pathway formation of groundwater inrush from faults in coal seam floor[J].Chinese Journal of Rock Mechanics and Engi⁃neering,2009,28(2):290-297.
[6] SUN Wenbin,XUE Yanchao,LI Tingting,et al.Multi-field coupling of water inrush channel formation in a deep mine with a buried fault[J].Mine Water and the Environment,2019,38(3):528-535.
[7] 陈军涛,谭文峰,马 凯,等.深部高应力下小断层岩体裂隙演化规律研究[J].矿业研究与开发,2018,217(8):23-27.CHEN Juntao,TAN Wenfeng,MA Kai,et al.Research on rock crack evolution laws in small fault under high stress of deep mining[J].Mining Research & Development,2018,217(8):23-27.
[8] 王经明,董书宁,吕 玲,等.采矿对断层的扰动及水文地质效应[J].煤炭学报,1997,22(4):27-31.WANG Jingming,DONG Shuning,LYU Ling,et al.Mining Disturb⁃ance of faults in panel and the hydrogeological effect[J].Journal of China Coal Society,1997,22(4):27-31.
[9] 李利平,李术才,石少帅,等.基于应力-渗流-损伤耦合效应的断层活化突水机制研究[J].岩石力学与工程学报,2011,30(S1):3295-3304.LI Liping,LI Shucai,SHI Shaoshuai,et al.Water inrush mechanism study of fault activation induced by coupling effect of stressseepage-damage [J].Chinese Journal of Rock Mechanics and En⁃gineering,2011,30(S1):3295-3304.
[10] 李连崇,唐春安,李 根,等.含隐伏断层煤层底板损伤演化及滞后突水机理分析[J].岩土工程学报,2009,31(12):1838-1844.LI Lianchong,TANG Chunan,LI Gen,et al.Damage evolution and delayed groundwater inrush from micro faults in coal seam floor[J]. Chinese Journal of Geotechnical Engineering, 2009, 31(12):1838-1844.
[11] 李海燕,张红军,李术才,等.断层滞后型突水渗-流转化机制及数值模拟研究[J].采矿与安全工程学报,2017,34(2):323-329.LI Haiyan,ZHANG Hongjun,LI Shucai,et al.The seepageflowing conversion mechanism of the fault lagging water inrush and its numerical simulation[J].Journal of Mining & Safety Engi⁃neering,2017,34(2):323-329.
[12] 钱鸣高,石平五.矿山压力与岩层控制[M].徐州:中国矿业大学出版社,2003:84-99.
[13] 张金才,张玉卓,刘天泉.岩体渗流与底板突水[M].北京:地质出版社,1997.
[14] 朱万成,唐春安,杨天鸿,等.岩石破裂过程分析用(RFPA~(2D))系统的细观单元本构关系及验证[J].岩石力学与工程学报,2003,22(1):24-29.ZHU Wancheng,TANG Chunan,YANG Tianhong,et al.Constitu⁃tion relationship of mesoscopic elements in Rfpa 2D and its vali⁃dations[J].Chinese Journal of Rock Mechanics and Engineering,2003,22(1):24-29.
[15] 唐春安,李连崇,李常文,等.岩土工程稳定性分析RFPA 强度折减法[J].岩石力学与工程学报,2006,25(8):1522-1530.TANG Chun’an,LI Lianchong,LI Changwen,et al.Rfpa strgenth reduction method for stability analysis of geotechnical engineering[J].Chinese Journal of Rock Mechanics and Engineering,2006,25(8):1522-1530.
[16] TANG CA,THAM LG,LEE PKK,et al.Coupled analysis of flow,stress and damage(FSD) in rock failure[J].International Journal of Rock Mechanics & Mining ences,2002,39(4):477-489.
[17] ZIEGLER M,REITER K,HEIDBACH O,et al.Mining-induced stress transfer and its relation to a mw 1.9 seismic event in an ul⁃tradeep South African Gold Mine[J].Pure Appl Geophys,2015.172:2557-2570.
[18] SAINOKI A,MITRI H S.Dynamic behaviour of mining-induced fault slip[J].International Journal of Rock Mechanics & Mining Sciences,2014,66(1):19-29.
[19] ALBER M,FRITSCHEN R,BISCHOFF M,et al.Rock mechanical investigations of seismic events in a deep long wall coal mine[J].International Journal of Rock Mechanics & Mining Sciences,2009,46(2):408-420.
[20] 蒋金泉,武泉林,曲 华.硬厚岩层下逆断层采动应力演化与断层活化特征[J].煤炭学报,2015,40(2):267-277.JIANG Jinquan,WU Quanlin,QU Hua.Characteristic of mining stress evolution and activation of the reverse fault below the hard-thick strata[J]Journal of China Coal Society,2015,40(2):267-277.
[21] 左建平,陈忠辉,王怀文,等.深部煤矿采动诱发断层活动规律[J].煤炭学报,2009,34(3):305-309.ZUO Jianpin, CHEN Zhonghui, WANG Huaiwen, et al.Experimental investigation on fault activation pattern under deep mining[J]Journal of China Coal Society,2009,34(3):305-309.
[22] 姜耀东,吕玉凯,赵毅鑫,等.承压水上开采工作面底板破坏规律相似模拟试验[J].岩石力学与工程学报,2011,30(8):1571-1578.JIANG Yaodong,LU Yukai,ZHAO Yixin,et al.Similar simulation test for breakage law of working face floor in coal mining above aquifer [J].Chinese Journal of Rock Mechanics and Engineering,2011,30(8):1571-1578.