高级检索

低温下不同饱和度冻结砂岩动态力学行为试验研究

Experimental study on dynamic mechanical behavior of frozen sandstone with different saturations

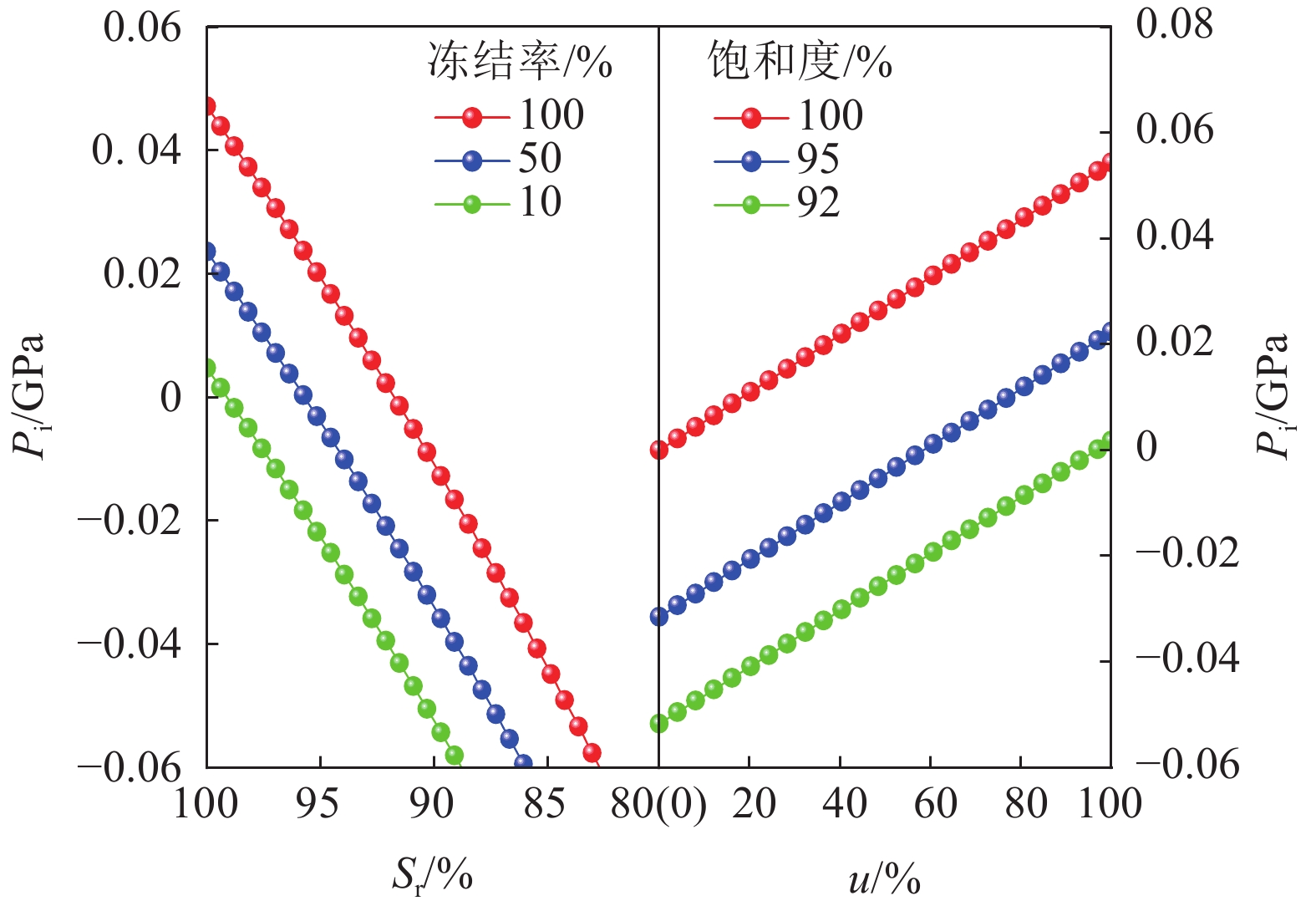
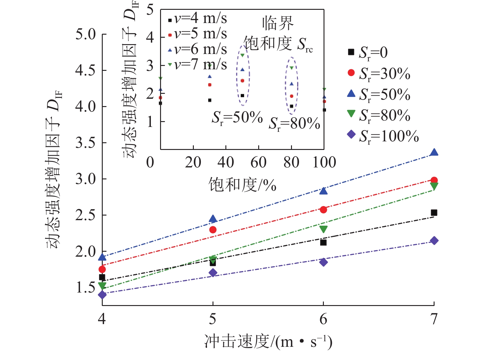
  • 摘要: 含水量是影响寒区岩体冻胀破坏的关键因素之一,而动态荷载的扰动又使其破坏过程进一步复杂化。因此,通过低温分离式霍普金森压杆实验系统,研究了冲击荷载和饱和度的变化对冻结红砂岩动态力学行为的影响,并结合低场核磁共振和扫描电镜等手段探究了砂岩试样微观结构的动态演化。研究结果表明:饱和度的增加重塑了红砂岩试样的孔隙结构,促使冻结过程中试样各尺寸孔隙的发育与扩展,且完全饱和时冻结试样以中−大孔隙发育为主。冲击荷载作用下,以临界饱和度为界,冻结砂岩的动态强度、弹性模量和脆性指数BI均随饱和度增加呈现先增大后减小的趋势。与之相反,冻结砂岩的极限变形能力随饱和度变化呈现相反趋势。此外,随着冲击荷载的增加,冻结砂岩的动态强度、弹性模量和峰值应变均逐渐增加,表现出明显的应变率强化效应;而其脆性指数逐渐降低,冲击速度由4 m/s增加至6 m/s时,完全饱和试样的脆性指数下降了8.1%,表明其动态破坏模式由脆性向韧性的转变。而随着饱和度和冲击荷载的增加,冻结试样从张拉破坏转变为粉碎性的复合破坏,且破碎岩块质量的分布仍然与冻结试样的动态强度密切相关。最后,基于试验结果,讨论了饱和度变化对寒区冻结砂岩动态力学行为的影响机制。

     

    Abstract: Water content is one of the critical factors affecting frost damage to rock masses in alpine regions. A dynamic disturbance load further complicates the issue. In this study, the effects of saturation and impact loading on the dynamic behavior of the frozen red sandstone were investigated using a low-temperature split Hopkinson pressure bar (LT-SHPB) experimental system. By combining low-field nuclear magnetic resonance (NMR) and scanning electron microscopy (SEM), the dynamic evolution of the microstructure of the frozen sandstone due to changes in saturation was investigated. The experimental results show that the increase in saturation reshapes the pore structure of the frozen sandstone and promotes the expansion of pores of different sizes during freezing, while the frozen samples at complete saturation are mainly developed with mesopore and macropore. The dynamic strength, elastic modulus and brittleness index of the frozen sandstone under impact loading, which are limited by the critical saturation Src, tend to increase and then decrease with saturation increase. In contrast, the ultimate deformation capacity of the frozen sandstone showed an opposite trend with saturation. With increasing impact loading, the dynamic strength, elastic modulus, and peak strain of the frozen sandstone gradually increase, showing an obvious strain-rate enhancement effect; while the brittleness index decreases by 8.1% at full saturation when the impact velocity increases from 4 m/s to 6 m/s, indicating that the dynamic damage mode develops from brittle to ductile. Moreover, the frozen samples changed from tensile damage to composite damage with increasing saturation and impact loading; the distribution of crushing masses remained closely related to their dynamic strength. Based on the experimental results, the mechanism of the effects of saturation variation on the dynamic mechanical behavior of frozen sandstone is discussed.

     

/

返回文章
返回