高级检索

数据驱动的深井超长工作面支架载荷区域特征分析与分区预测

Data-driven regional characteristic analysis and partition prediction of support load in deep well and ultra-long working face

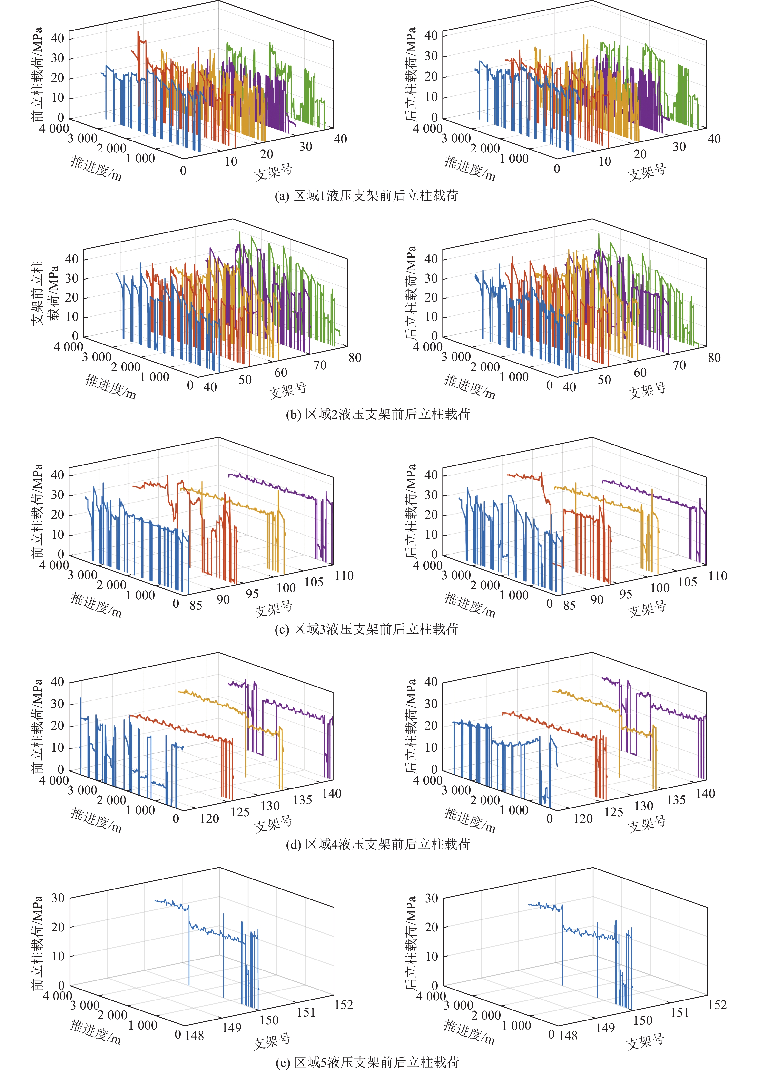
  • 摘要: 实现液压支架载荷预测分析对于及时改善支架适应性和实现安全支护具有重要作用,需要高质量、大数量的支架载荷时序数据和有效的预测方法作为支撑。然而,深部超长工作面上覆岩层应力环境和垮落步距的非同质同步引发工作面不同区域支架载荷差异化。因此,针对深井超长工作面顶板覆岩长期循环动载作用和分区破断造成工作面不同区域载荷差异明显以及无法实现动态区域更新下的液压支架载荷预测的问题,提出了一种数据驱动的深井超长工作面支架载荷区域特征分析与分区预测方法。首先,在获取工作面液压支架载荷数据的基础上,利用MeanShift聚类算法实现工作面区域动态划分,并分析深井超长工作面不同区域的支架载荷变化特征;然后,提出一种考虑多维时序数据特征和注意力机制LSTM预测方法,构建支架载荷一次性多输入多输出预测框架,实现了预测算法精度和输入输出特征结构的协同设计;最后,基于前述工作面区域划分结果,建立工作面区域化液压支架群组载荷预测模型,实现了综采工作面液压支架群组载荷时序数据循环训练和高精度预测。该方法通过考虑工作面载荷区域分布特征,建立多输入多输出特征工程,可实现基于工作面区域动态更新的液压支架群组载荷预测,能够为后续分析工作面矿压显现规律,超前适应采场环境变化和指导工作面正常回采提供依据。

     

    Abstract: Accurate prediction of hydraulic support load plays an important role in improving the adaptability of support and the stability of surrounding rock control, where high-quality and large-scale time series data and effective prediction methods are needed. However, the cyclic training and modeling of intercepting hundreds of sets of load data in the same time period consumes a lot of computing resources and takes a long time to train. And the heterogeneity of the stress environment of the overlying strata on the working face and the asynchronous caving step distance lead to different support loads in different areas of the working face. In view of the obvious different load in different areas of the working face caused by the long-term cyclic dynamic load and partition failure of the roof overlying rock of the fully mechanized mining face, and the problem that the load prediction of hydraulic support group under dynamic area cannot be realized, a novel predicting scheme of hydraulic support group load in working face with respect to regional characteristics is proposed. Specifically, meanshift adaptive clustering algorithm is used to realize the region division of fully mechanized mining face firstly then the regional characteristics of the working face are analyzed. Secondly, an attention-based LSTM algorithm combined with the production technology is proposed. Taking the regional support load as the input, a one-time multi-input and multi-output prediction model of regional support load is established, which verifies the prediction effectiveness of the proposed input-output feature engineering. Finally, based on the division results of the working face area, regionalized hydraulic support group load prediction models are established based on the proposed attention-based LSTM algorithm to achieve high-precision prediction of the hydraulic support load of the fully mechanized mining face. By considering the regional distribution characteristics of the working face and proposing a multi-input and multiple-output feature engineering, the hydraulic support group load prediction based on the dynamic update of the working face area can be realized, which can be used for the follow-up predicting analysis of the strata behaviors provides a basis for guiding the safe and efficient mining.

     

/

返回文章
返回