高级检索

基于分子模拟的微观结构特征对无烟煤吸附CH4、CO2影响规律对比研究

Comparative study on effect of microstructure characteristics on adsorption of CH4 and CO2 in anthracite based on molecular simulation

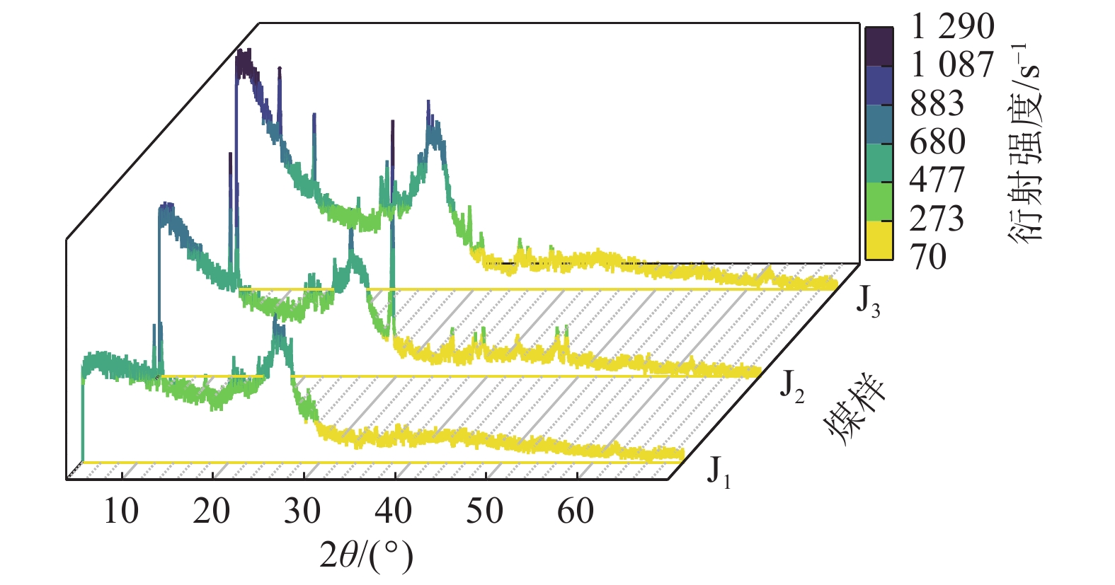
  • 摘要: 为探究煤的孔径、芳香片层堆砌度、芳香片层延展度、气体温度、气体压力对CH4和CO2竞争吸附的影响,以晋城矿区3号煤为研究对象,对不同温度、压力、孔径、芳香片层堆砌度、芳香片层延展度下煤吸附CH4、CO2二元混合气体的过程进行研究。基于工业分析、X射线衍射试验对煤的微观结构进行测试与分析,采用巨正则系综蒙特卡洛(GCMC)方法对煤吸附混合气体的过程进行分子模拟。结果表明:气体压力增加有利于吸附,压力为5 MPa时,CO2的吸附量已接近饱和;温度增加会导致煤对CO2的最大吸附量和吸附热降低;孔径增大会使煤对CH4的吸附量增大,孔径从1 nm增加到2 nm,CH4的吸附量增加最快;随着芳香片层堆砌度的增加,煤吸附的气体分子数变化不明显,但单位质量煤对CO2的吸附量呈迅速下降趋势,对CH4的吸附量略有降低;随着芳香片层延展度的增加,煤吸附的CH4分子数缓慢增加,吸附的CO2分子数快速增加,单位质量的煤对2种气体的吸附量变化不明显;从吸附量和吸附热2个角度来看,CO2在竞争吸附过程中均处于优势地位,因此向煤层注入CO2可有效驱替CH4。研究结果加强了分子层面对CH4、CO2二元混合气体吸附的认识,可为注CO2强化煤层气开采奠定理论基础。

     

    Abstract: In order to explore the effects of pore size, aromatic lamellar stacking degree, aromatic lamellar ductility, gas temperature and gas pressure on the competitive adsorption of CH4 and CO2, the No.3 coal from Jincheng mining area was taken as the research object. The adsorption process of binary mixed gas of CH4 and CO2 in coal under different temperatures, pressures, pore diameters, aromatic lamellar stacking degrees and aromatic lamellar ductility was studied. The microstructure of coal was tested and analyzed based on industrial analysis and X-ray diffraction experiments. Molecular simulation of the process of gas mixture adsorption in coal using the Grand Canonical Monte Carlo (GCMC) method. The results shown that, the increase of gas pressure was favorable for adsorption, and the adsorption capacity of CO2 was close to saturation at a pressure of 5 MPa. The increase of temperature led to a decrease in the maximum adsorption capacity and adsorption heat of CO2 in coal. The increase of pore size led to the increase of CH4 adsorption capacity in coal, with the fastest increase in CH4 adsorption occurred when pore size increased from 1 nm to 2 nm. With the increase of aromatic lamellar stacking degree, the number of gas molecules adsorbed in coal did not change significantly, but CO2 adsorption capacity of per unit mass in coal decreased rapidly, and the CH4 adsorption capacity decreased slightly. With the increase of aromatic lamellar ductility, the number of CH4 molecules adsorbed in coal increased slowly and the number of CO2 molecules adsorbed increased rapidly, and the change of the two gases adsorption capacity in coal per unit mass was not significant. From the perspective of adsorption capacity and adsorption heat, CO2 is in a dominant position in the competitive adsorption process, so injecting CO2 into coal seam can effectively displace CH4. The results of this paper strengthened the molecular understanding of the adsorption of binary mixed gas of CH4 and CO2, which can lay a theoretical foundation for the enhancement of coalbed methane extraction by CO2 injection.

     

/

返回文章
返回