高级检索

基于IMU/UWB的井下采煤工作面端头采煤机定位试验研究

Research on shearer positioning experiment based on IMU and UWB at the end of underground coal mining working face

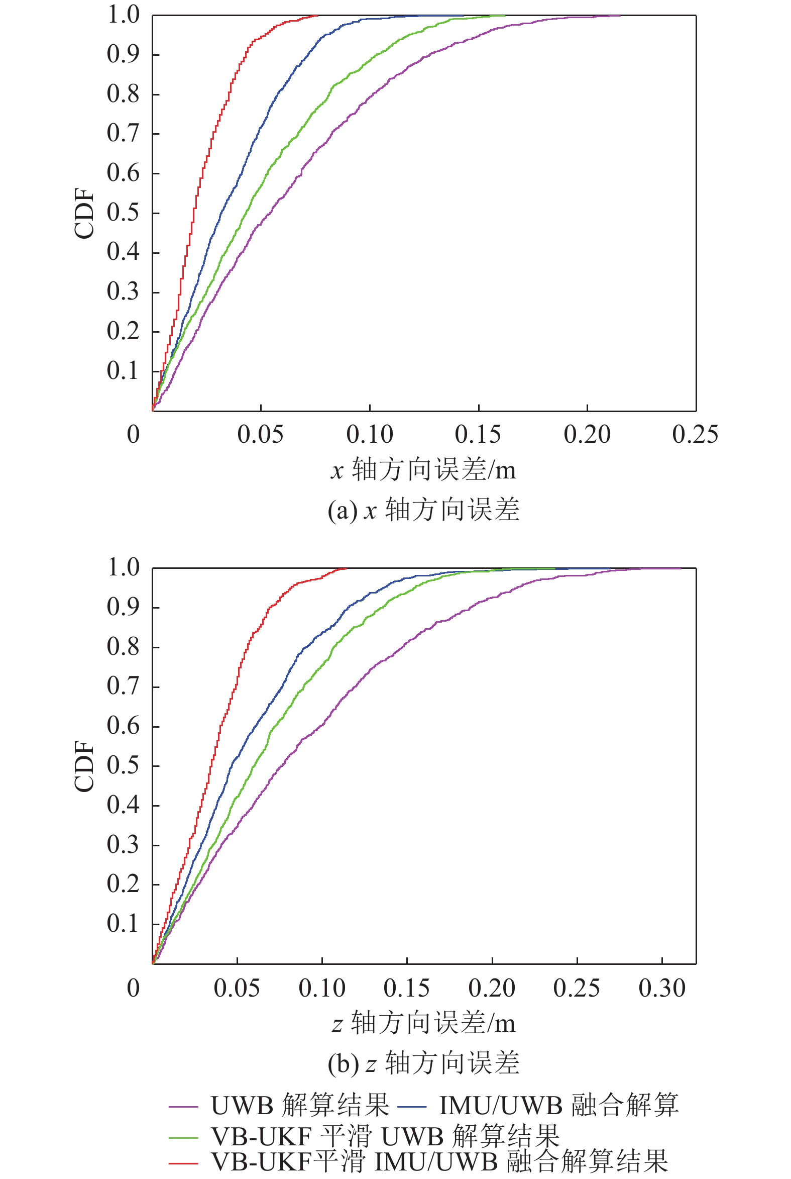
  • 摘要: 采煤机自主定位装置的长期精度是采煤工作面智能开采的重要研究内容。针对当前采煤机定位精度难以满足自动开采的需求,建立了基于惯性测量单元(Inertial Measurement Unit, IMU)/超宽带(Ultra-Wideband, UWB)融合定位的模型,提出了采煤工作面端头自主修正补偿惯性导航定位装置的漂移误差,利用IMU/UWB的融合结果对惯性导航定位装置的位置和姿态进行自主纠偏,能实时补偿IMU的偏差,实现采煤机长期高精度自主循环截割。为减小不确定的测量噪声对定位结果的影响,提出了利用变分无迹卡尔曼滤波(Variational Bayesian unscented Kalman filter, VB-UKF)技术对定位结果进行平滑处理,进一步提升融合定位精度,在太原重型机械有限公司开展了地面采煤机融合定位试验和山东能源集团济三工作面端头开展井下采煤机机载试验,验证采煤工作面端头的定位精度。试验结果表明,IMU/UWB融合定位精度高于单纯的UWB解算的精度;经过VB-UKF算法平滑后,井下试验的IMU/UWB融合定位的x轴和z轴方向的平均误差分别从0.102 m和0.194 m降低为0.082 m和0.158 m,平均精度对应的提升了19.6%和18.6%;3个姿态角的误差小于2°,在融合定位模型中利用误差扩展卡尔曼滤波实时补偿修正IMU的偏差,能有效的抑制IMU姿态角的漂移,井下现场试验证明了采煤工作面端头定位方法的有效性,为井下IMU/UWB融合定位的应用提供较好的参考和经验。

     

    Abstract: The long-term precision of shearer independent positioning device is an important research content of intelligent mining. The current shearer positioning accuracy is hard to meet the demands of automatic mining, and we established a fusion positioning model based on IMU/UWB, and proposed autonomous correction to compensate the drift error of inertial navigation device for the coal mine working face by using the fusion results of IMU/UWB to correct the position and posture of inertial positioning system. It can compensate the deviation of IMU in real time, and realize long-term high-precision autonomous cycle cutting of the shearer. To reduce the influence of uncertain measurement noise on the positioning results, we use variational Bayesian unscented Kalman filter (VB-UKF) technique to smooth the positioning results in order to further improve the fusion positioning accuracy. To verify the positioning accuracy of the mining face end, fusion positioning experiments are conducted in Taiyuan Heavy Machinery Co., Ltd on the ground and Shandong Energy Group coal mine working face in the underground, respectively. The experimental results demonstrate that, the accuracy of IMU/UWB fusion positioning is higher than that of the single UWB solution. After smoothing via the VB-UKF algorithm, the error in the x-axis and z-axis orientation of the IMU/UWB fusion localization for underground experiments decreased from 0.0102 m and 0.194 m to 0.082 m and 0.158 m, respectively, and the corresponding average accuracy improved by 19.6% and 18.6%. The error of the three pose angles is less than 2°, because the error extended Kalman filter compensates and modifies the IMU bias in the fusion localization model, which can effectively suppress the drift of the IMU posture angle. The underground field experiment proves the effectiveness of the positioning method of coal mining face end, which provides better reference and experience for the further application in underground coalmine by using IMU/UWB fusion positioning.

     

/

返回文章
返回