高级检索

浅埋煤层群裂隙演化规律及组合承载结构载荷研究

Research on the fracture evolution law and combined bearing structure load of shallow buried coal seam group

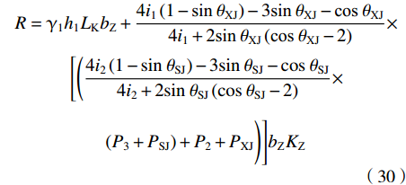
  • 摘要: 浅埋煤层群高强度开采导致承载岩层破断形成组合承载结构,使覆岩裂隙分布形态复杂化,并对地表造成严重损害。为了研究浅埋煤层群开采覆岩裂隙演化规律与承载岩层承载结构关系及承载岩层保持稳定的支架工作阻力,以陕西北部神府矿区韩家湾煤矿2−2和3−1煤开采为研究背景,通过现场观测及相似模拟试验得到煤层群开采裂隙演化规律、承载岩层组合承载结构及两者相互关系,采用理论计算的方法建立了组合承载结构力学模型,研究组合承载岩层保持稳定的支架工作阻力。研究表明,煤层群开采覆岩裂隙演化过程可划分为4个阶段,分别为上煤层开采快速增长阶段、上煤层开采平稳增长阶段、下煤层开采快速增长阶段、下煤层开采稳定增长阶段;不同承载结构导致地表产生不同的裂隙演化形态及沉降特征,“台阶岩梁”结构地表产生台阶下沉,“铰接岩梁”结构地表产生连续下沉;通过地表沉降形式可间接判断上煤层承载岩层破断结构,由层间岩层充填率和采高得到了下煤层承载岩层破断结构,并揭示了浅埋煤层群开采承载岩层破断组合结构分为“台阶−铰接”结构、“铰接−铰接”结构、“铰接−台阶”结构、“台阶−台阶”结构的组合形态。由承载岩层破断组合结构建立了浅埋煤层群开采承载岩层承载结构力学模型,得到了承载岩层保持稳定支架工作阻力的计算方法,并得到了现场实测结果验证。

     

    Abstract: The high-intensity mining of shallow-buried coal seams leads to the fracture of the bearing strata to form a combined bearing structure, which complicates the distribution of cracks in the overlying rock and causes serious damage to the surface. In order to study the relationship between the evolution law of the overburden fissures and the bearing structure of the bearing rock in the mining of the shallow coal seam group, and the working resistance value of the support to keep the bearing rock stable, the coal mining of Hanjiawan Coal Mine 2−2 and 3−1 in the Shenfu mining area in northern Shaanxi was studied. In the background, through field observation and similar simulation experiments, the evolution law of coal seam group mining cracks, the combined bearing structure of bearing rock layers and the relationship between the two were obtained. The mechanical model of combined bearing structure was established by theoretical calculation method, and the support work of the combined bearing rock layer to maintain stability was studied. resistance. The research shows that the evolution process of overlying fissures in coal seam mining can be divided into four stages: the upper coal seam mining rapid growth stage, the upper coal seam mining steady growth stage, the lower coal seam mining rapid growth stage, and the lower coal seam mining stable growth stage. This leads to different fissure evolution forms and subsidence characteristics on the surface. The surface of the “step rock beam” structure subsides in steps, and the surface of the “hinge rock beam” structure subsides continuously; The fractured structure of the bearing rock formation in the lower coal seam is obtained from the filling rate and mining height of the interlayer, and it is revealed that the fractured combined structure of the bearing rock formation in the shallow buried coal seam mining group is “step-hinged” structure, “hinged-hinged” structure, “hinged-hinged” structure. The combined form of the “step” structure and the “step-step” structure. Based on the fractured composite structure of the bearing rock, the mechanical model of the bearing rock bearing structure of the shallow buried coal seam group mining is established, and the calculation method of the working resistance of the bearing rock to maintain the stability of the support is obtained, and the field measurement results are verified.

     

/

返回文章
返回