高级检索

不同煤体结构煤的孔隙结构分形特征及其研究意义

Fractal characteristics of pore structures on different coal structures and its research significance

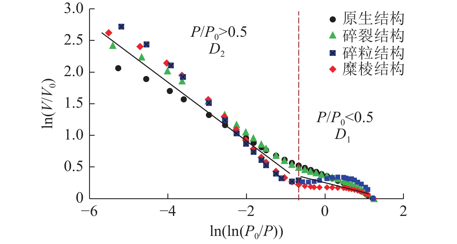
  • 摘要: 煤层气的赋存和产出与煤储层孔隙系统的发育程度有关,原生结构煤层受到破坏变形后其孔隙结构特征将发生明显的变化,从而影响煤层气的吸附/解吸和扩散过程。通过对沁水盆地赵庄井田3号煤层不同煤体结构样品进行低温液氮、低压二氧化碳吸附分析和等温吸附试验,分析了不同破坏强度煤的孔隙结构和吸附性变化规律;应用试验数据和数值分形模型,揭示了不同煤体结构煤的孔隙结构分形特征及其对煤中甲烷吸附、扩散的影响。结果表明:随着煤体结构破坏强度的增大,煤的比表面积和孔隙容积均增大,50~300 nm的孔隙所占比例逐渐降低,2~50 nm的微孔和中孔以及小于2 nm的超微孔增加,超微孔为煤中主要吸附孔,孔径主要分布在0.45~0.65 nm和0.80~1.0 nm。N2、CO2和CH4的吸附量随煤体结构破坏程度的增大而增加,吸附性由大到小顺序为原生结构>糜棱结构>碎粒结构>碎裂结构。微孔、中孔和大孔孔隙结构分形维数表明,构造变形后的煤孔隙结构将被简单化,破坏程度较强的煤具有较粗糙的孔隙表面(对应较高的D1)和较为均质的孔径分布(对应较低的D2);而超微孔分形维数Dm随着煤体结构破坏强度的增加逐渐增大,且与LangmuirVL和对应的比表面积呈正相关性,说明煤表面粗糙度增大导致比表面积增大,为煤中气体吸附提供了较多的具有高吸附势的吸附点位,吸附性增强。有效扩散系数、孔容与分形维数D1 呈正相关性,与D2成负相关性,表明原生结构煤孔隙结构被破坏后连通性变好,孔隙容积增大,气体进出效率提升,扩散效率增大。

     

    Abstract: The occurrence and production of coalbed methane is related to the development degree of pore system in coal reservoirs. The pore structure characteristics of original structural coal seam will change significantly after damage and deformation, thus affecting the adsorption/desorption and diffusion process of coalbed methane. Through the low-temperature liquid N2 and low-pressure CO2 adsorption analysis and isothermal adsorption experiments on coal with different structures from the No. 3 coal seam in Zhaozhuang coalfield in Qinshui Basin, the variation laws of pore structure and adsorption of coals with various destructive strengths were analyzed. Applying experimental data and numerical fractal modeling, the pore fractal characteristics of coal with different structures and their effects on methane adsorption and diffusion in coal were revealed. The results shown that with the increase of the destructive intensity of coal structures, the specific surface area and pore volume of coal increased, the proportion of 50-300 nm pores gradually decreased, the micropores and mesopores of 2-50 nm and ultra-micropores of less than 2 nm increased. As the main adsorption pores in coal, the ultra-micropores size was mainly distributed in 0.45-0.65 nm and 0.80-1.0 nm. The adsorption amount of N2, CO2 and CH4 increased with the increasing destructive degree of coal structure. The order of adsorption capacity from large to small was: intact coal>mylonitic coal > granulated coal > cataclastic coal. The fractal dimensions of the micro-, meso- and macro-porous structures indicated that the pore structure of tectonically deformed coals will be simplified. Coal with a higher damage intensity had a rougher pore surface (corresponding to a higherD1) and a more homogeneous pore size distribution (corresponding to a lowerD2). The fractal dimension of ultra-microporous (Dm) gradually increased with the increasing structural destruction intensity of coal, and was positively correlated with Langmuir constant (VL) and the corresponding specific surface area, indicating that the increase of coal surface roughness led to the increase of specific surface area, which provided more adsorption points with high adsorption potential for gas adsorption and enhanced the adsorption capacity of coal. The effective diffusion coefficient and pore volume were positively correlated with the fractal dimensionsD1 and negatively correlated withD2, which indicated better pore connectivity, increased pore volume, improved gas inlet and outlet efficiency, and enhanced gas diffusion efficiency of destroyed intact coal.

     

/

返回文章
返回