高级检索

柔索驱动拣矸机器人分拣轨迹跟踪控制研究

Pick-and-place trajectory tracking control for cable-driven gangue sorting robots

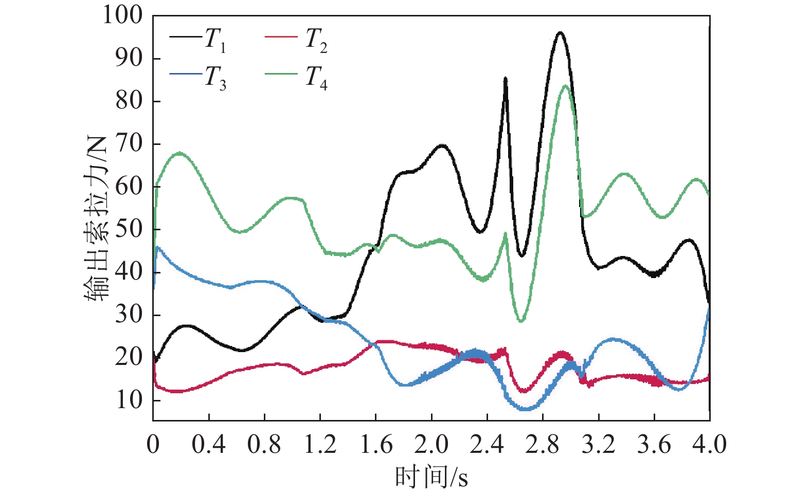
  • 摘要: 柔索驱动并联机器人具有运动速度快、工作空间大以及动态承载能力强等优点而被用于煤矸石的快速精准分拣。然而,由于柔索的柔性和单向受力特性,在运动过程中柔索必须时刻保持张紧,使得柔索驱动拣矸机器人的精准分拣控制面临着巨大挑战。同时,拣矸置矸过程所导致的动态冲击和动力学参数的不确定、以及外界干扰等因素势必会影响拣矸机器人末端抓斗的运动精度,甚至导致目标矸石的抓取工作失败。因此,提出了一种能够保障拣矸机器人末端抓斗运动精度的鲁棒自适应模糊控制策略,以克服拣矸置矸过程所产生的动力学参数扰动和外界干扰等因素的影响。基于Lyapunov稳定性理论,证明了所提控制策略的稳定性。并通过空间螺旋轨迹和实用的分拣轨迹对所提出控制策略的控制效果进行了仿真分析。结果表明:末端抓斗对预定运动轨迹的跟踪效果良好,最大位置跟踪误差和均方根误差分别为2×10−2 m和8.9867×10−4 m;柔索驱动力光滑连续且满足柔索驱动力约束条件。证明了文中鲁棒自适应模糊控制策略对柔索驱动拣矸机器人轨迹跟踪控制有效且可靠。研究能够为柔索驱动拣矸机器人的进一步应用奠定良好的理论基础。

     

    Abstract: The cable-driven parallel robots have the advantages of fast moving speed, large workspace and strong dynamic load carrying capacity, so they are employed to perform the pick-and-place operation of the target gangues quickly and accurately. However, due to the flexibility and the unidirectional characteristics of the cables, the cables must be kept in tension all the time, which makes the control of the robots face great challenges. At the same time, the dynamic impact, uncertainty of dynamic parameters, external interference and other factors caused by the process of the pick-and-place the target gangues will inevitably affect the motion accuracy of the end-grab of the robot, and even lead to the failure of the sorting of target gangues. Therefore, a robust adaptive fuzzy control strategy, which can ensure the motion accuracy of the end-grab of the cable-driven gangue sorting robots, is presented to overcome the disturbances of dynamic parameters and the influences of external interference in the process of picking and placing the gangues. Based on Lyapunov stability theory, the stability of the proposed control strategy is proved. The simulation analysis of the proposed control strategy is carried out through a spatial spiral trajectory and practical pick-and-place trajectory for the robot. The results show that the end-grab of the robot has a good tracking effect on the predetermined trajectory, and the maximum position tracking error and root mean square error are 2×10−2 m and 8.9867×10−4 m, respectively; and furthermore, the cable tensions are smooth and continuous, which satisfies the constraint conditions of the cable tensions. It is proved that the proposed robust adaptive fuzzy control strategy in this paper is effective and reliable for the trajectory tracking control of the cable-driven gangue sorting robots. This study can lay a good theoretical foundation for the further application of the cable-driven gangue sorting robots.

     

/

返回文章
返回