高级检索

煤矿井下定向钻孔水力压裂岩层控制技术及应用

Hydraulic fracturing technology with directional boreholes for strata control in underground coal mines and its application

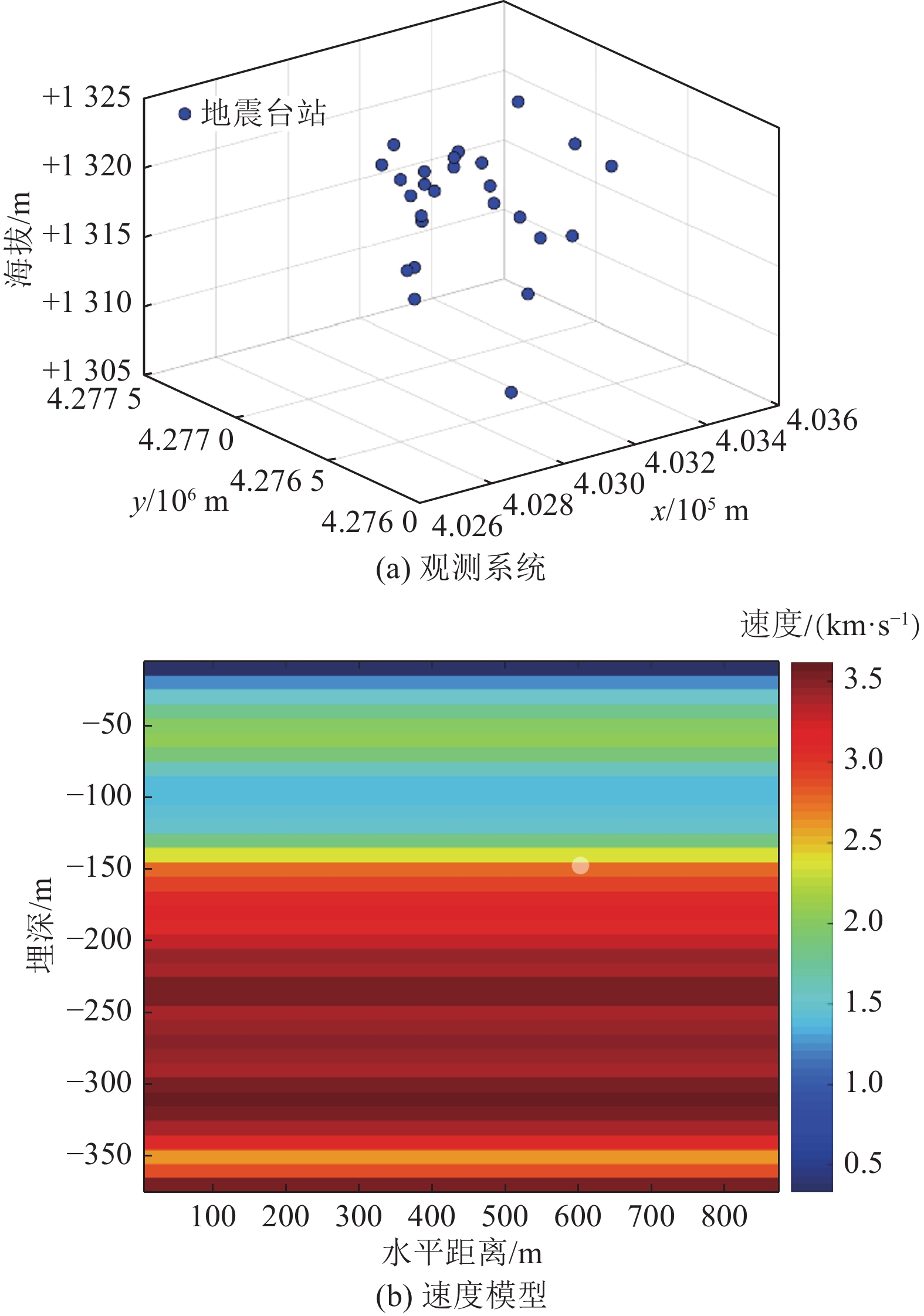
  • 摘要: 水力压裂技术在煤矿坚硬、完整顶板岩层弱化及高应力巷道卸压方面得到越来越广泛的应用。以陕西曹家滩煤矿特厚煤层综放开采工作面、特厚稳定顶板岩层为工程背景,开展了顶板岩层地质力学测试、可压性试验,水力裂缝扩展理论分析及三维数值模拟,提出井下工作面定向钻孔区域水力压裂顶板层位、压裂钻孔布置与参数确定方法及压裂工艺。在井下进行了工业性试验和系统的地面微震实时监测,获得了顶板水力压裂裂缝空间展布特征。同时,进行了液压支架工作阻力,工作面周期来压步距及持续距离,来压动载系数及顶板岩层破断能量监测与分析,综合评价了水力压裂效果。初步建立了集压裂层位确定与参数设计,井下定向钻孔压裂工艺与装备,水力裂缝空间展布监测与压裂效果综合评价为一体的煤矿井下定向钻孔水力压裂成套技术。井下试验结果表明:在曹家滩煤矿井下地应力状态下(最小主应力为垂直应力),水力裂缝以水平裂缝为主,沿钻孔两侧扩展平均距离为80 m左右,有效弱化了工作面范围内上覆坚硬、完整顶板,实现了区域顶板改造。压裂区域工作面强矿压显现显著减弱,确保了工作面安全生产。最后,分析了水力压裂存在的问题,展望了技术发展方向。

     

    Abstract: The application of hydraulic fracturing technology on rock fracturing for hard and complete roof, and destressing for roadways with high stresses is increasingly widespread. Based on a top coal caving working face with extra-thick coal seam and complete roof layers in the Caojiatan coal mine in Shaanxi Province, the roof rock geomechanical measurements, compressibility tests, theory of hydraulic fracture propagation, and 3D numerical simulation were carried out, and the determination approaches for fracturing rock horizon above a working face, fracturing borehole layout and parameters, and fracturing technology were put forward. The underground industrial trial and a comprehensive surface microseismic monitoring with actual time were conducted, and the spatial distribution characteristics of hydraulic fractures in roof were obtained. Meanwhile, shield resistance, periodic weighting step distance and duration distance, weighting dynamic load coefficient, and roof breaking energy were monitored and analyzed, and the hydraulic fracturing effect was synthetically evaluated. A complete set of technology for hydraulic fracturing with directional boreholes in underground coal mines were preliminarily established, which includes determination of fracturing rock horizon and parameter design, fracturing technology and equipment with directional boreholes, monitoring of hydraulic fracture spatial distribution, and comprehensive evaluation of hydraulic fracturing effect. The underground trial pointed out that: on the in-situ stress regime in the Caojiatan coal mine, that is the minimum principal stress is vertical stress, the hydraulic fractures were mainly horizontal fractures with a propagation distance of about 80 m on both sides of boreholes, the hard and complete roofs above the working face were effectively weakened, and regional roof reconstruction was achieved. The intensive ground pressure appearance of the working face was obviously reduced in the fracturing area, and production safety was ensured. Finally, the existing issues associated with hydraulic fracturing were discussed, and technical developments were envisaged.

     

/

返回文章
返回