高级检索

露天采煤区不同复垦处理下植物多样性及其与土壤酶活性和养分的关系

Plant diversity and its relationship with soil enzyme activities and nutrients under different reclamation treatments in open-pit coal mining area

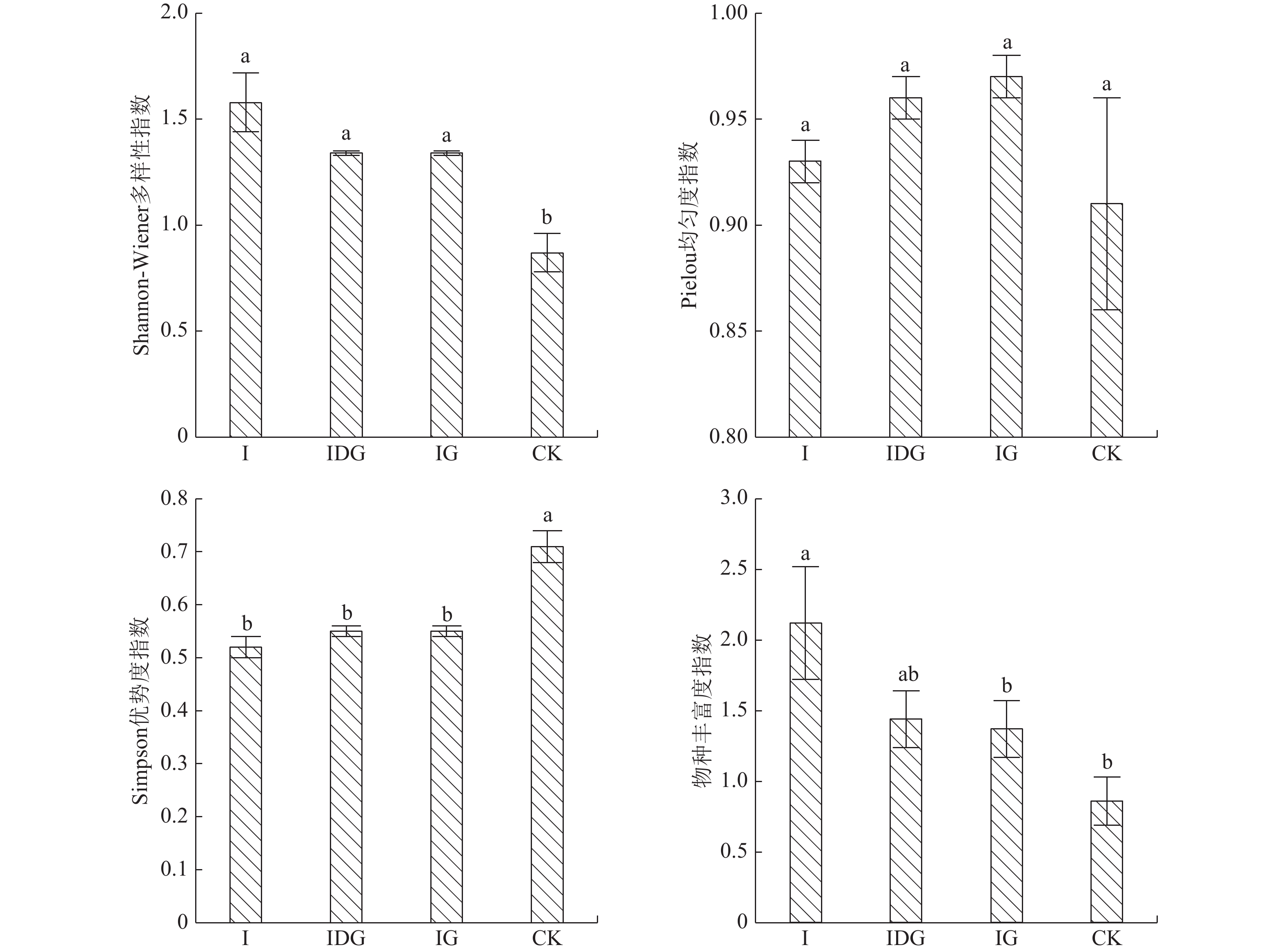
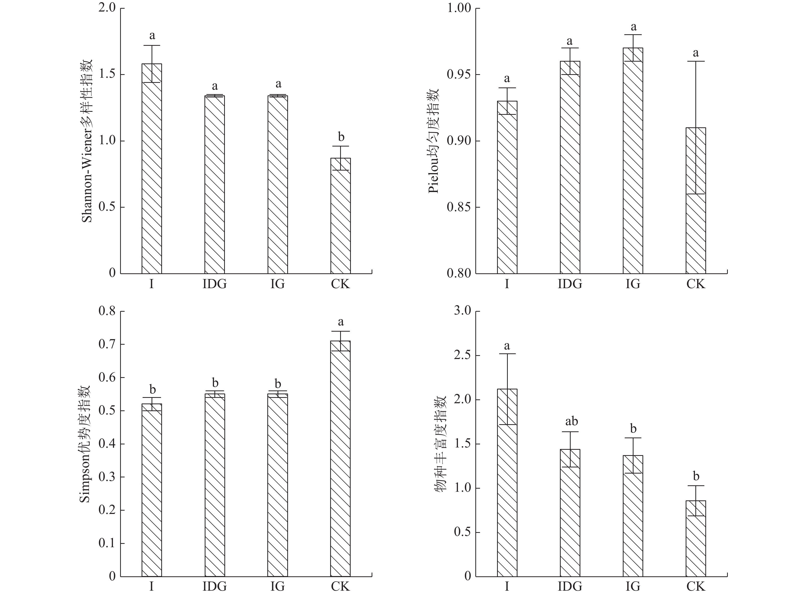
  • 摘要: 为探究露天采煤区不同复垦处理下植物多样性变化规律及其与土壤酶活性和养分指标间的关系,以黑岱沟矿区沙棘和紫穗槐复垦地为研究区域,结合多种分析方法,研究了4种修复措施(接菌I、接菌+绿肥IG、接菌+绿肥+风化煤IDG与不接种对照CK)下植物多样性变化规律、土壤养分、土壤酶活性间的差异情况以及三者间的重要关系。研究结果表明:复垦区植物群落结构和组成较为单一,不同修复措施样地间普遍存在的植物种主要为早熟禾和披碱草。虽然复垦区整体尚处在植被恢复初期,但不同修复措施间植物多样性指数存在显著差异,I处理沙棘和紫穗槐样地的Shannon-Wiener指数较对照处理分别显著提高了81.61%和42.70%,IDG处理则分别显著提高了54.02%和31.46%。综合比较不同复垦措施的土壤修复效果发现,I、IDG处理对复垦区改良效果最为显著。I、IDG处理沙棘和紫穗槐复垦区土壤有机质、全氮含量及土壤脲酶、碱性磷酸酶的活性均显著超过了对照处理含量的1倍以上。同时,土壤养分、土壤酶活性与物种多样性间存在显著的正相关关系,其中有机质、全氮含量、脲酶和磷酸酶活性是影响复垦区植物群落多样性变化的主要因素。综上所述,煤矿区生态恢复过程中施加一定的复垦措施确实对植物多样性增加和土地改良存在积极作用,同时这一结果也可为矿区生态修复工作提供更多的理论基础和科学意义。

     

    Abstract: The objective of this study is to investigate the variations in plant diversity and its correlation with soil enzyme activity and nutrient indexes in an open pit coal mining area under different reclamation treatments. The present study focused on the reclamation land of Hippophae rhamnoides and Amorpha fruticosa in the Hedaigou mining area as the research site. By employing various analytical methods, we investigated changes in plant diversity, differences in soil nutrient content and soil enzyme activities, as well as the significant relationships among four restoration treatments (inoculation (I), inoculation + green fertilizer (IG), inoculation + green fertilizer + weathered coal (IDG) and non-inoculation control (CK)).The results showed that the plant community structure and composition in the reclamation area were relatively simple, and the common plant species among the plots with different restoration treatments were mainly Poa annua and Elymus dahuricus. Although the whole reclamation area was still in the early stage of vegetation restoration, there were significant differences in plant diversity indices among different restoration treatments. Compared with the control treatment, the Shannon-Wiener index of Hippophae rhamnoides and Amorpha fruticosa samples under I treatment was significantly increased by 81.61% and 42.70%, respectively, and that under IDG treatment was significantly increased by 54.02% and 31.46%, respectively. Comprehensive comparison of the soil restoration effect of different reclamation treatments found that I and IDG treatment had the most significant effect on the improvement of reclamation area. The contents of organic matter and total nitrogen and the activities of urease and alkaline phosphatase in soil of treatments by inoculation and inoculation + green fertilizer + weathered coal were more than one times of those treated with control. At the same time, soil nutrients and soil enzyme activities were positively correlated with species diversity, among which organic matter, total nitrogen content, urease and phosphatase activities were the main factors affecting plant community diversity in reclamation area. In conclusion, The application of certain reclamation measures in the process of ecological restoration in coal mining areas does have a positive effect on the increase of plant diversity and land improvement, and this result can also provide more theoretical basis and scientific significance for ecological restoration in coal mining areas.

     

/

返回文章
返回