高级检索

生物柴油捕收剂强化粉煤灰浮选脱炭试验研究

Experimental study on biodiesel collector enhanced coal fly ash flotation decarbonization

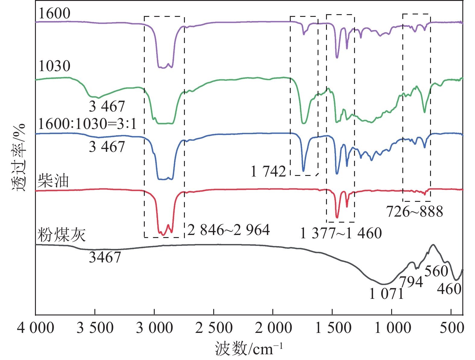
  • 摘要: 粉煤灰颗粒表面氧化程度高,疏水性差,易形成稳定的水化膜。常规烃类油捕收剂难以有效地吸附在粉煤灰颗粒表面从而提高粉煤灰表面疏水性,造成粉煤灰浮选药耗量大,脱炭困难,严重制约粉煤灰回收利用。为解决传统捕收剂在粉煤灰浮选脱炭中选择性差,分选效率低及环境污染严重的问题,采用生物柴油作捕收剂进行粉煤灰浮选脱炭试验。通过包覆角、饱和吸附量、颗粒团聚行为、红外光谱、气相色谱-质谱联用等测试方法进一步分析了生物柴油捕收剂强化粉煤灰浮选脱炭机理。试验结果表明,相比于常规烃类油捕收剂,生物柴油捕收剂具有较优的选择性,均可改善浮选效果,其中1600型和1030型捕收剂质量复配比为3∶1,用量为200 g/t时,浮选效果最佳,单一1600型和1030型捕收剂效果相当。不同捕收剂处理后,包覆角大小为柴油<1600型捕收剂<1030型捕收剂<复配药剂,对去离子水的吸附量大小为柴油>1030型捕收剂>1600型捕收剂>复配药剂,0.045~0.010 mm颗粒团聚尺寸为复配>柴油>原样。机理分析表明,生物柴油捕收剂中的酯、羧酸和醇类化合物的极性端基团与粉煤灰表面含氧官能团之间形成氢键从而吸附在粉煤灰表面,使其疏水端暴露在矿浆中,提高粉煤灰表面疏水性,使其细颗粒更易团聚,从而提高了粉煤灰的可浮性以及降低了泡沫产品的灰分。研究成果为开发适用于粉煤灰绿色、高效浮选脱炭捕收剂提供策略和指导。

     

    Abstract: The high degree of oxidation and poor hydrophobicity of fly ash particles result in the formation of stable hydration films that impede the effective adsorption of conventional hydrocarbon-based collectors onto the particle surfaces. Conventional hydrocarbon oil collector can slightly improve the surface hydrophobicity of coal fly ash due to its low adsorption on the surface of coal fly ash particles, resulting in large consumption of flotation agent and difficulty in decarbonization of coal fly ash, thus seriously restricts the recovery and utilization of coal fly ash. In order to solve the problems of poor selectivity, low separation efficiency and serious environmental pollution of traditional collectors in the flotation decarbonization of coal fly ash, biodiesel was selected as the collector for the flotation decarbonization test of coal fly ash. The mechanism of enhanced decarbonization of coal fly ash by biodiesel collector was further analyzed by means of coating angle, saturated adsorption capacity, particle agglomeration behavior, infrared spectrum, gas chromatography-mass spectrometry and other test methods. The test results show that compared with conventional hydrocarbon oil collectors, biodiesel has better selectivity and can improve the flotation effect. When the blend ratio of 1600 and 1030 is 3∶1 and the dosage is 200 g/t, the flotation effect is the best, and the effect of single 1600 and 1030 collectors is comparable. After treatment with different collectors, the coating angle is diesel<1600<1030<composite agent, and the adsorption capacity of deionized water is diesel>1030>1600>composite agent. The particle aggregation size of 0.045~0.010 mm is composite agent>diesel>original sample. Mechanism analysis shows that the polar end groups of esters, carboxylic acids and alcohols in the biodiesel collector form hydrogen bonds with the oxygen-containing functional groups on the surface of coal fly ash to adsorb on the surface of coal fly ash, exposing the hydrophobic end of coal fly ash to slurry, improving the surface hydrophobicity of coal fly ash, making its fine particles easier to agglomerate, thus improving the floatability of coal fly ash and reducing the ash content of foam products. It provides strategies and guidance for the development of green and efficient flotation and decarbonization collectors suitable for coal fly ash.

     

/

返回文章
返回