高级检索

不同围压下峰后循环载荷对砂岩力学及渗流特性的影响研究

Effect of post-peak cyclic load on mechanics and seepage characteristics of sandstone under different confining pressures

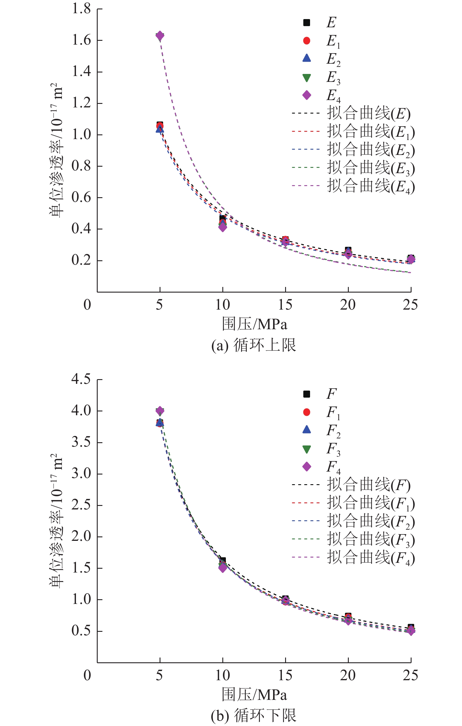
  • 摘要: 开采扰动导致煤层底板一定范围内岩体处于峰后状态,受相邻巷道开挖及煤层开采作用促使峰后岩体经历循环加−卸载过程,为探究不同地应力环境下峰后循环载荷作用对岩体结构的影响,明晰煤层底板突水等灾害的孕育过程,基于Rock Top多场耦合试验仪对砂岩开展了5、10、15、20、25 MPa围压峰后循环载荷试验研究。研究结果表明:① 峰后循环载荷作用之前,岩石单位渗透率均呈快速下降—趋于平稳—突然上升—突然下降—趋于平稳的变化规律,峰后循环阶段,岩石单位渗透率则与轴向载荷近乎呈倒置关系;② 岩石弹性模量、裂隙闭合应力、起裂应力、损伤应力、峰值应力、残余应力均与围压呈正相关,泊松比则随围压增大呈先增大后减小的变化特点;③ 5、10 MPa围压下,岩石出现间歇性破坏,脆性破坏特征有所减弱,15、20、25 MPa围压下,岩石脆性破坏特征明显,岩石破坏特征由岩石本身性质所决定;④ 峰后轴向载荷主要对岩石渗透率增大起促进作用,但该促进作用较围压对岩石渗透率的抑制作用弱,围压为影响岩石峰后渗透率变化的主导因素;⑤ 不同围压下,岩石均产生了一条贯穿剪切裂纹,但随围压增大,岩石破坏程度逐渐减弱,破坏模式趋于简单。

     

    Abstract: The mining disturbance causes the rock mass in a certain range of the coal seam floor to be in a post-peak state. Due to the excavation of adjacent roadways and the mining of coal seams, the post-peak rock mass undergoes a cyclic loading-unloading process. In order to explore the influence of post-peak cyclic loading on rock mass structure under different in-situ stress environments and clarify the gestation process of disasters such as water inrush from coal seam floor, post-peak cyclic loading tests of sandstone under 5,10,15,20,25 MPa confining pressure were carried out based on Rock Top multi-field coupling tester. The results show that: ① Before the post-peak cyclic loading, the unit permeability of rock shows a rapid decline-tend to be stable-sudden rise-sudden decline-tend to be stable. In the post-peak cycle stage, the unit permeability of rock is almost inverted with the axial load. ② Rock elastic modulus, crack closure stress, crack initiation stress, damage stress, peak stress and residual stress are positively correlated with confining pressure, while Poisson 's ratio increases first and then decreases with the increase of confining pressure. ③ Under the confining pressure of 5  and 10 MPa, the intermittent failure of rock occurs, and the brittle failure characteristics are weakened. Under the confining pressure of 15, 20 and 25 MPa, the brittle failure characteristics of rock are obvious, and the failure characteristics of rock are determined by the properties of rock itself. ④ The post-peak axial load mainly promotes the increase of rock permeability, but the promotion effect is weaker than that of confining pressure on rock permeability, and confining pressure is the dominant factor affecting the post-peak permeability change of rock. ⑤ Under different confining pressures, a through-shear crack occurs in all rocks, but with the increase of confining pressure, the degree of rock failure gradually weakens and the failure mode tends to be simple.

     

/

返回文章
返回