高级检索

蒙陕接壤区典型煤层开采地下水系统扰动的定量表征

Quantitative characterization of the disturbance of groundwater system in typical coal seam mining in contiguous area of Inner Mongolia and Shaanxi

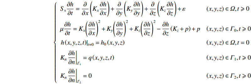
  • 摘要: 生态脆弱区煤矿高强度开采扰动地下水系统,造成水资源损失。选取黄河流域中段蒙陕接壤区东南—西北走向剖面典型浅部开采和深部开采矿井为研究对象,利用覆岩破坏理论分析、数值模拟、井下实测3种方法,并通过周边地质和开采条件相似矿井实测数据对比,综合确定了浅埋复合煤层开采和深埋单一煤层开采导水裂隙带发育高度,根据导水裂隙带与顶板主要含/隔水层空间位置关系,划分出浅埋煤层开采直罗组−志丹群含水层充水模式和深埋煤层开采直罗组含水层充水模式;通过概化不同含水层充水模式地下水流系统,构建了典型煤层开采地下水三维非稳定流数学模型,并利用Visual Modflow软件建立了2种工况地下水流数值模型,对接续期2023—2024年工作面开采地下水流场和水资源损失量进行了定量预测,并利用涌水量实测数据验证了模型可靠性。结果显示:受扰动的浅埋区志丹群、直罗组含水层,以及深埋区直罗组含水层地下水呈现向采空区汇集现象的同时,流场也伴随采后煤层顶板二次稳定结构的形成而逐步恢复,但围绕采空区附近,充水含水层地下水流场表现出局部高水力梯度现象;另外,2种采煤工况接续期水资源损失量年均分别达到200万m3和730万m3以上。研究结果为区域水资源损失超前精细控制和矿井水资源化利用提供了参考。

     

    Abstract: High-intensity mining of coal mines in ecologically fragile areas disturbs the groundwater system and causes water resources loss. The typical shallow and deep mining mines in the middle section of the Yellow River basin are selected as the research objects, and the development height of the water-conducting fracture zone in the shallow composite coal seam mining and the deep single coal seam mining is comprehensively determined by using the theoretical analysis, numerical simulation of overburden damage and the underground measurement, and the comparison with surrounding mines with similar conditions. According to the spatial location relationship between the water-conducting fracture zone and the main roof aquifer/aquiclude, the water filling model of Zhiluo Formation - Zhidan Group aquifer in shallow coal seam mining and that of Zhiluo Formation aquifer in deep coal seam mining are divided; By generalizing the groundwater flow system of different aquifer water filling modes, the three-dimensional unsteady flow mathematical model of groundwater in typical coal seam mining is constructed, and the numerical model of groundwater flow in two working conditions is established by using Visual Modflow software. The quantitative prediction of groundwater flow field and water resource loss in the mining of the continuous working face is carried out, and the results show that the groundwater from Zhidan Group and Zhiluo Formation aquifers in the disturbed aquifer is converging towards the goaf at the same time, the flow field also gradually recovers with the formation of the secondary stable structure of the roof after mining. Around the goaf, the groundwater flow field shows a local high hydraulic gradient phenomenon; In addition, the average annual water loss of the two coal mining conditions in the continuous period is more than 2 million m3 and 7.3 million m3 respectively. The research results provide a reference for the advanced fine control of regional water resources loss and the utilization of mine water resources.

     

/

返回文章
返回