高级检索

液电脉冲激波碎煤能量转换效率分析

Analysis of energy conversion efficiency of coal crushed by hydroelectric pulse shock wave

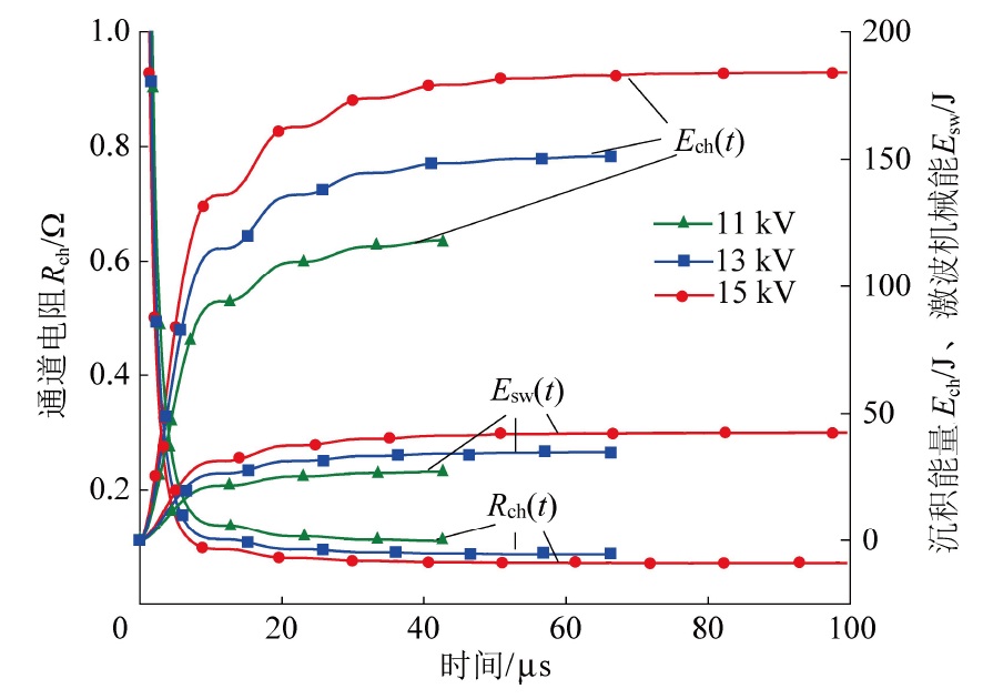
  • 摘要: 能量转换效率是煤破碎技术实际工程应用中最为关注的指标之一,液电脉冲激波碎煤作为一种新型的碎煤技术,对其能量转换效率的研究相对缺乏。为研究利用液电脉冲激波碎煤过程的能量转换效率,指导液电脉冲激波碎煤新技术的工程应用,根据液中高压脉冲放电产生冲击波的原理搭建了液电脉冲激波碎煤综合试验平台,从能量转换的角度分析了液电脉冲激波碎煤的物理过程。利用液中高压脉冲放电等离子体通道等效电阻、液电激波压力和煤破碎能量的数学模型,结合液电激波碎煤过程中的能量转换平衡特性,建立了放电回路参数和碎煤能量转换效率之间的关系。避免了复杂的电气、等离子体、流体力学和断裂力学等环节的分析,得到了不同电容充电电压,即不同电容初始储能条件下,液电脉冲激波碎煤过程中各能量参数及其转换效率。分析和试验结果表明:随着电容充电电压的提高,电容储能增大,煤破碎的程度越大,破碎的效果越好,即小粒度的破碎产物所占比重增加;在特定的应用条件下,液电脉冲激波碎煤能量效率存在最大值,试验条件下的液电激波碎煤最高能量效率为0.64%。综合考虑液电脉冲激波碎煤过程的能量转换效率和经济效益,低能耗、高效率的液电脉冲激波碎煤技术是未来发展的方向。

     

    Abstract: Energy conversion efficiency is one of the most concerned indicators in the practical engineering application of the coal crushing technology. As one of the new technology for coal destruction, there is a relatively lack of investigation on the energy conversion efficiency of electrohydraulic pulsed shockwave (EHD). In order to study the energy conversion efficiency of the process of coal crushing using hydroelectric pulse shock wave, and to guide the engineering application of the new technology of hydroelectric pulse shock wave coal crushing, this paper builds the hydraulic electric pulse shock wave crushing coal based on the principle of the shock wave generated by the high-voltage pulse discharge in the liquid. The relationship between the parameters of discharge circuit and the efficiency of EHD is established, using the mathematical models of plasma channel resistance, shockwave pressure and the newly surface energy of coals, combining the energy balance characteristic during the process of EHD. The complicated analysis of electrical, plasma, fluid mechanics and fracture mechanics are avoided and different capacitor charging voltages are obtained, namely the energy parameters and their conversion in the process of hydroelectric pulse shock wave coal crushing efficient under different capacitor initial energy storage conditions. The results of analysis and experiment show that as the capacitor charging voltage increases, the capacitor energy storage increases, the greater the degree of coal crushing, the better the crushing effect, that is, the proportion of small particle size crushed products increases; under certain application conditions, the energy efficiency of hydroelectric pulse shock wave coal crushing has a maximum value, and the maximum energy efficiency of hydroelectric shock wave coal crushing under the experimental conditions in this paper is 0.64%. Considering the energy conversion efficiency and economic benefits of the hydroelectric pulse shock wave coal crushing process, the low energy consumption and high efficiency hydroelectric pulse shock wave coal crushing technology is the direction of future development.

     

/

返回文章
返回