高级检索

基于迁移学习的煤岩壳质组显微组分识别模型

Transfer learning based identification model for macerals of exinite in coal

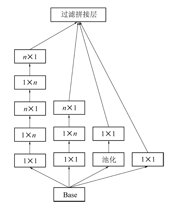
  • 摘要: 为了提高煤岩壳质组显微组分的识别准确率,避免分类器构建中特征提取阶段的人工干预,采用深度学习的方法实现煤岩壳质组显微组分类别的自动识别。由于煤岩壳质组样本数有限,采用传统的卷积神经网络构建分类器对其识别容易产生过拟合,泛化能力较差。为解决该问题,提出了一种基于迁移学习的煤岩壳质组显微组分识别模型(分类器)。该模型在传统的卷积神经网络模型基础上,通过迁移学习共享预训练网络模型中卷积层和池化层的权值系数,并结合煤岩壳质组显微图像样本,优化网络模型结构和全连接层参数,进而构建适合于煤岩壳质组显微组分识别的深度学习网络模型。试验结果表明:与由传统神经网络直接构成的深度学习模型相比,本文构建的基于迁移学习的煤岩壳质组识别模型性能和效果均明显提高,尤其是以VGG16作为预训练模型构建的分类器在本文数据集上性能表现最优,其对测试样本识别准确率可达98.10%;由于模型的训练参数减少,模型的训练时间明显缩短,且在较短的训练周期内达到收敛且训练集的识别准确率保持稳定,表明了以VGG16作为预训练模型的分类器在煤岩壳质组识别中具备较好的性能,更适合于小样本数据集的识别。

     

    Abstract: To improve the identification accuracy of exinite macerals in coal and avoid the manual intervention in the feature extraction stage of classifier construction, the deep learning method was employed for the automatic identification of macerals of exinite in coal. Owing to the limiting of sample number of exinite maceral in coal, the classifier constructed with the conventional convolutional neural network tends to be over-fitting and the poor generalization ability. To solve this problem, an identification model (classifier), which is based on transfer learning, was proposed. Based on conventional convolution neural network model, this method shared the weight parameters of convolution layer and pooling layer with the pre-training network model by transfer learning, optimized the network model structure and full connection layer parameters with samples of exinite macerals, and constructed a new deep learning network model for the maceral identification of exinite of coal. The experimental results show that, compared with that of the conventional neural network, the transfer learning based identification model proposed in this paper is more effective, and the classifier with VGG16 as pre-training network is of best performance on this dataset, with identification accuracy of 98.10% for test samples; owing to the reduction of parameter number, the training time is obviously shortened, and the convergence is achieved in a short training period with a stable identification accuracy, indicating that the classifier based on VGG16 as the pre training model has better performance in the identification of macerals of exinite in coal.

     

/

返回文章
返回