高级检索

基于多尺度特征融合井下猴车载人状态的智能识别算法与应用

Intelligent recognition algorithm and application of coal mine overhead passenger device based on multiscale feature fusion

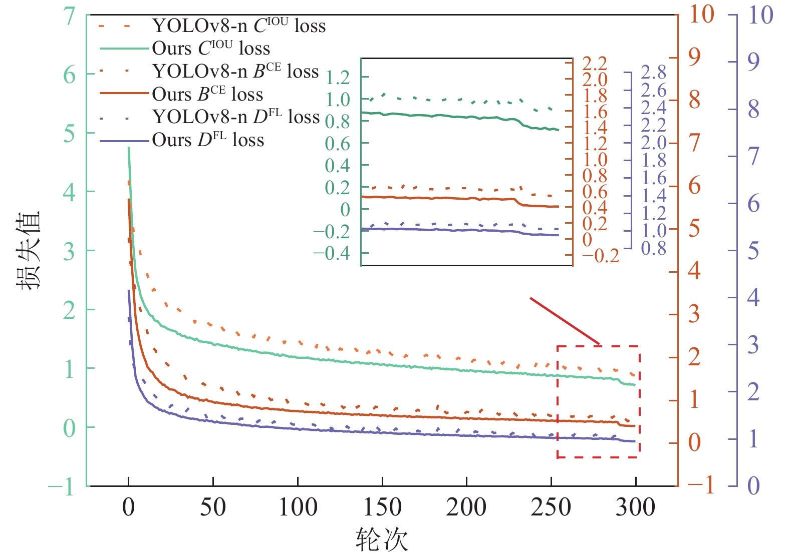
  • 摘要: 井下猴车智能识别技术是实现猴车自动化巡检、实时监测与预警任务的基础,是推动煤矿智能化发展的重要支撑。针对猴车数据集样本缺乏、井下图像光照环境较差、运行猴车之间存在重叠遮挡、矿工坐姿多变、小目标猴车难以检测、模型部署困难、不同载人状态井下猴车传统识别方法难度大效率低等问题,通过在贵州多个煤矿不同机段自建的猴车数据集,将猴车载人状态划分为载人猴车(HC_miner)和无载人猴车(HC_nominer)2种,提出了一种基于多尺度特征融合的井下猴车载人状态智能识别算法。图像预处理阶段,采用自适应直方图均衡以增强图像质量,通过随机矩形遮挡以模拟运行猴车被井下物体遮挡的真实场景,解决了猴车图像数据集体量匮乏的同时降低了井下负环境的干扰;特征提取阶段,将主干网络C2f模块部分卷积替换为可变形卷积(DCN),设计了一种C2f_DCN模块,增加不同载人状态猴车目标感受野的动态调整能力以获取复杂多变的尺度信息,使模型更好地学习到猴车矿工的耦合特征及适应矿工各类坐姿细节,提升模型对不同载人状态猴车目标的辨识能力;特征融合阶段,提出了一种基于坐标注意力机制跨层级连接的路径聚合网络—CLC−PAN−CA模块,实现了深层网络与浅层网络特征间多尺度信息的复用,可自适应捕捉全局关键信息,建立网络之间的多尺度依赖,提升模型对小目标猴车重要特征的提取,减少背景噪声干扰,降低猴车目标漏检误检率。试验结果表明:提出模型的精确率为95.8%,对比基线模型提高了7.4%,召回率为93.3%,提高了9.8%,平均精度均值为95.6%,提升了7.7%,参数量和模型大小分别仅为3.1×106和6.1 MB,识别速率为71帧。对比多种主流单阶段两阶段检测模型,提出模型可有效辨识有无载人猴车目标、显著提升井下猴车目标识别精度、减少漏检错检现象、具有较快的识别速度、更好的热度信息提取能力,可满足实际场景巡检需求,为不同载人状态的井下猴车精准识别提供了可行的方法。最后,将提出的猴车智能识别算法和井下监控视频流嵌入到设计的猴车智能识别系统中,构思了井上调度和井下监控 “端到端”一体化的猴车智能识别系统,增加了面向煤矿智能化巡检应用的期望值,可为井下猴车载人运输安全提供实时预警。

     

    Abstract: The intelligent recognition technology for Coal mine overhead passenger devices(Cmopd) plays a crucial role in achieving automated inspection, real-time monitoring, and warning tasks for cmopd, thereby promoting the intelligent development of coal mines. However, there are several challenges that need to be addressed, such as the limited number of samples in the cmopd dataset, poor lighting conditions in underground images, overlapping and occlusion between operating cmopd, varying sitting postures of miners, difficulty in detecting small cmopd targets, complex model deployment, and low efficiency of traditional recognition methods for cmopd with different passenger-carrying statuses.To overcome these challenges, a cmopd dataset was created from various coal mines in Guizhou province. The passenger-carrying status of cmopd was classified into two categories: cmopd with passengers (HC_miner) and cmopd without passengers (HC_nominer). The YOLOv8n single-stage object detection algorithm was used as the baseline model, and a coal mine cmopd intelligent recognition algorithm based on multi-scale feature fusion was proposed.In the image preprocessing stage, adaptive histogram equalization was employed to enhance image quality, and random rectangle masking was applied to simulate real scenarios where cmopd is occluded by underground objects during operation. This approach addressed the scarcity of cmopd image datasets and reduced the interference from negative underground environments. In the feature extraction stage, the partial convolution of the backbone network C2f module is replaced by deformable convolution, and a novel C2f_DCN module is designed. This enhancement increased the dynamic adjustment capability of the target receptive field for cmopd with different passenger-carrying statuses, allowing the model to capture different scale information and better learn the coupled features of cmopd and miners. As a result, the model became more adaptable to various sitting postures of miners and improved its ability to identify cmopd targets with different passenger-carrying statuses. In the feature fusion stage, a path aggregation network with a coordinate attention mechanism (CLC−PAN−CA) was proposed to achieve cross-level contat of features and adaptively capture the contextual information of cmopd. The CLC−PAN−CA module effectively integrated multi-scale features and improved the accuracy of cmopd recognition. The experimental results show that the proposed model achieves a precision of 95.8%, which is 7.4% higher than the baseline model. The recall is 93.3%, representing an improvement of 9.8%, and the mean average precision is 95.6%, indicating a 7.7% increase. Furthermore, the model parameters and size are only 3.1×106 and 6.1 MB, respectively. The recognition speed is 71 frames per second Compare to a variety of mainstream single-stage two-stage detection models, the proposed model demonstrated effective identification of cmopd targets with and without passengers, significantly improved the accuracy of cmopd recognition, reduced false positives and false negatives, and exhibited faster recognition speed and better extraction of contextual information. The proposed algorithm can meet the requirements of practical inspection scenarios and provide a feasible method for accurate recognition of cmopd with different passenger-carrying statuses. Finally, the proposed cmopd intelligent recognition algorithm and the underground monitoring video stream were embedded into the designed cmopd intelligent recognition system. Partial implementation approaches for deploying the video media stream into the cmopd intelligent recognition system were provided. The concept of an end-to-end integrated cmopd intelligent recognition system, which integrates the dispatching system on the ground and the monitoring system underground, was proposed. This increases the expectations for intelligent inspection applications in coal mines and provides real-time warnings for the safe transportation of cmopd with passengers.

     

/

返回文章
返回