高级检索

煤表面官能团对CH4及CO2吸附性能的影响规律研究

Study on influence of coal surface functional groups on methane and carbon dioxide adsorption properties

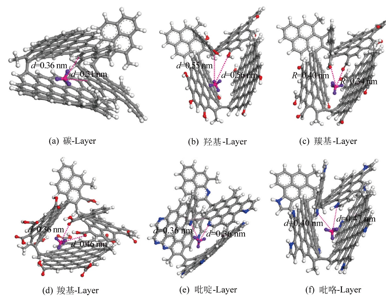
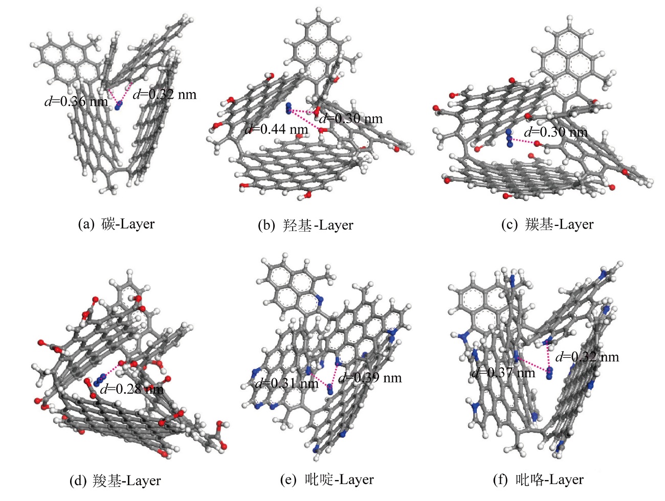
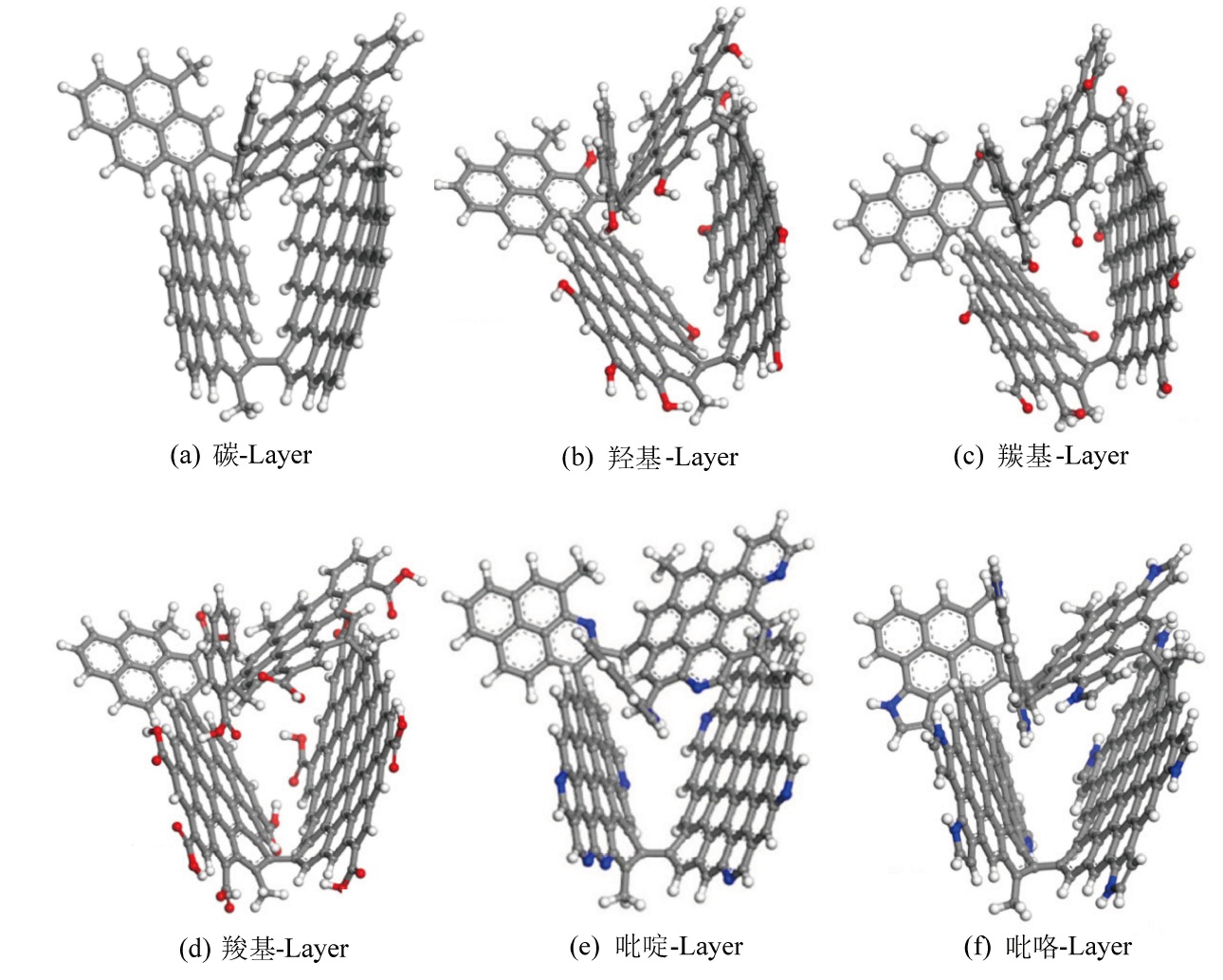
  • 摘要: 煤表面官能团对CH4以及CO2吸附性能的影响已得到印证,但不同官能团类型对2种气体吸附行为的具体促进与阻碍作用以及影响因素尚未有定论。利用密度泛函理论,通过计算不同官能团化结构对CH4以及CO2的吸附能数据,揭示了表面官能团对CH4以及CO2吸附性能的作用规律。结果表明:无论是在经官能团修饰的结构中还是无官能团化碳-Layer结构中,CO2的吸附能均大于CH4,表明CO2与煤大分子结构间的作用均大于CH4。CH4在CH4/CO2竞争吸附的吸附能模拟中,吸附平衡距离大于单一CH4分子吸附模拟平衡距离;CO2在CH4/CO2竞争吸附的吸附能模拟中,吸附平衡距离小于单一CO2分子吸附平衡距离,CO2表现出竞争吸附优势。CH4在不同含氧官能团化结构中吸附能大小的顺序为羰基-Layer结构(-23.64 kJ/mol)>羟基-Layer结构(-19.44 kJ/mol)>羧基-Layer结构(-18.28 kJ/mol),上述吸附能均都小于CH4在无官能团化C-Layer结构中的吸附能(-25.37 kJ/mol);含氧官能团的存在削弱了煤体的CH4吸附性能,且影响强弱与官能团的碱性与疏水性有关。CO2在不同含氧官能团化结构中吸附能大小的顺序为羧基-Layer结构(-36.33 kJ/mol)>羟基-Layer结构(-34.06 kJ/mol)>羰基-Layer结构(-33.43 kJ/mol),上述吸附能均大于CO2在无官能团化碳-Layer结构中的吸附能(-32.54 kJ/mol);含氧官能团的存在提高了煤体的CO2吸附性能,且影响强弱与官能团的极性有关。吡啶氮官能团化结构中CH4的吸附能为-31.00 kJ/mol,大于无官能团化碳-Layer结构中CH4的吸附能;吡咯氮官能团化结构中CH4的吸附能为-6.40 kJ/mol,,小于无官能团化碳-Layer结构中CH4的吸附能。CO2在吡啶氮官能团化结构与吡咯氮官能团化结构中的吸附能分别为-50.56 kJ/mol与-14.71 kJ/mol。含氮官能团对煤体结构吸附CH4和CO2的阻碍与促进作用具有相同的规律,即吡啶促进吸附而吡咯阻碍吸附。

     

    Abstract: The influence of coal surface functional groups on the adsorption properties of CH4 and CO2 has been confirmed, but the specific promotion and hindrance of different functional groups on the adsorption behavior of the two gases as well as the influencing factors have not been determined. By using density functional theory, the adsorption energy data of different functionalized structures on CH4 and CO2 were calculated, and the action rules of surface functional groups on the adsorption performance of CH4 and CO2 were revealed. The results show that whether the structure modified by functional groups or non-functionalized C-layer structure, the adsorption energy of CO2 is higher than that of CH4, which indicates that the interaction between CO2 and coal macromolecular structure is greater than that of CH4. In the adsorption energy simulation of CH4/CO2 competitive adsorption, the adsorption equilibrium distance of CH4 is larger than that in single CH4 molecule adsorption simulation. The adsorption equilibrium distance of CO2 is smaller than that of single CH4 molecule in the simulation of CH4/CO2 competitive adsorption energy, and CO2 shows competitive adsorption advantage. The order of adsorption energy of CH4 in different oxygen-containing functionalized structures is CO-Layer structure(-23.64 kJ/mol) > OH-Layer structure(-19.44 kJ/mol) > COOH-Layer structure(-18.28 kJ/mol),the above values are all lower than that of CH4 in non-functionalized C-layer structure(-25.37 kJ/mol). The presence of oxygen-containing functional groups weakens the CH4 adsorption performance of coal, and the strength of the effect is related to the basicity and hydrophobicity of the functional groups. The order of adsorption energy of CO2 in different oxygen-containing functionalized structures is COOH-Layer structure(-36.33 kJ/mol) > OH-Layer structure(-34.06 kJ/mol) > O-Layer structure(-33.43 kJ/mol), the above values are higher than that of CO2 in non-functional C-layer structure(-32.54 kJ/mol); the existence of oxygen-containing functional groups improve the CO2 adsorption performance of coal, and the strength of the influence is related to the polarity of the functional groups. The adsorption energy of CH4 in the functionalized pyridine nitrogen structure is -31.00 kJ/mol, which is higher than that in the non-functionalized C-layer structure. The adsorption energy of CH4 in the functionalized pyrrole nitrogen structure is -6.40 kJ·mol, which is less than that in the non-functionalized C-layer structure. The adsorption energies of CO2 in pyridine nitrogen functionalized structure and pyrrole nitrogen functionalized structure are -50.56 kJ/mol and -14.71 kJ/mol, respectively. The hindrance and promotion of nitrogen-containing functional groups on the adsorption of CH4 and CO2 in coal structure have the same law, that is, pyridine promotes adsorption and pyrrole hinders adsorption.

     

/

返回文章
返回