高级检索

抚顺树脂残植煤中树脂体分子组成与结构模型研究

Molecular composition and structural model of resinite in Fushun resinitic liptobiolith

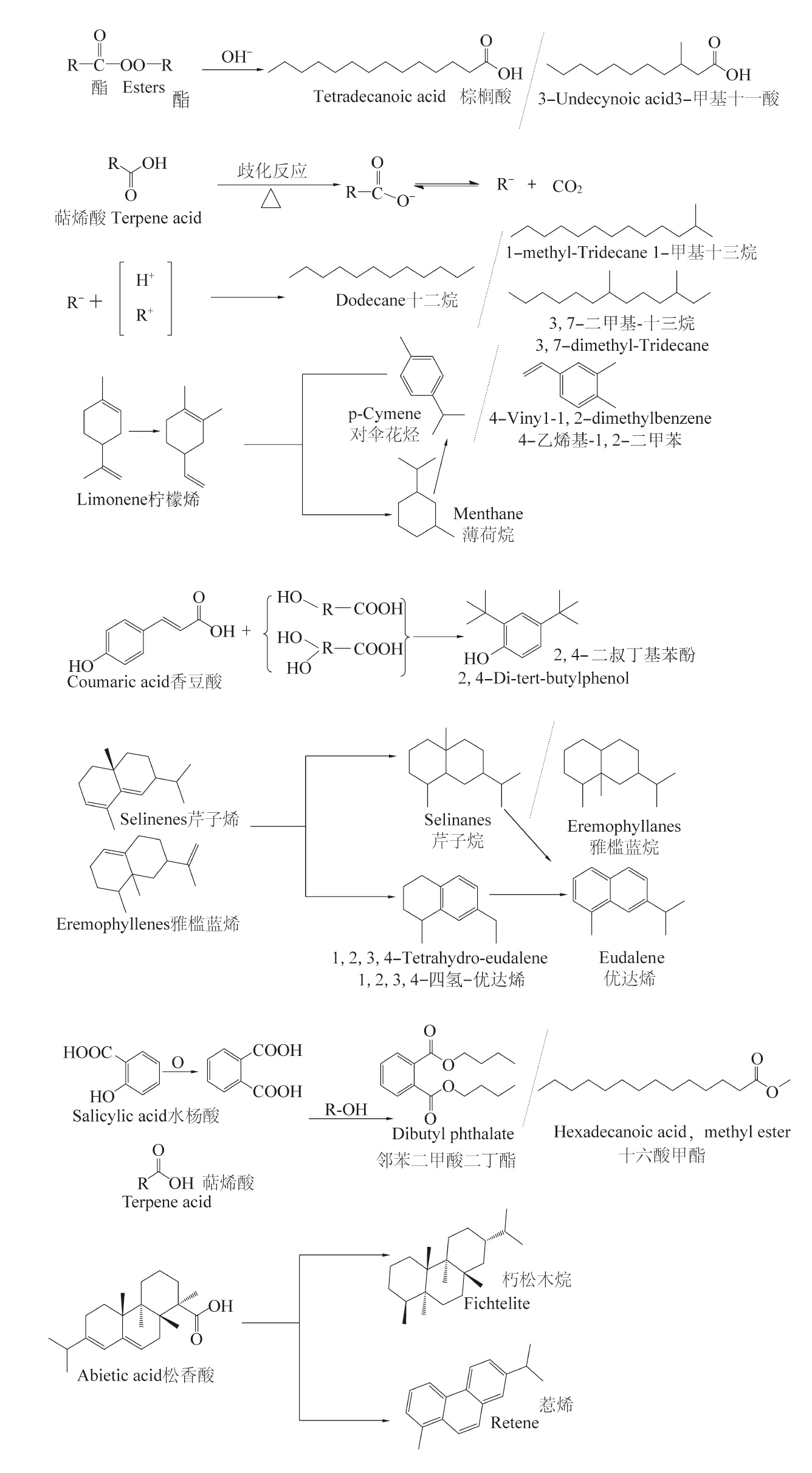
  • 摘要: 树脂体分子骨架由萜类衍生物为主的小分子和大分子构成,树脂体中小分子及大分子结构与现代植物分泌树脂的演化关系是本研究的核心。利用逐级溶剂萃取、元素分析、碳13核磁共振(13CNMR)、傅立叶红外光谱(FTIR)、气相色谱-质谱联用(GC/MS)和X射线光电子能谱(XPS)等方法,系统研究了抚顺古近纪树脂残植煤中树脂体(琥珀)的分子组成。结果显示,树脂体中小分子化合物主要由1~2环芳烃、酯类化合物和直链烷烃(C16~C30)组成,含少量单萜、倍半萜类化合物。树脂体中的脂肪酸主要来源于酯类水解,脂肪烃则来源于树脂酸脱羧,芳烃(烷基苯、烷基萘及其衍生物)主要来源于萜烯酸与羟基脂肪酸或环状单萜及倍半萜歧化反应。树脂体的桥碳/周碳比(XBP)为0.18,脂碳质量分数(86.37%)高于芳碳质量分数(13.63%),说明其大分子结构具有低芳香度和长支链等特点;运用MS软件构建了树脂体大分子结构模型,其分子式为C96H152O8,相对分子质量1 432,芳香度0.126,大分子结构中主要含有环烷烃、萜类(单萜和倍半萜)、脂肪长链和烷基苯等结构片段,有机氧主要以不同含氧官能团存在(2个酚羟基、1个酯基、2个羧基)。树脂体小分子组成及演变方面的研究对其形成过程认识具有重要理论意义,对从分子尺度构建其大分子结构模型和研究其性质奠定了重要的理论基础。

     

    Abstract: The molecular framework of the resinite is composed of small molecules and macromolecule,mainly terpenoid derivatives. In this paper,the molecular composition of Fushun Paleogene resinite(amber) in resinitic liptobiolith was systematically studied by means of stepwise solvent extraction,ultimate analysis,13C NMR,FTIR,GC/MS and XPS. The evolution of small molecules and macromolecule structure between modern resin with fossil resin were discussed in detail. The results displayed that the small molecules in resinite were mainly composed of 1~2 aromatic hydrocarbons,esters and n-alkanes(C16~C30) with a small amount of monoterpenes and sesquiterpenes. The fatty acids in resinite mainly derived from the hydrolysis of esters,and fatty hydrocarbons were derived from the decarboxylation of resin acid. Aromatic hydrocarbons(alkyl benzene,alkyl naphthalene and their derivatives) mainly derived from the cross-linking reaction of coumaric acids with hydroxyl fatty acids or the disproportionation reaction of cyclic monoterpenes and sesquiterpenes. The mole fraction(Xb) of aromatic bridgehead carbon in aromatic carbon of the resinite was 0.18,and the content of aliphatic carbon(86.37%) was higher than that of aromatic carbon(13.63%). These results indicated that the structure of resinite was characterized by low aromaticity and long-branched chains. The macromolecular structure model of resinite was constructed using Materials Studio software. The macromolecular formula of the resinite was C96H152O8 with the relative molecular weight of 1 432. The macromolecule of resinite mainly contained cycloalkanes,terpenes(monoterpenes and sesquiterpenes),long-chain aliphatic compounds and alkylbenzene etc. The organic oxygen mainly presented in the form of different oxygen-containing functional groups(phenolic hydroxyl groups,ester group and carboxyl groups). These informations on the composition and evolution of small molecules in resinite has important theoretical significance for the understanding of its formation process,and the construction of its macromolecular structure model lays an important theoretical foundation for the study of its properties at the molecular scale.

     

/

返回文章
返回